Python实现豆瓣电影排行榜爬虫及简单数据分析

606 阅读2分钟

豆瓣电影排行榜爬虫

数据分析作业代码,豆瓣电影排行榜数据爬取(排名页面+详情页面),进行简单数据分析。

功能说明

  • 基本信息爬虫:只爬取排行榜显示的相关信息
  • 详情信息爬虫:爬取每个电影详情页信息,建议填写Cookie,避免反爬限制
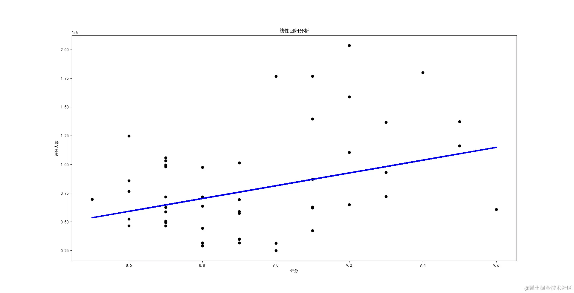
  • 简单数据分析:词云图、热度排名统计、聚类分析、线性回归
主演词云图 导演词云图 编剧词云图
制片国家或地区词云图 类型词云图 语言词云图
热榜 排行榜 二维聚类分析
三维聚类分析 线性回归

使用方法

克隆项目

git clone https://github.com/yanyaoli/douban.git

安装依赖

pip install -r requirements.txt

运行项目

python run.py

未使用多线程,可能会有些卡顿。

文件树

douban
├─ gui.py (程序GUI界面)
├─ README.md (说明文件)
├─ run.py (程序入口文件)
├─ utils (存放一些依赖文件)
│  ├─ font.ttf (字体文件)
│  ├─ getPath.py (文件路径获取)
│  ├─ headers.py (请求头获取)
│  ├─ proxy.py (代理池获取)
│  ├─ saveData.py (数据保存)
│  └─ __init__.py
├─ files (存放生成的分析文件)
├─ data (存放爬取的文件)
│  ├─ basic_datacccc.csv (电影详情信息文件)
│  ├─ details_info.csv (电影基本信息文件)
│  ├─ proxyinfo.json (代理池文件)
│  └─ __init__.py
└─ core
   ├─ basic_spider.py (基本信息爬虫)
   ├─ cluster.py (聚类分析)
   ├─ detail_spider.py (详情信息爬虫)
   ├─ linear.py (线性回归分析)
   ├─ stat.py (基本信息统计)
   ├─ word_cloud.py (词云)
   └─ __init__.py

使用许可

  1. 本项目的代码和内容仅供学习和研究使用,不得用于任何违法活动。
  2. 使用者对使用本项目的代码和内容产生的任何后果负全责。
  3. 如果本项目的代码或内容侵犯了您的权益,请通过邮箱地址联系我,我将尽快删除相关内容。