基于DCT变换和位平面分解的数字水印嵌入提取算法matlab仿真

70 阅读2分钟

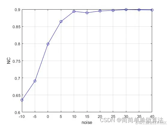
1.算法运行效果图预览

1.jpeg

2.jpeg

3.jpeg

4.jpeg

5.jpeg

6.jpeg

7.jpeg

8.jpeg

9.jpeg  

 

2.算法运行软件版本

matlab2022a

 

3.算法理论概述

     基于离散余弦变换(Discrete Cosine Transform, DCT)和位平面分解(Bit-Plane Decomposition)的数字水印嵌入与提取算法,是一种结合了频域与空域特性的稳健数字水印技术。该方法利用DCT变换将图像信号转换到频域,以利于在视觉重要性较低的频率系数中嵌入水印信息;同时,通过位平面分解,可以精细地控制水印嵌入的强度和鲁棒性,保证水印在图像处理操作下的存活率。

 

3.1 离散余弦变换(DCT)

       DCT是将图像从空间域转换到频率域的一种变换方法,常用于图像压缩和数字水印领域。对于一个N×N的图像块X,其二维DCT可表示为:

 

image.png

 

3.2 位平面分解

        位平面分解是将图像的每个像素值按照二进制位分解成多个位平面,第i位平面包含了所有像素值的第i位。对于8位灰度图像,共有8个位平面,最低有效位(LSB)对应第0位平面,最高有效位(MSB)对应第7位平面。

 

3.3 数字水印嵌入算法

 

image.png

 

3.4 数字水印提取算法

image.png  

 

4.部分核心程序 `[Imark,Mwk_binarys] = func_desert(Mwk_binary,RR,CC,4);

 

figure(1);

subplot(122);

imshow(Imark,[]);

title('提取水印');

 

binary = Mwk_binarys;

[n,m]  = size(binary);

[l,h]  = size(low_high);

gray   = zeros(n,m);

block_size =(n*m/l)^0.5;

 

for i=1:block_size:n

    for j=1:block_size:m

        n1=ceil(i/block_size);

        m1=ceil(j/block_size);

        a=low_high((n1-1)*(m/block_size)+m1,1);  

        b=low_high((n1-1)*(m/block_size)+m1,2);

       

        temp=binary(i:i+block_size-1,j:j+block_size-1);

        temp1=temp;       

              

        dix= temp==0;

        temp1(dix)=a;

        dix=find(temp==1);

        temp1(dix)=b;

       

        gray(i:i+block_size-1,j:j+block_size-1)=temp1;

    end

end

subplot(121);

imshow(uint8(gray));

 

 

%提取水印的性能分析

Imark0 = imread('1.bmp');

 

 

Imark0=imresize(Imark0,[64,64]);

PSNR(jj) = func_psnr((Imark0),(Imark));

NC(jj)   = func_nc((Imark0),(Imark)) ;

end

 

figure;

plot(NOISE,PSNR,'b-o');

grid on

xlabel('noise');

ylabel('PSNR');

 

figure;

plot(NOISE,NC,'b-o');

grid on

xlabel('noise');

ylabel('NC');`