Chapter 7 Noise

357 阅读3分钟

Chapter 7 Noise

这一章我们介绍噪声.

7.1 Statistical Characteristics of Noise

噪声不可测, 但the average power of noise可测.

平均power的定义:

Pav=1T0TV(t)2dtP_{av}={\frac{1}{T}\int_{0}^{T}V(t)^2dt}

7.1.1 Noise Spectrum

我们关心power spectral density (PSD), 即在每个频率点上noise power的大小

在频率domain 分析:

Power Spectral Density (PSD) = Vrms^2/fres = V^2/Hz

对于多级系统, 第一级噪声影响最大! 需要减少第一级噪声, 后级噪声会被增益Av抑制

Vin,noise,rms=Vout,noise,rmsAvV_{in,noise,rms}=\frac{V_{out,noise,rms}}{A_v}

7.2 Types of Noise

7.2.1 Thermal Noise

对于电阻, 其热噪声模型. 注意是I^2=4kT/R和 V^2=4kTR

对于一个RC filter, 其输出/输入噪声 output RMS noise voltage :

Vin,noise=Vout,noise=kTCV_{in,noise}=V_{out,noise}=\sqrt{\frac{kT}{C}}

noise 由电容决定, 而不是由电阻决定, 这一点特别重要!!!

可以看到10fF的RC产生640uV噪声. 1pF的RC产生64uV噪声

MOSFETs

MOSFETs同样有热噪声, 来源于沟道, 其模型为

可认为γ ≈ 1

MOS max noise来源于自身ro

对于MOS做电流镜结构, 需要把gm减低, 这样才能降低MOS的噪声.

7.2.2 Flicker Noise

Flicker Noise也称为 pink noise, 1/f noise, 与频率成反比

对于MOS, flicker noise为

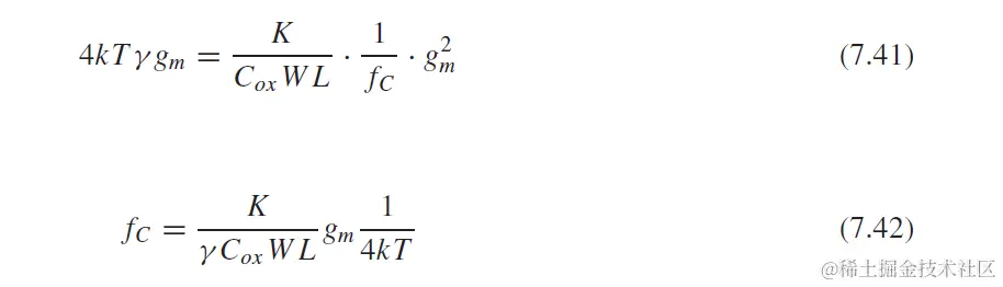
Corner frequency为随着频率增加, flicker noise和thermal noise相等的频率点

MOS的Corner frequency fc一般在10 MHz to 50 MHz for nanometer transistors

7.3 Representation of Noise in Circuits

Input-Referred Noise

Vin,noise,rms=Vout,noise,rmsAvV_{in,noise,rms}=\frac{V_{out,noise,rms}}{A_v}

对于多级系统, 第一级噪声影响最大! 需要减少第一级噪声, 后级会被增益Av抑制

对于一个CS结构的单管放大器

其输出噪声为

输入等效噪声 Vin_noise=Vout_noise/Av

7.4 Noise in Single-Stage Amplifiers

7.4.1 Common-Source Stage

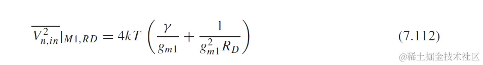
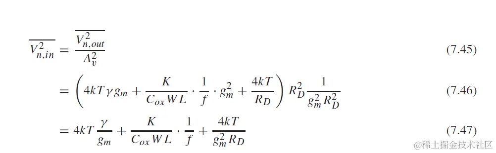
对于一个CS结构, Drain接电阻的单管放大器

输入噪声为

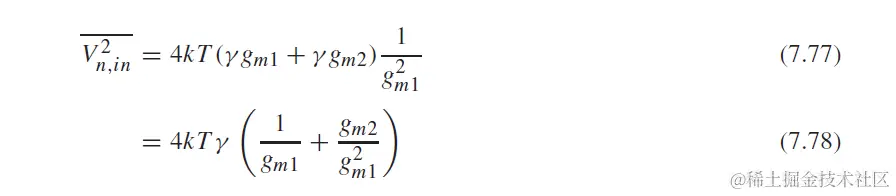
对于CS结构, 负载是MOS

其输入噪声为

注意, 为了减小噪声需要增大gm1, 即增大drain电流或者增大(W/L)1. 同时减小gm2, 即减小 (W/L)2

7.4.2 Common-Gate Stage

Thermal Noise

输入热噪声为

Flicker Noise

输入flicker noise为

7.4.3 Source Followers

source follower如下图所示

输入噪声

7.4.4 Cascode Stage

cascode结构如下

输入噪声和单管CS结构一样

cascode管M2不影响输出噪声

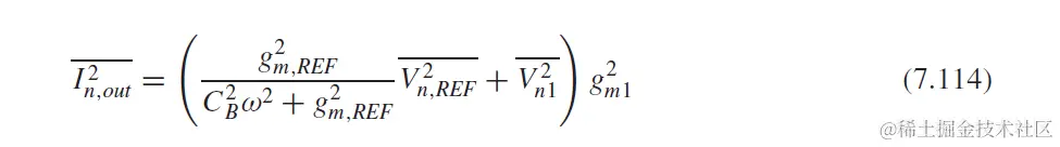
7.5 Noise in Current Mirrors

输出噪声为

为了减小输出噪声, 可以在gate添加Cb电容, 或者把gm做小(W/L取小)

减小输出噪声也可以添加RB和CB, 这样也能有效减少噪声.

添加RB和CB后输出噪声为

7.6 Noise in Differential Pairs

对于差分输入对管

考虑热噪声和1/f噪声为

对于以MOS为Load的差分对管:

输入噪声为

对于5管运放OTA

输入噪声和全差分运放一样

为了减少输入噪声, 需要增大M1和M2的gm(即增大W/L和电流), 减小gm3,4即减小(W/L)3

7.7 Noise-Power Trade-Off

噪声和功耗是相反关系, 减小噪声一般会增加功耗.

我们以上图CS结构为例. 把M1的W/L加倍, RD减小一半. Gain和output swing保持不变, 但是热噪声和1/f噪声减小了一半, 而且功耗增加了一倍. 相当于原来两个CS结构并联.

7.8 Noise Bandwidth

可以用Bn×低频噪声代表整个频阈噪声积分. Bn为噪声带宽 Noise Bandwidth

对于单极点系统, noise bandwidth BN= 极点的pi/2倍