算法金 | 详解过拟合和欠拟合!性感妩媚 VS 大杀四方

319 阅读12分钟

大侠幸会,在下全网同名「算法金」 0 基础转 AI 上岸,多个算法赛 Top 「日更万日,让更多人享受智能乐趣」

今天我们来战 过拟合和欠拟合,特别是令江湖侠客闻风丧胆的 过拟合,简称过儿,

Emmm 过儿听起来有点怪怪的

1. 楔子

机器学习模型是一种能够从数据中学习规律并进行预测的算法。我们希望通过算法预测未来,大杀四方

事实上,可能在内一条龙在外一条虫

过拟合和欠拟合的定义

  • 欠拟合:模型在训练数据和测试数据上都表现不佳,在内也是一条虫虫啊大郎

  • 过拟合:模型过度拟合训练数据,如下图右3。这通常导致模型在训练数据上表现非常好,但在测试数据上表现很差

2. 过拟合

2.1 过拟合的定义

过拟合现象是指模型过于复杂,捕捉到了训练数据中的噪声和细节,从而失去了泛化能力。如下图右三这只喵

这种情况下,模型通常在训练数据上表现极好,但在测试数据上表现很差。

训练时 海绵宝宝上线了,测试时海绵宝宝不见了,有没有

2.2 过拟合的原因

数据量不足

当数据量不足时,模型容易记住训练数据中的每一个细节和噪声,从而导致过拟合。

模型复杂度过高

过于复杂的模型(例如具有大量参数的神经网络)可以拟合训练数据中的任何模式,包括噪声。

2.3 过拟合的表现

过拟合的主要表现是模型在训练集上的误差很低,但在测试集上的误差很高。下面我们用代码示例和可视化来展示过拟合的现象。

代码示例

通过增加模型复杂度来展示过拟合的现象。

import numpy as np
import matplotlib.pyplot as plt
from sklearn.model_selection import train_test_split
from sklearn.linear_model import LinearRegression
from sklearn.preprocessing import PolynomialFeatures
from sklearn.metrics import mean_squared_error

# 生成武侠数据集
np.random.seed(42)
X = np.linspace(1, 10, 100)
y = 2 * X + np.sin(X) * 5 + np.random.randn(100) * 2  # 假设某个武侠角色的武功值与其年龄的关系

# 拆分数据集
X = X.reshape(-1, 1)
X_train, X_test, y_train, y_test = train_test_split(X, y, test_size=0.2, random_state=42)

# 多项式回归模型(过拟合)
poly_features_high = PolynomialFeatures(degree=20)  # 增加模型复杂度
X_poly_train_high = poly_features_high.fit_transform(X_train)
X_poly_test_high = poly_features_high.transform(X_test)
poly_reg_high = LinearRegression()
poly_reg_high.fit(X_poly_train_high, y_train)
y_poly_train_pred_high = poly_reg_high.predict(X_poly_train_high)
y_poly_test_pred_high = poly_reg_high.predict(X_poly_test_high)

# 训练集和测试集的表现
print("高阶多项式回归 - 训练集误差:", mean_squared_error(y_train, y_poly_train_pred_high))
print("高阶多项式回归 - 测试集误差:", mean_squared_error(y_test, y_poly_test_pred_high))

# 可视化结果
plt.scatter(X, y, color='blue', label='数据点')
plt.plot(X, poly_reg_high.predict(poly_features_high.transform(X)), color='red', label='高阶多项式回归拟合线')
plt.xlabel('年龄')
plt.ylabel('武功值')
plt.title('高阶多项式回归(过拟合)')
plt.legend()
plt.show()

在这个示例中,我们将多项式回归的阶数提高到了 20,从而增加了模型的复杂度。模型想要迎合每一个样本数据,通过可视化可以看到这条拟合的线非常的妩媚。(记住她的性感小尾巴,下面会有选美环节)

