前言
前面章节补充了一下基本的线性代数中关于向量和矩阵的背景知识,这一节咱们讲解一下在二维和三维中常用的空间变换,主要包括:平移、旋转、缩放等!
正文
矩阵和向量相乘
假设有一个矩阵 M,有一个向量P=(xy),则令 P′=M×P=(x′y′).
从上节,我们已经知道矩阵和向量相乘结果还是个向量,假设我们把向量 P 看作一个坐标,那么 P′ 的坐标就是矩阵 M 应用之后的结果,此时我们称对点P应用矩阵M的变换。
二维变换
假设在二维空间下,矩阵M 是2x2的,向量P=(xy) 是二维向量。
矩阵乘向量在二维空间本质理解: 假设我们将 M 按照列方向,分解成两个列向量 (α1,α2),则 P′=(xα1+yα2)
结果表明: 矩阵和向量相乘,就相当于向量的轴分量作为权重,给矩阵的列向量加权求和!
类似的,我们也可以把矩阵按照行向量分解,也可以表达成矩阵的行向量加权相加的形式。只不过列向量分解形式更为常见!
1、缩放
缩放矩阵M如下,Sx 为x轴向的缩放因子,Sy 为y轴向的缩放因子。
[sx00sy]
则P′=MP=[sx00sy]∗(xy)=(sx∗xsy∗y)
举个例子:M=[0.5000.5] ,P=(22),则P′=(11),如下图所示:

2、旋转
默认地,正角度旋转代表逆时针,如下图所示的红色正方形,就是旋转45°

旋转矩阵 Rθ 如下:
[cosθsinθ−sinθcosθ]
基本推导如下图:

我们使用最笨的待定系数法求解,将矩阵Rθ 设为 [ACBD],然后将两个点的前后结果带入计算,如下:
[ACBD](10)=(cosθsinθ),[ACBD](01)=>(−sinθcosθ)
所以自然得到:
ABCD=cosθ=−sinθ=sinθ=cosθ
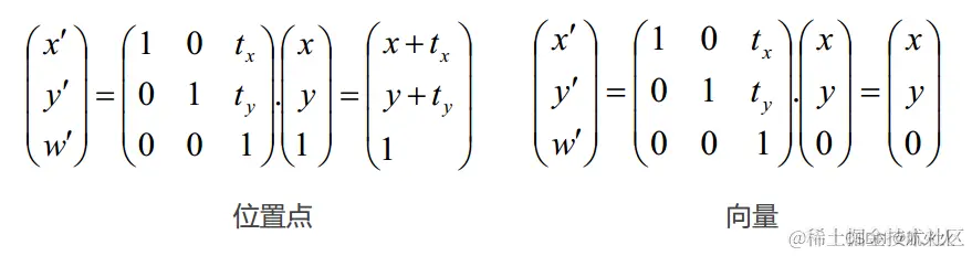
3、平移
平移就是让x轴和y轴的坐标分别偏移一定的量,如下图所示:

x′=x+txy′=y+ty
我们记 P=(xy) ,P′=(x′y′),T=(txty) ,则上述可以表示为P′=P+T
但是我们发现,上述的形式没有用上矩阵,但在数学、物理中,人们都讲究统一,因此人们引入了齐次坐标的概念。
为了迎合平移也能统一使用矩阵进行变换,认为的给二维的向量添加一个维度,升为三维,如下:
position=xy1,vector=xy0
我们发现,位置向量咱们第三维补充1,方向向量咱们第三维补充0。
于是,咱们自然而然就可以定义出平移矩阵T,如下:
T=100010txty1注:tx表示x轴的偏移量,ty表示y轴的偏移量
于是,针对位置点的平移、以及位置向量的平移计算结果如下:

我们发现,方向向量的结果没有变化,这难道出问题了么?并没有,因为方向向量本身就是位置无关的,不变才是对的,而针对某个顶点是变化了的,这就符合咱们的要求!
4、齐次坐标下总结
引入齐次坐标后,缩放和旋转矩阵多了一个维度,这里列举一下:
缩放矩阵:
S=sx000sy0001
旋转矩阵:
R=cosθsinθ0−sinθcosθ0001
平移矩阵:
T=100010txty1
三维变换
首先,由于多引入了一个维度,复杂度上升。坐标系自然而然分为两种:左手系、右手系,示意图如下:

**为了方便,后续三维空间中的矩阵变换讲解以右手系为例!**左手系也是类似,大家熟练之后可自行推导!
同理,在三维坐标系下,同样为了统一平移的操作,引入齐次坐标后,变换矩阵都是4x4的,这里不多赘述!
1、缩放
由于缩放最是容易,也最容易理解,这里直接给出缩放矩阵:
S=sx0000sy0000sz00001注:sx、sy、sz分别为x、y、z轴的缩放比例
2、平移
也是类似,这里直接给出平移矩阵:
T=100001000010txtytz1注:tx、ty、tz分别为x、y、z轴的偏移量
3、旋转
由于三维世界中,旋转并不是绕一个点,而是绕一个旋转轴,所以最简单的旋转就是绕:x、y、z轴的旋转。
旋转规则: 绕某个轴旋转 θ 角度,就是表明逆着此轴的方向眼睛看过去,逆时针旋转 θ 角度。
例如如下示意图就是绕z轴旋转θ 角度:

并且我们一定要理解,绕z轴转动时,所有点的z坐标是不会变化的!
这里需要对照二维空间中的旋转矩阵的理解,本质上:二维旋转就是将两个相互垂直的基向量作为坐标轴,逆时针旋转的结果
所以,上述的绕z轴的旋转,可以理解为基向量就是 100 和 010
这里给出一个基本任意正交基向量 i、j 的旋转示意图:

绕X轴旋转:
示意图如下:

因此,我们只是将基向量变成 010 和 001
所以,很容易构造出以下等式:
10000cosθsinθ00−sinθcosθ00001xij1=xcosθ∗i−sinθ∗jsinθ∗i+cosθ∗j1
自然而然可以得出,绕x轴的旋转矩阵如下:
Rx=10000cosθsinθ00−sinθcosθ00001
绕Z轴旋转:
同理,示意图:

容易构造出以下等式:
cosθsinθ00−sinθcosθ0000100001ijz1=cosθ∗i−sinθ∗jsinθ∗i+cosθ∗jz1
自然而然可以得出,绕z轴的旋转矩阵如下:
Rz=cosθsinθ00−sinθcosθ0000100001
绕Y轴旋转:
Y轴相比X和Z比较特殊,也是新手初学三维空间旋转最容易困惑的地方。但在咱们这里不存在,示意图如下:

容易构造出以下等式:
cosθ0−sinθ00100sinθ0cosθ00001jyi1=sinθ∗i+cosθ∗jycosθ∗i−sinθ∗j1
咱们发现,这里的形式稍微较绕x和绕z不一样了
本质就是因为这里的正交基分别是:001 和 100
自然而然可以得出,绕y轴的旋转矩阵如下:
Ry=cosθ0−sinθ00100sinθ0cosθ00001
结尾:喜欢的小伙伴可以点点关注+赞哦
希望对各位小伙伴能够有所帮助哦,永远在学习的道路上伴你而行, 我是航火火,火一般的男人!