MPS | 利用滤波电容与电感抑制辐射EMI --- 特性分析与设计方法

116 阅读10分钟

利用滤波电容以及电感来抑制EMI是常见的降噪手段之一。

对于辐射EMI来说,

滤波元件的阻抗特性是怎样的呢?

而我们又应该如何进行设计呢?

美国佛罗里达大学电子与计算机工程系终身正教授,IEEE Fellow (IEEE 会士) --- 王硕老师,以一个双有源桥变换器为例,分享了滤波元件的特性与设计方法。

一、双有源桥变换器的辐射EMI模型

图片

图1 双有源桥变换器的拓扑与实物图。

图1为双有源桥变换器的拓扑以及实物图。(找元器件现货上唯样商城)从图1中可见,输入和输出各有一段导线。根据我们之前的分享可知,变换器的输入与输出线相当于一对双极天线(Dipole Antenna) 。这个高频的共模电压会在输入、输出线上激励出高频的共模电流IA,并以电磁场的形式向外辐射能量。如图2(a)所示,天线的能量可以看成以下几部分:一部分在两极之间相互转换,并不辐射到空间去,这部分无功对应的阻抗可以用jXA表示;一部分是发射出去的能量,用Rr来表示;最后一部分是天线上的电流在其本身电阻上产生的损耗,以Rl表示。而变换器的模型则可以通过一个等效噪声源VS源阻抗(实部RS和虚部XS) 来表示。因此,一个通用的辐射EMI模型即可通过图2(b)的形式来表示。

图片

图2 (a)双极天线辐射原理;(b) 变换器辐射EMI模型

因此,共模电流IA的幅值可以根据图2(b)得出:

图片

其中RARlRr之和, KI为电流系数。显然, KI与共模电流成正比。

在辐射EMI测量中,实际测到的是变换器在一定距离外的某点产生的电磁场强度。以电场为例,在距离变换器为r的位置,电场强度的最大值Emax可以由(2)式得到:

图片

其中,VS代表噪声源,η为波阻抗,D为方向性,表示该方向上的最大功率密度与半径为r的球面平均功率密度之比,KE为电场强度系数。显然, KE与辐射电场强度成正比。

天线阻抗和变换器的阻抗都可以通过测试得到,具体的方法可以参考之前的讲座(点击观看:高频共模电流、电压和阻抗的测量)。

二、辐射EMI尖峰产生的原因

现在让我们分析下KIKE的表达式。如式(3 - 4)所示,由于XSXA既可能是容性又可能是感性,它们有可能会相互抵消,此时如果RS + RA较小,则会在频谱上面观察到一个尖峰。

图片

图片

图3为双有源桥变换器源阻抗和天线阻抗的测量结果。我们可以看到XSXA的曲线一共发生了四次交越,但只有当它们相位相反时,才意味着这两部分是抵消的(①和②处)。另外,由于在②处,RA有近千欧姆,因此此时不太会出现尖峰;相比之下,①处的RA仅约100欧姆。①处的频率约为167MHz

图片

图3 双有源桥变换器源阻抗和天线阻抗

图4所示为KIKE的曲线,以及共模电流和辐射强度的实测值。从图4中可以看到,在167MHz处,由于XSXA抵消且RS + RA较小,我们确实可以观察到一个尖峰。且实验结果也可以验证这一点。

图片

图4 (a)KI和KE的计算结果(b)共模电流和辐射强度的实测值

三、共模电感对辐射EMI的影响及其设计方法

为了抑制辐射EMI,一种常见措施是在输入或输出端加一个共模电感。电感的高频模型一般需要考虑其等效电容(CP)以及等效电阻(RP)的影响(如图5所示)。在辐射模型中,为了模型的简化,可以将电感的模型写成电阻(RCM)与电抗(XCM)的串联形式,并合并到之前的辐射模型中,此时RCMXCM都会随着频率变化。而模型中的电流系数及电场强度系数也修正为式(5-6)。

图片

图5 共模电感的模型及考虑电感后的辐射模型

图片图片

由此可见,共模电感对辐射有三个影响:(1)辐射的谐振频率将会偏移;(2)系数中的电阻将会变大;(3)系数中的电抗发生了变化。我们将从电抗和电阻分别分析。

电感的电抗是可正可负的,根据图5的模型可知,若频率小于fCM,则电感表现为感性(XCM为正);若频率高于fCM,则电感表现为容性(XCM为负)。fCM即为电感的自谐振频率,其表达式如(7)所示:

图片

对于电抗XCM来说,在原先的谐振频率(167MHz)处,若XCM为负(容性),则新的谐振频率将变高;若XCM为正(感性),则新的谐振频率将变低。由于频率低时噪声源VS较强,我们往往不希望频率下移,因此应当合理选择电感,使得此时XCM为负。另外,我们需要避免加入电感后,在更低频的地方产生一个新的谐振点。由于天线阻抗XA在低频时表现为容性,因此,当频率低于fCM(即XCM仍为感性)的时候,XCM的值应始终小于XA,以避免发生阻抗交越。

对于电阻RCM来说,可以证明,其最大值位于fCM处,因此,可选择合适的电感使得fCM尽可能靠近新的谐振频率处,以避免此处产生尖峰。

图6(a)即为一个符合以上条件的共模电感的阻抗曲线。图6(b)则比较了加入共模电感前后,KIKE的曲线。在电路中串联了共模电感后,KIKE降低了约13dB,可见效果显著。

