从入门到精通:双指针算法的逐步掌握

189 阅读15分钟

双指针—实例一次搞懂

使用双指针是降低算法复杂度的一个有效途径,有些问题的暴力解法时间复杂度是O(n^2),但使用双指针可以大幅度降低算法复杂度。如果面试者能将求解过程从暴力法优化到双指针,说明面试者的基础知识、代码能力、逻辑思维都是十分扎实的。

同贪心算法一样,双指针的难点在于自己想不出、别人的理解不了、正确性难以证明。

常用的双指针法有一下几类:

  1. 左右指针:两个指针,相向而走,中间相遇。

  2. 快慢指针:两个指针,有快有慢,同向而行。

  3. 灵活运用:两个指针,灵活运用,伺机而动。

下面将结合具体题目,从暴力做法一步一步优化到双指针,攻克想不出、看不懂、不会用的难题。

左右指针

左右指针地熟练使用需要一定经验的积累,如果接触的较少,是不容易想出来的。下面将以题目为例,一步步从暴力解法优化到双指针。

思路:先找出暴力解法,根据题目性质,优化到双指针

例题一:盛最多水的容器

给你 n 个非负整数 a1,a2,...,an,每个数代表坐标中的一个点(i, ai) 。在坐标内画 n 条垂直线,垂直线 i 的两个端点分别为(i, ai)(i, 0) 。找出其中的两条线,使得它们与 x 轴共同构成的容器可以容纳最多的水。

示例

输入:[1,8,6,2,5,4,8,3,7]
输出:49 
解释:图中垂直线代表输入数组 [1,8,6,2,5,4,8,3,7]。在此情况下,容器能够容纳水(表示为蓝色部分)的最大值为 49

这道题的最优解法是左右双指针法。双指针法的难点在于难于想到,难以证明。接下来将一步一步地从暴力解法优化到双指针法。证明也就很简单了。

暴力法:

找出每一种情况,求出盛水值,最大的就是答案。

  1. i指向左挡板,从第一块到遍历倒数第二块。

  2. j指向右挡板,从倒数第一块遍历到i后面那一块。

  3. res保存最大盛水值。

  4. 返回res

代码:

//cpp
class Solution {
public:
    int maxArea(vector<int>& height) {
        if(height.size() <= 1) return 0;
        int res = 0;//保存结果
        for(int i = 0; i < height.size() - 1; i++)//以i为左挡板,从O开始
        {
            for(int j = height.size() - 1; j > i; j--)//以j为右挡板,从height.size() - 1开始
            {
                int L = j - i;//底边长度
                int H = min(height[i], height[j]);//对短的挡板为高
                res = max(res, L * H);//取最大值
            }
        }
        return res;
    }
};

S[l,r]表示以第l块板为左挡板,第r块板为右挡板的盛水值。S[l, r]就等于min(height[l], height[r]) / (r - l)

以输入[1,8,6,2,5,4,8,3,7]为例,共8块挡板,看看都计算了哪些值:

优化:

  1. 开始时,l指向第0块挡板,r指最后一块挡板。S[l, r]=min(1, 7) * (8 - 0) = 8。

  1. 向内移动指向较长挡板的r指针,盛水面积不会变大。向内移动r指针的时候,盛水值S[l, r] = min(height[l], height[r]) / (r - l)。min(height[l], height[r]) 不会大于height[l],也就是不会大于7。(r - l)会随着r内移减小。所以向内移动r指针的时候,盛水值不可能变大。也就是S[0,8]肯定大于S[0,7],S[0,6],S[0,5],S[0,4],S[0,3],S[0,2],S[0,1]。

因此知道了以height[0]为左挡板的最大盛水值。以后计算就不用考虑height[0]了

  1. 子问题就变成了:在[8,6,2,5,4,8,3,7]中求出最大盛水值,然后与刚才的求出的以height[0]为左挡板的最大盛水值比较大小,大的为答案。

  1. 子问题求解时,用l指向指向第0块挡板,也就是height[1]r指最后一块挡板,也就是height[8]S[l, r]=min(8, 7) / (8 - 1) = 56