2.4 过拟合的解决方法

增加数据量

通过增加数据量,可以使模型更好地学习到数据中的一般规律,而不是记住每个细节和噪声。

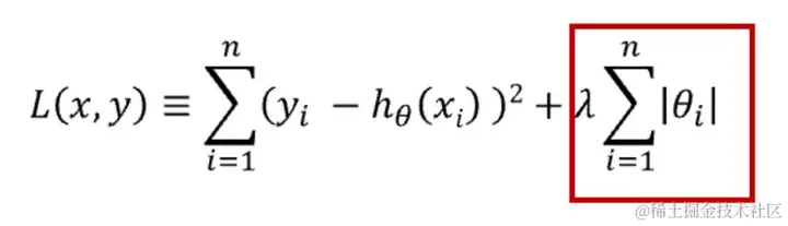
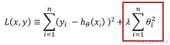
正则化方法(L1, L2)

正则化是在模型的损失函数中加入一个惩罚项,以防止模型过于复杂。L1 和 L2 正则化是两种常见的方法。

L1 正则化通过最小化权重的绝对值之和来优化模型,这有助于创建一个简洁且易于理解的模型,并且它对异常值具有较好的抵抗力。

L2 正则化则通过最小化权重值的平方和来工作,这种方法能够使模型捕捉到数据中的复杂模式,但它对异常值的敏感度较高。

剪枝(对于决策树)

对于决策树模型,可以通过剪枝来减少其复杂度,从而防止过拟合。

交叉验证

通过交叉验证,可以更好地评估模型的性能,并选择最合适的模型复杂度。

提前停止训练

在训练过程中监控模型在验证集上的表现,当性能不再提高时停止训练,可以防止模型过度拟合训练数据。

Dropout

Dropout 是一种在神经网络中使用的正则化技术,它通过随机地停用一些神经网络单元来工作。这种技术可以应用于网络中的任意隐藏层或输入层,但通常不应用于输出层。Dropout 的作用是减少神经元之间的相互依赖,促使网络学习到更加独立的特征表示。通过这种方式,Dropout 有助于降低模型的复杂度,防止过拟合,如下面的图表所示。

代码示例 - 正则化

我们将使用岭回归(L2 正则化)来演示如何减轻过拟合。

from sklearn.linear_model import Ridge

# 岭回归模型
ridge_reg = Ridge(alpha=1)
ridge_reg.fit(X_poly_train_high, y_train)
y_ridge_train_pred = ridge_reg.predict(X_poly_train_high)
y_ridge_test_pred = ridge_reg.predict(X_poly_test_high)

# 训练集和测试集的表现
print("岭回归 - 训练集误差:", mean_squared_error(y_train, y_ridge_train_pred))
print("岭回归 - 测试集误差:", mean_squared_error(y_test, y_ridge_test_pred))

# 可视化结果
plt.scatter(X, y, color='blue', label='数据点')
plt.plot(X, ridge_reg.predict(poly_features_high.transform(X)), color='red', label='岭回归拟合线')
plt.xlabel('年龄')
plt.ylabel('武功值')
plt.title('岭回归(减轻过拟合)')
plt.legend()
plt.show()

通过引入岭回归(L2 正则化),我们可以看到模型的复杂度降低了,训练集和测试集的误差更加接近,从而减轻了过拟合现象。通过可视化直观感受一下,性感小尾巴不见了;跟上面那条线相比,这个拟合的线少了几分妖娆,但明显更加丝滑(是算法金喜欢的 Style)

3. 欠拟合

3.1 欠拟合的定义

欠拟合现象是指模型在训练数据和测试数据上都表现不佳。这通常是因为模型过于简单,无法捕捉数据中的规律。

3.2 欠拟合的原因

模型复杂度过低

当模型的复杂度过低时,无法捕捉数据中的复杂模式,导致欠拟合。

特征不足

当模型没有足够的特征来描述数据时,也会导致欠拟合。

3.3 欠拟合的表现

欠拟合的主要表现是模型在训练集和测试集上的误差都很高。下面我们用代码示例和可视化来展示欠拟合的现象。

代码示例

我们将使用一个简单的线性回归模型来展示欠拟合的现象。

import numpy as np
import matplotlib.pyplot as plt
from sklearn.model_selection import train_test_split
from sklearn.linear_model import LinearRegression
from sklearn.metrics import mean_squared_error

