为了不被人工智能淘汰(三):两分钟理解导数

236 阅读1分钟

“他曾没有足够的想象力来当数学家,不过他成了一名诗人,现在过得挺好。”

导数是什么?

导数是研究变化的,实质是看某个量的微小变化以及它和它所导致的另一个微小变化量的关系。

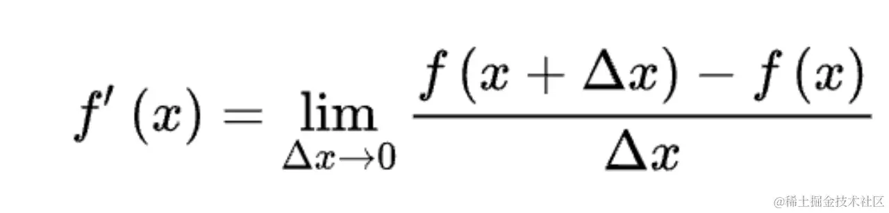
即对于y=f(x), dx为x的微小变化,df为由x引起的另一个变化量:f(x+dx)-f(x), df/dx 记作f(x)的导数。

这里的d表示微小,微小是多小,就是无穷小,比任何可以表示出来的都小,在有限世界不等于0(可以当分母),在无限世界等于0,可以认为

image.png

导数的数学定义:   image.png