这个时候,如果向内移动指向较长挡板的l指针,盛水面积不会变大。

因为向内移动l指针的时候,盛水值S[l, r] = min(height[l], height[r]) / (r - l)min(height[l], height[r]) 不会大于height[r],也就是不会大于7。(r - l)会随着l内移减小。所以向内移动l指针的时候,盛水值不可能变大。也就是S[1,8]肯定大于S[2,8],S[3,8],S[4,8],S[5,8],S[6,8],S[7,8],就知道了以height[8]为右挡板的最大盛水值。

  1. 子问题可以再次缩小,就变成了:在[8,6,2,5,4,8,3]中求出最大盛水值,然后与刚才的求出的以height[0]为左挡板的最大盛水值,以height[8]为右挡板的最大盛水值比较大小,大的为答案。

  2. 以此类推,每次就能求出以最外侧两个挡板中,短的挡板为边界的最大值。然后再一次缩小问题。就不需要计算所有的情况了,只需要计算出每块挡板为边界的最大值,然后求出其中的最大值,就是答案。

  3. 这样下去,求解空间就变为了:

代码:

//cpp
class Solution {
public:
    int maxArea(vector<int>& height) {
        if(height.size() <= 1) return 0;
        int res = 0;//保存答案
        int l = 0, r = height.size() - 1;//开始时,l指向最左边的挡板,r指向最右边的挡板
        while(l < r)//如果l,r之间还有挡板
        {
            res = max(min(height[l], height[r]) * (r - l), res);//计算盛水值
            if(height[l] <= height [r])//谁小谁以后就不用再考虑 
                l++;
            else
                r--;
        }
        return res;
    }
};

时间上,l,r指针遍历一遍,所以时间复杂度是O(n)。空间上,没有开辟与输入有关的空间,所以空间复杂度是O(1)。

例题二: 和为s的两个数字

输入一个递增排序的数组和一个数字s,在数组中查找两个数,使得它们的和正好是s。如果有多对数字的和等于s,则输出任意一对即可。

示例 :

输入:nums = [2,7,11,15], target = 9
输出:[2,7] 或者 [7,2]

暴力法:

穷举出每一种情况,如果两数之和等于target的,输出答案。

  1. i指向数对的第一个数字,从0nums.size() - 2;

  2. j指向数对的第二个数字,从nums.size() - 1i+1;

  3. 如果nums[i] + nums[j] == target,返回[nums[i], nums[j]]

代码:

/

/cpp
class Solution {
public:
    vector<int> twoSum(vector<int>& nums, int target) {
        for(int i = 0; i < nums.size() - 2; i++)//i指向数对的第一个数字,从0到nums.size()-2
        {
            for(int j = nums.size() - 1; j > i; j--)//j指向数对的第二个数字,从nums.size()-1到i+1
            {
                if(nums[i] + nums[j] == target)//如果两数之和等于target
                    return vector<int>{nums[i], nums[j]};//返回数对
            }
        }
        return vector<int>{-1, -1};//穷举完没有答案,返回[-1,-1]
    }
};

两个遍历数组的循环,所以时间复杂度是O(n^2);没有开辟与数组大小相关的空间,所以空间复杂度是O(1)

优化一:j不用走到i+1再结束

暴力法没有用到数组有序这个条件,第一次优化利用了数组有序这个性质。

因为数组有序,所以nums[j] > nums[j-1]。若nums[i] + nums[j] < target,则nums[i]nums[j-1]后面的数一定小于target。所以j不用从nums.size()-1遍历到i+1,只需要遍历到nums[i] + nums[j] < target即可。