# 生成武侠数据集
np.random.seed(42)
X = np.linspace(1, 10, 100)
y = 2 * X + np.sin(X) * 5 + np.random.randn(100) * 2  # 假设某个武侠角色的武功值与其年龄的关系

# 拆分数据集
X = X.reshape(-1, 1)
X_train, X_test, y_train, y_test = train_test_split(X, y, test_size=0.2, random_state=42)

# 简单线性回归模型(欠拟合)
lin_reg = LinearRegression()
lin_reg.fit(X_train, y_train)
y_train_pred = lin_reg.predict(X_train)
y_test_pred = lin_reg.predict(X_test)

# 训练集和测试集的表现
print("线性回归 - 训练集误差:", mean_squared_error(y_train, y_train_pred))
print("线性回归 - 测试集误差:", mean_squared_error(y_test, y_test_pred))

# 可视化结果
plt.scatter(X, y, color='blue', label='数据点')
plt.plot(X, lin_reg.predict(X), color='red', label='线性回归拟合线')
plt.xlabel('年龄')
plt.ylabel('武功值')
plt.title('线性回归(欠拟合)')
plt.legend()
plt.show()

在这个示例中,我们使用简单的线性回归模型来拟合数据。可以看到模型在训练集和测试集上的误差都很高,表现出欠拟合的特征。

3.4 欠拟合的解决方法

增加模型复杂度

通过增加模型的复杂度(例如,使用更复杂的算法或增加多项式特征),可以帮助模型更好地拟合数据。

提供更多特征

通过提供更多有意义的特征,可以帮助模型捕捉数据中的复杂模式。

减少正则化强度

如果正则化强度过高,模型的复杂度会受到限制,导致欠拟合。可以通过减少正则化强度来缓解这个问题。

代码示例 - 增加模型复杂度

我们将使用多项式回归模型来演示如何减轻欠拟合。

from sklearn.preprocessing import PolynomialFeatures

# 多项式回归模型(减轻欠拟合)
poly_features = PolynomialFeatures(degree=3)
X_poly_train = poly_features.fit_transform(X_train)
X_poly_test = poly_features.transform(X_test)
poly_reg = LinearRegression()
poly_reg.fit(X_poly_train, y_train)
y_poly_train_pred = poly_reg.predict(X_poly_train)
y_poly_test_pred = poly_reg.predict(X_poly_test)

# 训练集和测试集的表现
print("多项式回归 - 训练集误差:", mean_squared_error(y_train, y_poly_train_pred))
print("多项式回归 - 测试集误差:", mean_squared_error(y_test, y_poly_test_pred))

# 可视化结果
plt.scatter(X, y, color='blue', label='数据点')
plt.plot(X, poly_reg.predict(poly_features.transform(X)), color='red', label='多项式回归拟合线')
plt.xlabel('年龄')
plt.ylabel('武功值')
plt.title('多项式回归(减轻欠拟合)')
plt.legend()
plt.show()

通过使用三阶多项式回归模型,我们可以看到模型在训练集和测试集上的表现有所改善,从而减轻了欠拟合现象。

4. 过拟与欠拟合的对比

4.1 视觉化对比

为了更直观地理解过拟合和欠拟合,我们通过可视化来展示它们的区别。我们将使用之前生成的武侠数据集,并同时展示欠拟合、适度拟合和过拟合的模型拟合情况。

代码示例

import numpy as np
import matplotlib.pyplot as plt
from sklearn.linear_model import LinearRegression
from sklearn.preprocessing import PolynomialFeatures
from sklearn.pipeline import make_pipeline

# 生成武侠数据集
np.random.seed(42)
X = np.linspace(1, 10, 100)
y = 2 * X + np.sin(X) * 5 + np.random.randn(100) * 2  # 假设某个武侠角色的武功值与其年龄的关系

