黎曼猜想显著突破!陶哲轩强推MIT、牛津新论文,37岁菲尔兹奖得主参与

703 阅读10分钟

最近,被称为千禧年七大难题之一的黎曼猜想迎来了新突破。

黎曼猜想是数学中一个非常重要的未解决问题,与素数分布的精确性质有关(素数是那些只能被 1 和自身整除的数字,它们在数论中扮演着基础性的角色)。

在当今的数学文献中,已有超过一千条数学命题以黎曼猜想(或其推广形式)的成立为前提。也就是说,黎曼猜想及其推广形式一旦被证明,这一千多个命题将被确立为定理,对数学领域产生深远的影响;而如果黎曼猜想被证明是错误的,那么这些命题中的一部分也将随之失去其有效性。

新的突破来自 MIT 数学教授 Larry Guth 和牛津大学数学研究所教授、菲尔兹奖得主 James Maynard 的一篇论文。推荐该论文的数学家陶哲轩表示,他们对黎曼 zeta 函数零点的经典 1940 年 Ingham 界限进行了首次实质性改进(更广泛地说,是控制各种狄利克雷级数的大值)。此前,诞生已超过 80 年的 Ingham 界限由于缺乏改进,限制了数学家在解析数论中做很多事情。

图片

不过,陶哲轩也表示,尽管这是一个显著突破,但距离完全解决黎曼猜想还有很大距离,因此应理性看待。

黎曼猜想是什么?

黎曼猜想或黎曼假设(Riemann Hypothesis)由德国数学家 Bernhard Riemann 于 1859 年提出。这个猜想与素数的分布密切相关,其核心内容涉及黎曼 ζ 函数(Riemann Zeta Function)的非平凡零点。 

图片

Bernhard Riemann,图源:facts.net/

黎曼猜想的内容无法用完全初等的数学来描述。粗略地说, 它是针对一个被称为黎曼 ζ 函数的复变量函数 (即变量与函数值都可以在复数域中取值的函数) 的猜想。黎曼 ζ 函数跟许多其它函数一样, 在某些点上的取值为零, 那些点被称为黎曼 ζ 函数的零点。在那些零点中, 有一部分特别重要的被称为黎曼 ζ 函数的非平凡零点。黎曼猜想所猜测的是那些非平凡零点全都分布在一条被称为 「临界线」的特殊直线上(引自科普作家卢昌海博客)。

黎曼 ζ 函数定义为:  

图片

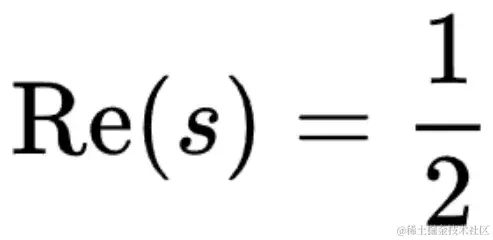
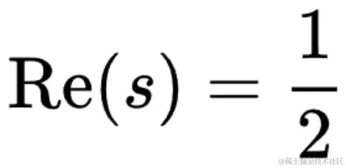
黎曼猜想认为,所有 ζ 函数的非平凡零点的实部都为 1/2。这意味着,如果 ζ(s)=0 且 s 是非平凡零点(即 s 不是负偶数),那么 s 的实部应为 1/2。

黎曼猜想是当今世界上最重要、最期待解决的数学难题。若猜想成立,则可以精确描述素数在自然数中的分布情况,并在解决数论、复分析和其他数学分支中具有广泛的应用和影响。

迄今为止,距离黎曼猜想提出已经过去了 165 年。关于尝试证明黎曼猜想的研究出现了很多,但均无疾而终。

关于解决黎曼猜想的尝试

自黎曼猜想提出以来,很多数学家便开始了探索证明之旅。

1896 年,法国数学家雅克・阿达马和 Charles Jean de la Vallée-Poussin 分别独立地证明了在直线上没有零点。连同了黎曼对于不非凡零点已经证明了的其他特性,这显示了所有不平凡零点一定处于区域上。这是素数定理第一个完整证明中很关键的一步。

1900 年,德国数学家、现代数学之父之一大卫・希尔伯特将黎曼猜想包括在他著名的 23 条问题中,与哥德巴赫猜想一起组成了希尔伯特名单上的第 8 号问题。同时黎曼猜想也是希尔伯特问题中唯一一个被收入克雷数学研究所的千禧年大奖难题。

1914 年,英国数学家高德菲・哈罗德・哈代证明了有无限个零点在直线 图片 上。后来哈代与英国数学家约翰・恩瑟・李特尔伍德在 1921 年及塞尔伯格在 1942 年的工作(临界线定理)也就是计算零点在临界线 图片 上的平均密度。

直到最近几年,对黎曼猜想的证明尝试往往也会引起轰动。

2018 年 9 月,一场在海德堡盛况空前的演讲引爆了数学圈,89 岁的阿蒂亚爵士对黎曼猜想的证明吸引了全球关注。在万众瞩目之下,阿蒂亚爵士用 45 分钟的时间向全世界展示对这个有着一百五十多年历史的数学猜想的证明。

不过阿蒂亚爵士的证明只有以下一页 PPT。这样的证明,似乎无法让人信服。当被问及是否解决了黎曼猜想时,他回应称,「这是由你的逻辑决定的。原始的黎曼猜想我是证明了,除非你是那种不接受反证法的数学家。」他也补充说,其证明没有解决所有问题,后续还有很多问题,自己只是走了第一步(第一步就是解决方案)。