图片

图6 (a)共模电感阻抗曲线 (b)有无共模电感时的KI和KE的比较。

图7为电路中有、无共模电感时,共模电流和辐射EMI的测试结果。从结果中明显可以看到,加入共模电感可以抑制此前EMI的尖峰。而实际结果也符合KIKE的变化幅度。在增加了共模电感后,167MHz的噪声基本满足标准,但裕度较小;30MHz处仍然高于标准。此时我们也可以考虑利用其他的滤波元件进行抑制。

图片

图7 有、无共模电感时的共模电流和辐射EMI对比

四、Y电容对辐射EMI的影响及其设计方法

另外一种常见的抑制EMI的手段时在输入和输出直流母线上跨接一个Y电容。用同样的分析手段,我们可以将其等效为电阻(RY)与电抗(XY)的串联形式,如图8所示。

图片

图8 考虑Y电容后的辐射EMI模型

通常来说, Y电容的等效串联电阻RY(也即通常所说的ESR)是非常小的,可以忽略。此外,只有当Y电容的阻抗显著小于天线阻抗的时候,它才能起到旁路EMI噪声的效果,因此我们可以假设XY ≪ XA,在这两个假设下,我们可以得到修正后的电流系数及电场强度系数如下:

图片

由于我们需要在30MHz以及167MHz进一步抑制EMI噪声,我们分别在这两个频段进行分析:

根据图3的阻抗曲线,30MHz处XA ≫ RA, XS, RS。因此,比较KI,YKI(或KE,YKE)可知,Y电容的插入损耗如式(10)所示:

图片

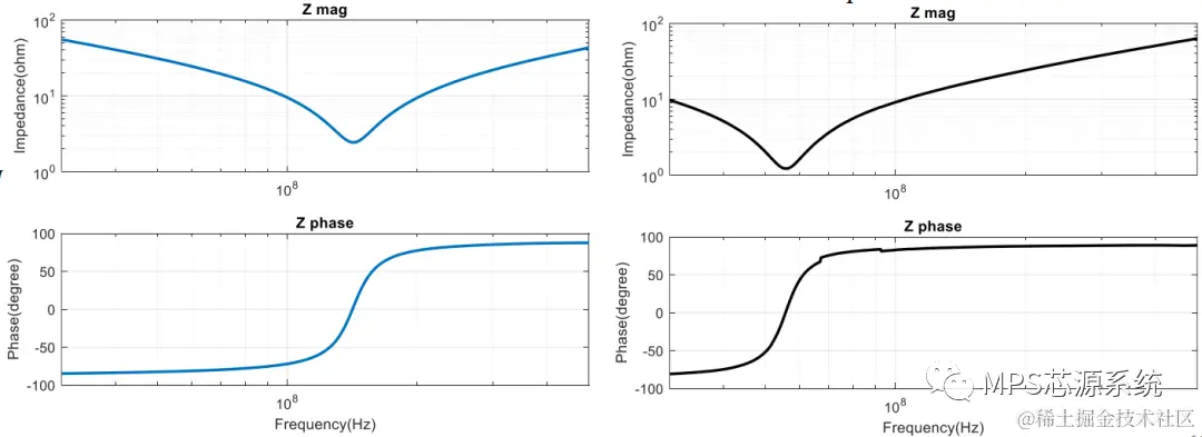
为了有效抑制EMI,插入损耗应该小于1,且越小意味着效果越好。这意味着 |XY|需要小于|XS|且|XY|应尽可能小。根据图3中的测量值,为使得插入损耗小于1,若XY30MHz时为容性,则其容值应大于86pF,若XY30MHz时为感性,则其感值应小于327nH

同理,在167MHz时,由阻抗曲线可知RA ≫ XA, XS, RS。因此,通过化简,我们发现插入损耗的表达式与(10)是一致的。经过类似的分析,我们发现,若XY167MHz时为容性,则其容值应大于30pF,若XY167MHz时为感性,则其感值应小于30nH

结合以上两个频率段的需求,我们选择了两种可行的Y电容,其阻抗曲线如图9所示。左图为一个100pF的Y电容,右图为470pF的Y电容。显然,在30MHz时,470pF电容的阻抗更低,对于EMI抑制效果更好;而在167MHz时,100pF电容则有更好的表现。

图片

图9 Y电容的阻抗:左图为100pF,右图为470pF

图10(a)对比了不同Y电容对于KIKE系数的影响。显然,100pF和470pF的Y电容都可以有效抑制EMI。而且,100pF对于167MHz的效果比较明显,而470pF则对于30MHz的频段更有效,这也与之前的理论分析相符合。

而图10(b)的EMI测量结果也对于相关的理论分析进行了进一步的验证,在使用不同的Y电容时,辐射EMI在不同频段会有不同程度的降低,且降低的幅度也均符合预测的结果。由此可见,对于辐射EMI的设计,可以通过调整滤波元件,达到针对某一频段进行抑制的效果

图片

图10 (a)有、无Y电容时的KI和KE的比较(b)有、无Y电容时的辐射EMI对比

五、LC滤波器设计的原则

最后,当电路中同时有LC滤波元件的情况下(如图11所示),其设计要遵循我们之前分享过的“阻抗不匹配”原则。当源阻抗较小时,可串接阻抗较大的滤波电感;若负载阻抗较大时,可并接阻抗较小的旁路电容

图片

图11 使用LC滤波器时的设计方法

在本笔记的结尾,让我们对王硕老师的分享一下总结。

王教授首先回顾了辐射EMI的基本模型,之后介绍了辐射EMI尖峰的产生原理。并以一个双有源桥变换器为例,说明了共模电感和Y电容对共模噪声的影响,以及应该如何进行设计。

有趣的是,在传导频段,我们往往仅利用滤波元件的低频特性抑制EMI;而在辐射频段,我们通常还需要对滤波元件的杂散参数进行设计,以更好的实现抑制EMI的效果。