# 拆分数据集
X = X.reshape(-1, 1)
X_train, X_test, y_train, y_test = train_test_split(X, y, test_size=0.2, random_state=42)

# 欠拟合模型 - 简单线性回归
lin_reg = LinearRegression()
lin_reg.fit(X_train, y_train)
y_lin_pred = lin_reg.predict(X)

# 适度拟合模型 - 三阶多项式回归
poly_reg_3 = make_pipeline(PolynomialFeatures(degree=3), LinearRegression())
poly_reg_3.fit(X_train, y_train)
y_poly_3_pred = poly_reg_3.predict(X)

# 过拟合模型 - 二十阶多项式回归
poly_reg_20 = make_pipeline(PolynomialFeatures(degree=20), LinearRegression())
poly_reg_20.fit(X_train, y_train)
y_poly_20_pred = poly_reg_20.predict(X)

# 可视化结果
plt.figure(figsize=(14, 7))

# 原始数据点
plt.scatter(X, y, color='blue', label='数据点')

# 欠拟合
plt.plot(X, y_lin_pred, color='green', label='线性回归(欠拟合)')

# 适度拟合
plt.plot(X, y_poly_3_pred, color='orange', label='三阶多项式回归(适度拟合)')

# 过拟合
plt.plot(X, y_poly_20_pred, color='red', label='二十阶多项式回归(过拟合)')

plt.xlabel('年龄')
plt.ylabel('武功值')
plt.title('过拟合与欠拟合的对比')
plt.legend()
plt.show()

结果分析

在这个可视化示例中,我们可以清楚地看到三种模型的拟合情况:

  • 欠拟合(绿色线):简单的线性回归模型无法捕捉数据中的复杂模式,导致在训练集和测试集上都表现不佳。
  • 适度拟合(橙色线):三阶多项式回归模型能够较好地捕捉数据中的规律,同时在训练集和测试集上都有较好的表现。
  • 过拟合(红色线):二十阶多项式回归模型虽然在训练集上表现非常好,但在测试集上表现很差。模型过于复杂,倾向于记住训练数据中的噪声和细节。

通过这种对比,可以帮助我们更好地理解过拟合和欠拟合现象,以及如何在模型训练中找到适度的复杂度。

[ 抱个拳,总个结 ]

在本文中,我们详细讨论了过拟合和欠拟合这两个机器学习中常见的问题。我们通过定义、原因、表现和解决方法的层层解析,帮助少侠理解和识别这些现象,并提供了实际的代码示例和案例研究来进一步说明。

过拟合

过拟合是指模型在训练数据上表现良好,但在测试数据上表现差。这通常是因为模型过于复杂,记住了训练数据中的噪声和细节。解决过拟合的方法包括:

  • 增加数据量
  • 正则化方法(L1, L2)
  • 剪枝(对于决策树)
  • 交叉验证
  • 提前停止训练
  • Dropout

欠拟合

欠拟合是指模型在训练数据和测试数据上都表现不佳。这通常是因为模型过于简单,无法捕捉数据中的规律。解决欠拟合的方法包括:

  • 增加模型复杂度
  • 提供更多特征
  • 减少正则化强度

在实际项目中避免过拟合和欠拟合

在实际项目中,避免过拟合和欠拟合是构建高性能模型的关键。以下是一些实用的建议:

  1. 合理选择模型:根据数据的复杂度选择合适的模型。如果数据复杂,选择更复杂的模型;如果数据简单,选择简单的模型。
  2. 充分利用数据:增加训练数据的量,同时确保数据的多样性和代表性。
  3. 特征工程:通过特征工程来提升模型的性能。可以增加有意义的特征,或者通过特征选择来减少冗余特征。
  4. 正则化技术:合理使用正则化技术,如L1正则化和L2正则化,来防止模型过拟合。
  5. 交叉验证:通过交叉验证来评估模型的泛化能力,选择最佳的模型参数。

通过本文的学习,希望少侠能够更好地理解过拟合和欠拟合的概念,并在实际项目中应用相应的解决方法,构建出性能优良的机器学习模型。

[ 算法金,碎碎念 ]

全网同名,日更万日,让更多人享受智能乐趣

烦请大侠多多 分享、在看、点赞,助力算法金又猛又持久、很黄很 BL 的日更下去;

同时邀请大侠 关注、星标 算法金,围观日更万日,助你功力大增、笑傲江湖