什么是向量

418 阅读4分钟

本文主要介绍向量的基本概念,包括向量维度、距离度量方式、数据类型等,通过基本概念快速了解什么是向量,以及如何更好地使用向量检索服务。

向量的基本概念

在AI领域,向量是描述对象特征的抽象表达。以DashScope上通用文本向量模型为例,通过输入一段文本,通用文本向量模型会将这段文本变成一个向量,将文本变成向量的过程叫 Embedding

调用示例

输入文本:“衣服的质量杠杠的,很漂亮,不枉我等了这么久啊,喜欢,以后还来这里买”

import dashscope
from dashscope import TextEmbedding

dashscope.api_key = {YOUR API KEY}

def embed_with_str():
    resp = TextEmbedding.call(
        model=TextEmbedding.Models.text_embedding_v1,
        input='衣服的质量杠杠的,很漂亮,不枉我等了这么久啊,喜欢,以后还来这里买')
    print(resp)


if __name__ == '__main__':
    embed_with_str()

调用输出

{
  "status_code": 200,
  "request_id": "617b3670-6f9e-9f47-ad57-997ed8aeba6a",
  "code": "",
  "message": "",
  "output": {
    "embeddings": [
      {
        "embedding": [
          0.09393704682588577,
          2.4155092239379883,
          -1.8923076391220093,
          .,
          .,
          .

        ],
        "text_index": 0
      }
    ]
  },
  "usage": {
    "total_tokens": 23
  }
}

在返回中embedding字段中的内容就是一条向量。

 [    0.09393704682588577,    2.4155092239379883,    -1.8923076391220093,    .,    .,    .]

什么是向量维度和向量数据类型

从上文中可以看出,向量实际上是一串数字的组合,也就是一个数组,这个数组代表了这段文本的特征。向量的维度即为这个数组中元素的个数,例如,这个数组中有100个元素,那么向量就是100维的。 仍以DashScope上通用文本向量为例,通用文本向量返回的向量中都有1536个元素,则向量的维度为1536维,且返回的向量维度是不变的。从通用文本向量的说明文档中也可以查看向量的维度,如下表所示。

模型中文名模型英文名向量维度单次请求文本最大行数单行最大输入字符长度支持语种
通用文本向量text-embedding-v11536252048中文、英语、西班牙语、法语、葡萄牙语、印尼语。

而向量的数据类型指的是向量数组中元素的数据类型。还是以DashScope上通用文本向量为例,返回向量的元素均为Float型,则向量的数据类型为Float型。换言之,如果向量为[1,2,3,4],向量中的元素都为整数型,那么这个向量则为4维的INT型向量。

**说明

向量的维度和数据类型,取决于您使用的Embedding的模型,不同的Embedding模型,向量的维度和数据类型可能也是不一样的。

什么是向量的距离度量方式

上文中讲到向量实际上是一个数组,那么向量与向量之间的相似性,通常使用向量之间的距离这个参数来衡量。向量检索服务(DashVector)支持三种典型的距离度量方式。

余弦距离 Cosine

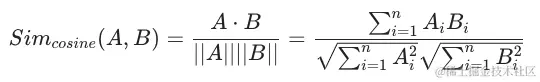
余弦相似度是指两个向量之间的夹角余弦值,它的计算公式为:

image.png

其中,A 和 B 分别表示两个向量,n 表示向量的维度,· 表示向量的点积,||A||,||B||分别表示两个向量的模长。

image.png

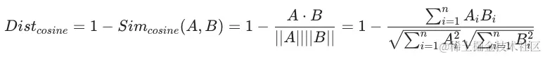
而在DashVector中使用余弦距离来表示相似度,余弦距离=1-余弦相似度,所以余弦距离取值范围为[0, 2],越接近 0 表示越相似,越接近 2 表示越不相似。余弦距离度量的计算公式如下:

image.png

欧式距离 Euclidean

欧几里得距离是指两个向量之间的距离,欧式距离越小,表示两个向量越相似,它的计算公式为:

image.png

其中, A 和 B 分别表示两个向量,n 表示向量的维度。

image.png

点积 DotProduct

向量的点积相似度是指两个向量之间的点积值,也称内积。点积( 内积)结果越大,代表越相似,它的计算公式为:

image.png

其中,A 和 B 分别表示两个向量,n 表示向量的维度。

image.png

常见模型及向量参数设置参考

模型名称向量维度向量数据类型距离度量方式(建议)
DashScope通用文本向量1536Float(32)Cosine
DashScope OnePeace多模态向量表征1536Float(32)Cosine
OpenAI 文本向量1536Float(32)Cosine

在创建Collection时,可根据您使用的模型,选择对应的参数。image.png