Redis原理之数据结构1

79 阅读5分钟

Redis数据结构-动态字符串

主要是用来存储Redis中的String类型的数据结构。

我们都知道Redis中保存的Key是字符串,value往往是字符串或者字符串的集合。可见字符串是Redis中最常用的一种数据结构。

不过Redis没有直接使用C语言中的字符串,因为C语言字符串存在很多问题: 获取字符串长度的需要通过运算 非二进制安全 不可修改 Redis构建了一种新的字符串结构,称为简单动态字符串(Simple Dynamic String),简称SDS。

如果我们执行

set name test

那么Redis将在底层创建两个SDS,其中一个是包含“name”的SDS,另一个是包含“test”的SDS。 Redis是C语言实现的,其中SDS是一个结构体,源码如下:

image.png 例如,一个包含字符串“name”的sds结构如下:

Header------数据------------
len:4alloc:4flags:1name\0

SDS之所以叫做动态字符串,是因为它具备动态扩容的能力,例如一个内容为“hi”的SDS:

image.png 假如我们要给SDS追加一段字符串“,Amy”,这里首先会申请新内存空间:

如果新字符串小于1M,则新空间为扩展后字符串长度的两倍+1;

如果新字符串大于1M,则新空间为扩展后字符串长度+1M+1。称为内存预分配。

image.png 优点:

  • 获取字符串长度的时间复杂度为O(1)
  • 支持动态扩容
  • 减少内存分配次数
  • 二进制安全

Redis数据结构-intset

IntSet是Redis中set集合的一种实现方式,基于整数数组来实现,并且具备长度可变、有序等特征。Redis采用用intset或hashtable来存储set。如果元素都是整数类型,使用inset存储。 结构如下: image.png 其中的encoding包含三种模式,表示存储的整数大小不同:

image.png 为了方便查找,Redis会将intset中所有的整数按照升序依次保存在contents数组中,结构如图:

image.png 现在,数组中每个数字都在int16_t的范围内,因此采用的编码方式是INTSET_ENC_INT16,每部分占用的字节大小为:

encoding:4字节 length:4字节 contents:2字节 * 3 = 6字节

image.png 我们向该其中添加一个数字:50000,这个数字超出了int16_t的范围,intset会自动升级编码方式到合适的大小。 以当前案例来说流程如下:

  • 升级编码为INTSET_ENC_INT32, 每个整数占4字节,并按照新的编码方式及元素个数扩容数组
  • 倒序依次将数组中的元素拷贝到扩容后的正确位置
  • 将待添加的元素放入数组末尾
  • 最后,将inset的encoding属性改为INTSET_ENC_INT32,将length属性改为4

image.png Intset可以看做是特殊的整数数组,具备一些特点:

  • Redis会确保Intset中的元素唯一、有序
  • 具备类型升级机制,可以节省内存空间
  • 底层采用二分查找方式来查询

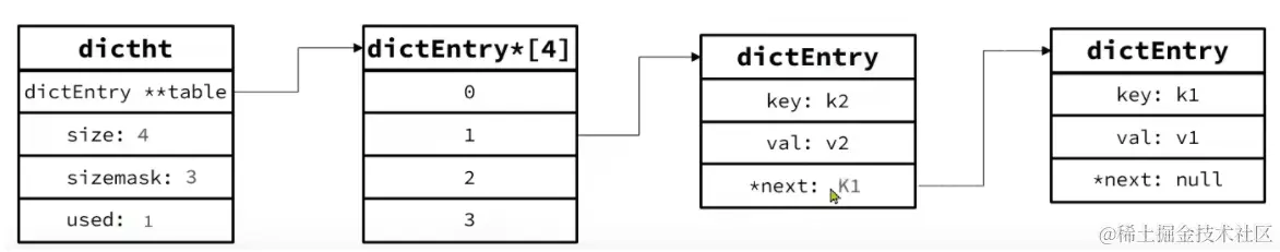
Redis数据结构-Dict

我们知道Redis是一个键值型(Key-Value Pair)的数据库,我们可以根据键实现快速的增删改查。而键与值的映射关系正是通过Dict来实现的。

Dict由三部分组成,分别是:哈希表(DictHashTable)、哈希节点(DictEntry)、字典(Dict)

image.png

image.png 当我们向Dict添加键值对时,Redis首先根据key计算出hash值(h),然后利用 h & sizemask来计算元素应该存储到数组中的哪个索引位置。我们存储k1=v1,假设k1的哈希值h =1,则1&3 =1,因此k1=v1要存储到数组角标1位置。

image.png$

Dict的正常情况

image.png

Dict的扩容

Dict中的HashTable就是数组结合单向链表的实现,当集合中元素较多时,必然导致哈希冲突增多,链表过长,则查询效率会大大降低。 Dict在每次新增键值对时都会检查负载因子(LoadFactor = used/size) ,满足以下两种情况时会触发哈希表扩容:

  • 哈希表的 LoadFactor >= 1,并且服务器没有执行 BGSAVE 或者 BGREWRITEAOF 等后台进程;

  • 哈希表的 LoadFactor > 5 ;

image.png

注意:

  • 哈希表采用惰性创建的方式,当第一次增加请求过来时才会创建
  • 哈希表的初始化大小为4,扩容大小为大于used + 1 的第一个2n2^n (used为Entry的个数)

Dict的rehash

不管是扩容还是收缩,必定会创建新的哈希表,导致哈希表的size和sizemask变化,而key的查询与sizemask有关。因此必须对哈希表中的每一个key重新计算索引,插入新的哈希表,这个过程称为rehash。过程是这样的:

  • 计算新hash表的realeSize,值取决于当前要做的是扩容还是收缩:

    • 如果是扩容,则新size为第一个大于等于dict.ht[0].used + 1的2^n
    • 如果是收缩,则新size为第一个大于等于dict.ht[0].used的2^n (不得小于4)
  • 按照新的realeSize申请内存空间,创建dictht,并赋值给dict.ht[1]

  • 设置dict.rehashidx = 0,标示开始rehash

  • 将dict.ht[0]中的每一个dictEntry都rehash到dict.ht[1]

  • 将dict.ht[1]赋值给dict.ht[0],给dict.ht[1]初始化为空哈希表,释放原来的dict.ht[0]的内存

  • 将rehashidx赋值为-1,代表rehash结束

  • 在rehash过程中,新增操作,则直接写入ht[1],查询、修改和删除则会在dict.ht[0]和dict.ht[1]依次查找并执行。这样可以确保ht[0]的数据只减不增,随着rehash最终为空

小总结:

Dict的结构:

  • 类似java的HashTable,底层是数组加链表来解决哈希冲突
  • Dict包含两个哈希表,ht[0]平常用,ht[1]用来rehash

Dict的伸缩:

  • 当LoadFactor大于5或者LoadFactor大于1并且没有子进程任务时,Dict扩容
  • 当LoadFactor小于0.1时,Dict收缩
  • 扩容大小为第一个大于等于used + 1的2^n
  • 收缩大小为第一个大于等于used 的2^n
  • Dict采用渐进式rehash,每次访问Dict时执行一次rehash
  • rehash时ht[0]只减不增,新增操作只在ht[1]执行,其它操作在两个哈希表