遗憾的是,阿蒂亚爵士已经于 2019 年 1 月去世了。

图片

如今,又有人向黎曼猜想发起了挑战。

Guth 和 Maynard 做了什么

对于 Guth 和 Maynard 的新突破,知名数学家陶哲轩评价道:「Guth 和 Maynard 在研究黎曼猜想方面取得了重要进展,尽管离解决这一历史悠久的数学问题还有很长的路要走 。」

图片

论文链接:arxiv.org/pdf/2405.20…

从陶哲轩的推文中我们了解到,该研究首次对数学家 Albert Ingham 在 1940 年左右关于黎曼 ζ 函数零点(以及更广泛地控制各种 Dirichlet 级数的大值)的经典界限做出了实质性改进。  

1940 年,数学家 Albert Ingham 提出了一个描述这些零点的界限,这个界限对于当时的理论研究构成了基础。然而,直到 Guth 和 Maynard 的工作之前,这个界限几乎未被改进过。Guth 和 Maynard 的研究不仅改进了 Ingham 的这个界限,而且他们的方法为处理 Dirichlet 级数的大值提供了新的工具和视角,这些级数在很多数论和分析问题中都非常重要。

本文证明了 Dirichlet 多项式大值频率的新界限。这为长度为 N 的 Dirichlet 多项式提供了改进的估计,其取值大小接近 图片。此外,该研究推导出一个零点密度估计图片以及关于长度为 图片的短间隔内素数的渐近式。 

对于这项研究,陶哲轩本人从数学的角度进行了一些说明。设𝑁(σ,𝑇) 表示黎曼 ζ 函数在实部至少为 σ 且虚部最大为 T 的零点数量。黎曼猜想告诉我们任何 σ>1/2 的情况下,N (σ,𝑇) 会消失,不过现在还无法证明这个假设。但作为次优选择,数学家们可以证明零点密度估计,这是关于 𝑁(σ,𝑇)  的非平凡(non-trivial)上界。

事实证明, σ=3/4 是一个关键值。1940 年,Ingham 得出了𝑁(3/4,𝑇)≪𝑇(3/5+𝑜(1)) 的界限。

图片

在接下来的八十年中,对这个界限的改进只是 𝑜(1) 误差的微小精炼。这限制了研究者在解析数论中进行更深入的研究:例如,为了得到一个在几乎所有形如 (𝑥,𝑥+𝑥^𝜃) 的短区间内的良好素数定理,人们长期以来一直受限于𝜃>1/6 的范围,主要障碍是缺乏对 Ingham 界限的改进。

图片

Guth 和 Maynard 最终改进了 Ingham 边界,从 3/5=0.6 提高到 13/25=0.52。这在解析数论中产生了许多相应的改进,例如,研究者可以在几乎所有短区间内证明素数定理的范围,现在从 θ>1/6=0.166… 到 θ>2/15=0.133…

图片

作者介绍

Larry Guth 自 2019 年 7 月起担任 MIT Claude E. Shannon 数学教授,并于 2021 年当选 MacVicar Fellow。

他于 2005 年在 Tom Mrowka 的指导下获得 MIT 博士学位。此后在斯坦福大学担任博士后,在多伦多大学担任初级教职并在 2011 年被任命为 Courant Institute 教授。此后他于 2012 年加入 MIT 数学系担任教授。

Guth 的研究兴趣是度量几何、谐波分析和极值组合。其中度量几何是指研究涉及长度、面积和体积的不等式,一些主要的例子有等周不等式和收缩不等式。收缩不等式是 Guth 工作的一个重点, 另一个重点是寻找几何不等式和拓扑之间的联系。

最近,Guth 从事谐波分析和组合学的研究。很多工作与 Kakeya 问题有关,这是欧几里得几何中的一个未解决问题,与傅里叶分析中的限制型估计和极值组合学中关于线发生率的估计有关。

图片

图源:MIT

 James Maynard

James Maynard 生于 1987 年,是一位英国数学家,研究领域为解析数论,特别是素数理论。

数论中一些最著名的问题与素数的分布有关。虽然素数的大规模分布遵循数论定理(更准确的说是黎曼猜想),但很多自然问题需要处理短(或稀疏)尺度。

James Maynard 在 2013 年取得了关于孪生素数猜想的重要成果。他证明了存在无穷多对质数,其间隔小于 600,这一结果比张益唐的 7000 万间隔要小,尽管他的论文发表时间比张益唐晚半年,但他的成果在数论专家中获得了高度评价。

陶哲轩评价称:「说实话,他的描述方式实际上比我的更干净…… 事实证明他的说法还略强。」

Maynard 的方法既优雅又强大,以一种令人震惊的方式突破了筛分理论的界限。并且在一个看似相反的方向上,他继续证明,有时素数比平均值稀疏得多,这是一个著名的 Erdős 问题,数十年来没有取得任何实质性进展。

Maynard 还在丢番图逼近领域做了基础性工作,他与蒙特利尔大学数学教授 Koukoulopoulos 解决了 Duffin–Schaeffer 猜想。该猜想于 1941 年提出,可以被认为是 Khintchine 定理的最终泛化,描述了一个典型的实数如何被有理数逼近。

2022 年,Maynard 因在解析数论方面的贡献荣获菲尔兹奖。菲尔兹奖是数学领域最负盛名的奖项,通常被视为数学的诺贝尔奖。James Maynard 因在解析数论方面的贡献而获此殊荣,这些贡献已经在理解素数的结构和丢番图逼近方面取得了重大进展。

2023 年,他又获得了数学新视野奖。

图片

期待两位数学家在黎曼猜想等世界难题上取得更多进展。

参考链接:

www.jiqizhixin.com/articles/20…

www.zhihu.com/tardis/zm/a…

news.mit.edu/2014/profil…

mathstodon.xyz/@tao/112557…

zh.wikipedia.org/wiki/%E9%BB…