举例nums = [1,4,6,7,8,11]target = 10

第一次遍历:i = 0, j = 5开始,当 j减小为4的时候,nums[0] + nums[4] = 1 + 8 = 9 < target

数组有序,所以nums[2] < nums[3] < nums[4]。j往前走,nums[j]的值会一直变小,nums[i] + nums[j]一定小于target。所以j的这次循环可以停止了。

代码

//cpp
class Solution {
public:
    vector<int> twoSum(vector<int>& nums, int target) {
        for(int i = 0; i < nums.size() - 2; i++)//i指向数对的第一个数字,从0到nums.size()-2
        {
            for(int j = nums.size() - 1; j > i; j--)//j指向数对的第二个数字,从nums.size()-1到i+1
            {
                if(nums[i] + nums[j] == target)//如果两数之和等于target
                    return vector<int>{nums[i], nums[j]};//返回数对
                if(nums[i] + nums[j] < target)//当两数之和小于target的时候,nums[j]左侧的数字加nums[i]一定小于target,可以跳出循环。
                    break;
            }
        }
        return vector<int>{-1, -1};//穷举完没有答案,返回[-1,-1]
    }
};

虽然能提前跳出j的循环,但是时间复杂度和空间复杂度都没有变。

优化二:j不用每次都从nums.size()-1出开始

数组有序,所以nums[i + 1] > nums[i]。 如果nums[i] + nums[j] > target, 则nums[i + 1] + nums[j]一定大于target

程序执行过程中,当第一次遇到nums[i] + nums[j] < target 的时候,j的这次遍历结束。此时,nums[i] + nums[j + 1]是大于target的。

程序执行i + 1,i指向后一个元素,此时,nums[i] + nums[j + 1]肯定大于target。所以j不用从nums.size() - 1重新开始遍历,只需要从当前位置往前遍历即可。

举例:nums = [1,4,6,7,8,11],target = 10

第一次遍历:i = 0,j = 5开始,当j 为5的时候,nums[0] + nums[5] = 1 + 11 = 12 > target。j向左移动一格后,j = 4

当j为4的时候,nums[0] + nums[4] = 1 + 8 = 9 < target。j的此次遍历结束。这个时候,nums[i] + nums[j] < target, nums[i] + nums[j + 1] > target

程序继续,执行i+1:i = 1。 数组有序,所以nums[1] > nums[0]。 因为nums[0] + nums[5] > target, 所以nums[1] + nums[5]肯定大于target,所以j不用从5开始往后遍历,从上次位置继续往后遍历即可。

//cpp
class Solution {
public:
    vector<int> twoSum(vector<int>& nums, int target) {
        int j = nums.size() - 1;
        for(int i = 0; i < nums.size() - 2; i++)////i指向数对的第一个数字,从0到nums.size()-2
        {
            while(nums[i] + nums[j] > target)//j一直往前走即可
                j--;
            if(nums[i] + nums[j] == target)
                return vector<int>{nums[i], nums[j]};
        }
        return vector<int>{-1, -1};
    }
};

i从0到nums.size() - 2过程中,j只遍历了一次,所以时间复杂度O(n);没有开辟与数组大小相关的空间,所以空间复杂度是O(1)

小结 左右双指针法的实质是合理利用题目的规则,减少遍历的次数,从而降低时间复杂度。可以从暴力出发,想办法利用题目规则,一步一步进行优化。

快慢指针

快慢指针是指移动的步长,即每次向前移动速度的快慢。(例如,让快指针每次前移动2步,慢指针每次向前移动1步)。常被用来在O(N)时间复杂度O(1)空间复杂度的情况下。

例题一: 链表的中间结点

给定一个头结点为 head 的非空单链表,返回链表的中间结点。

如果有两个中间结点,则返回第二个中间结点。

示例 :

输入:[1,2,3,4,5]
输出:此列表中的结点 3 (序列化形式:[3,4,5])
返回的结点值为 3

暴力法:

  1. 用一个指针遍历一遍链表,求出链表的最后一个节点编号:n(节点编号从0开始)。

  2. 中间节点在第n/2向上取整的位置。

  3. 用一个指针从表头往后走n/2向上取整步,指向的节点就是答案。

//cpp
class Solution {
public:
    ListNode* middleNode(ListNode* head) {
        if(!head) return NULL;
        int n = 0;//保存节点编号
        ListNode *p = head;
        while(p->next)
        {
            n ++;
            p = p->next;
        }

        int mid = (n + 1 ) / 2;//中间节点位置。(len + 1 ) / 2 = len/2 向上取整。
        p = head;
        while(mid -- )//走mid步及为中点
        {
            p = p->next;
        }
        return p;
    }
};

时间上遍历两遍链表,所以时间复杂度是O(2n);没有开辟与链表相关的空间,所以空间复杂度是O(1)。

优化:快慢指针法

想象两个人比赛跑步,一个人的速度是另一个人的2倍,当速度快的到达终点的时候,速度慢的人肯定在赛道中点。

同理:用两个指针 slowfast 一起遍历链表。slow 一次走一步,fast 一次走两步。当 fast 到达链表的末尾时,slow 必然位于中间。

//cpp
class Solution {
public:
    ListNode* middleNode(ListNode* head) {
       if(!head) return NULL;
       ListNode *fast, *slow;
       fast = head;
       slow = head;
       while(fast->next)
       {
           fast = fast->next;
           if(fast->next) fast = fast->next;//fast走两步
           slow = slow->next;//slow走一步
       }
       return slow;
    }
};

时间上遍历一遍链表,所以时间复杂度是O(n);没有开辟与链表相关的空间,所以空间复杂度是O(1)。

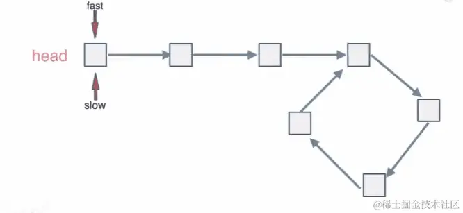
例题二:环形链表

暴力法

遍历所有节点,每次遍历到一个节点时,判断该节点此前是否被访问过。

具体地,使用哈希表来存储所有已经访问过的节点。每次到达一个节点,如果该节点已经存在于哈希表中,则说明该链表是环形链表,否则就将该节点加入哈希表中。重复这一过程,直到遍历完整个链表即可。

class Solution {
public:
    bool hasCycle(ListNode *head) {
        unordered_set<ListNode*> h;//保存访问过的节点
        while (head != nullptr) {
            if (h.count(head)) {//如果当前访问节点在h中,则有换
                return true;
            }
            h.insert(head);//将当前节点放入h
            head = head->next;
        }
        return false;
    }
};

时间上遍历一遍链表,所以时间复杂度是O(n);开辟了存储访问过的节点的哈希表,与链表线性相关,所以空间复杂度是O(n)。

优化

想像两个人从宿舍同时出发去操场跑步,一个人的速度快,一个人的速度慢。经过一段时间后,这两个人总能在操场相遇。

同理

指针fastslow在链表上移动,fast移动地快,slow移动地慢。当fastslow从链表上的同一个节点开始移动时,如果该链表中没有环,那么fast将一直处于slow 的前方;如果该链表中有环,那么fast会先于slow 进入环,并且一直在环内移动。等到slow 进入环时,由于fast的速度快,它一定会在某个时刻与slow相遇。

class Solution {
public:
    bool hasCycle(ListNode* head) {
        if (head == nullptr || head->next == nullptr) {
            return false;
        }
        ListNode* slow = head;//定义慢指针
        ListNode* fast = head->next;//定义快指针
        while (slow != fast) {//相遇一直走
            if (fast == nullptr || fast->next == nullptr) {//如果无环,fast会走完链表,为空,返货false
                return false;
            }
            slow = slow->next;//慢指针一次走1步
            fast = fast->next->next;//快指针一次走2步
        }
        return true;
    }
};

