【Leetcode 206】 反转链表——此递归相当妙啊

45 阅读1分钟

 题目 

给你单链表的头节点 head ,请你反转链表,并返回反转后的链表。

示例 1:

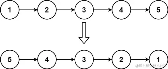
输入: head = [1,2,3,4,5]
输出: [5,4,3,2,1]

示例 2:

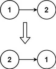
输入: head = [1,2]
输出: [2,1]

示例 3:

输入: head = []
输出: []

提示:

  • 链表中节点的数目范围是 [0, 5000]
  • -5000 <= Node.val <= 5000

题解

/** 迭代 通过将每一个节点的next的指向改为指向前一个节点,则相当于逆置*/
function reverseList2(head: ListNode | null): ListNode | null {
  // 创建pre指针,指向当前节点的前一个节点,
  let pre = null;

  //当前节点的指针
  let cur = head;
  while (cur) {
    //保存下一个节点,因为当修改了next指向前一个节点时,就无法找到下一个节点了
    let nex = cur.next;

    //将节点的next的指向改为指向前一个节点
    cur.next = pre;

    //向后移动两个指针
    pre = cur;
    cur = nex;
  }
  //   cur这时候为null,pre为最后一个节点,也就是逆置后的头节点
  return pre;
}

/** 递归 */
function reverseList(head: ListNode | null): ListNode | null {
  //如果head 为空(只在链表为空时,!head 条件才会成立)
  // !head.next 为空,则head为尾节点,则返回head
  if (!head || !head.next) return head;

  //递归链表,直到最后,并保存每一个节点
  const newHead = reverseList(head.next);

  //head 节点为当前节点,将下一个节点的next指针指回上一个节点
  // 如 原本是  4 -> 5 -> 6  ,head为5 ,5.next = 6
  // 此操作后为 4 -> 5 -> <- 6 , 将 6.next = 5
  head.next.next = head;

  //由于上步操作后,5 和 6 相互指向,会成死循环,
  // 此操作后  4 -> 5 <- 6
  head.next = null;

  // 由于递归为栈操作,所以最后返回的newHead为反转链表的表头
  return newHead;
}