时间上遍历一遍链表,所以时间复杂度是O(n);没有开辟与链表相关的空间,所以空间复杂度是O(1)。

小结 快慢指针在解决链表的某些问题的时候,有着很好的效果。可以把题目抽象成生活案例,想想如何解决,一般就能找出解法了。

灵活运用

例题一: 链表中倒数第k个节点

输入一个链表,输出该链表中倒数第k个节点。为了符合大多数人的习惯,从1开始计数,即链表的尾节点是倒数第1个节点。例如,一个链表有6个节点,从头节点开始,它们的值依次是1、2、3、4、5、6。这个链表的倒数第3个节点是值为4的节点。

示例 :

给定一个链表: 1->2->3->4->5, 和 k = 2.

返回链表 4->5.

朴素地做法:

  1. 用一个指针遍历一遍链表,求出链表长度:n。
  2. 用一个指针从链表头开始往后走n - k 步,即可找到链表倒数第 k个节点。
//cpp
class Solution {
public:
    ListNode* getKthFromEnd(ListNode* head, int k) {
        if(!head) return NULL;
        int len = 1;//记录链表长度.
        ListNode *p = head;
        while(p->next)
        {
            len++;
            p = p->next;
        }
        p = head;
        while(len - k)
        {
            p = p->next;
            len --;
        }
        return p;
    }
};

时间上遍历两遍链表,所以时间复杂度是O(2n);没有开辟与链表相关的空间,所以空间复杂度是O(1)。

双指针法

前指针 f( former首字母)、后指针l(latter首字母) ,双指针都指向头节点 head 。 构建双指针距离: 前指针先向前走k步,结束后,双指针fl 间相距 k步。 双指针共同移动: 指针fl每轮都向前走一步,直至 f走过链表尾节点时跳出。跳出后,l与尾节点距离为k-1,即 l指向倒数第 k 个节点。

//cpp
class Solution {
public:
    ListNode* getKthFromEnd(ListNode* head, int k) {
        if(!head || k <= 0) return NULL;    //特殊情况判定
        ListNode *f = head, *l = head;
        while(k--)  
        {
            if(!f)  return NULL;    
            f = f->next;//将p移动到第k+1个节点,默认k小于链表长度
        }
        while(f)//离开循环时f=null,为第n+1个节点,l此时在1+(n+1)-(k+1)的位置上,正好是目标节点
        {
            f = f->next;
            l = l->next;
        }
        return l;
    }
};

时间上遍历一遍链表,所以时间复杂度是O(n);没有开辟与链表相关的空间,所以空间复杂度是O(1)。

例题二:反转字符串中的元音字母

编写一个函数,以字符串作为输入,反转该字符串中的元音字母。

示例 :

输入:"hello"
输出:"holle"

双指针法:

定义指针i,j, 初始化时指针i = 0, j = s.length() - 1; 从指针i开始从左到右遍历以找到第一个元音字符,从指针j开始从右到左遍历以找到第一个元音字符; 交换指针i与指针j锁指向的元音字符即可; 指针i和指针j在遍历过程中要注意数组越界情况。

//cpp
class Solution {
    // 判断一个字符是否是元音字母
    public:
        bool isVowel(char c) {
            return c == 'a' || c == 'e' || c == 'i' || c == 'o' || c == 'u'
                    || c == 'A' || c == 'E' || c == 'I' || c == 'O' || c == 'U' ;
        }
    public:
        string reverseVowels(string s) {
            int i = 0,j = s.size() - 1;
            while(i < j){
                if(!isVowel(s[i])){//让i指向元音
                    i++;
                    continue;
                }
                if(!isVowel(s[j])){//让j指向元音
                    j--;
                    continue;
                }
                swap(s[i++],s[j--]);//交换
            }
            return s;
        }
};

时间上遍历一遍链表,所以时间复杂度是O(n);没有开辟与链表相关的空间,所以空间复杂度是O(1)。