V8的内存垃圾回收

112 阅读6分钟

V8的内存垃圾回收

  • 内存
  • V8
  • 垃圾回收

计算机模型

img

寄存器

  • 是中央处理器的组成部分
  • 寄存器是有限存储容量的高速存储部件
  • 可以用来暂存指令、数据和地址
  • 寄存器内的数据可用于执行算术和逻辑运算
  • 寄存器内的地址可用于指向内存的某个位置

内存

  • 随机存取存储器(Random Access Memory)也叫内存,英文缩写RAM
  • RAM是与CPU直接交换数据的内部存储器
  • RAM工作时可以从任何一个指定地址写入或读出信息
  • RAM用来在计算机中用来暂时存储程序、数据和中间结果

img

console.log(0xFFFFFFFF);//4294967295
console.log(0xFFFFFFFF / 1024 / 1024 / 1024);

内存空间分类

  • 内存空间

    会分为二类

    • 数据空间
    • 指令空间

img

指令

  • 可以通过指令指挥命令计算机进行工作

机器语言指令

  • 计算机只认识0和1,所以我们可以通过二进制指令和计算机进行沟通
  • 这些指令被称为指令集,也就是机器语言
  • MIPS是一种采取精简指令集(RISC)的处理器架构
  • 最常见的MIPS-32位指令集每个指令是一个32位的二进制数

img

汇编指令

  • 二进制指令难以编写和阅读,所以出现了汇编指令集
    • MIPS Assembler and Runtime Simulator是一个轻量级的交互式开发环境IDE,用于使用MIPS(Microprocessor without interlocked piped stages architecture)汇编语言进行编程
部分含义
opcode操作码0add做加法运算
rs$s1第一个来源寄存器
rt$s2第二个来源寄存器
rd$s3目标寄存器
shamt0位移量
funct32函数,这个字段选择Opcode操作某个特定变体
助记符opcodersrtrdshamtfunct示例示例含义操作
add000000rsrtrd00000100000add 1,1,2,$31=1=2+$3带符号数相加
addu000000rsrtrd00000100001add 1,1,2,$31=1=2+$3无符号数相加
sll00000000000rtrdsa000000sll rd,rt,sard = rt << sa逻辑左移,寄存器rt的值向左移sa位,结果保存到rd寄存器中
add $s3,$s1,$s2
addi $s1,$zero,1
sll s2,s1,1
console.log((0x02329820).toString('2'));

程序指针

程序指针

  • PC寄存器存储着下一条要执行的指令的内存地址
  • 机器循环=PC位置获取指令->分析指令->执行指令->PC指针移动
  • 执行过程

img

汇编指令含义
addi s1,s1,zero,1zero中的值加上数字1保存到寄存器zero中的值加上数字1保存到寄存器1中
addi s2,s2,zero,2zero中的值加上数字2保存到寄存器zero中的值加上数字2保存到寄存器1中
add s3,s3,s1,$s2把寄存器s1和寄存器s1和寄存器2的和存储到$s3中

V8

语言的分类

解释执行

  • 先将源代码通过解析器转成中间代码,再用解释器执行中间代码,输出结果
  • 启动快,执行慢

img

编译执行

  • 先将源代码通过解析器转成中间代码,再用编译器把中间代码转成机器码,最后执行机器码,输出结果
  • 启动慢,执行快

img

V8执行过程

  • V8采用的是解释和编译两种方式,这种混合使用的方式称为JIT技术
  • 第一步先由解析器生成抽象语法树和相关的作用域
  • 第二步根据AST和作用域生成字节码,字节码是介于AST和机器码的中间代码
  • 然后由解释器直接执行字节码,也可以让编译器把字节码编译成机器码后再执行
  • jsvu可以快速安装V8引擎
  • V8源码编译出来的可执行程序名为d8d8,d8是V8自己的开发工具shell

img

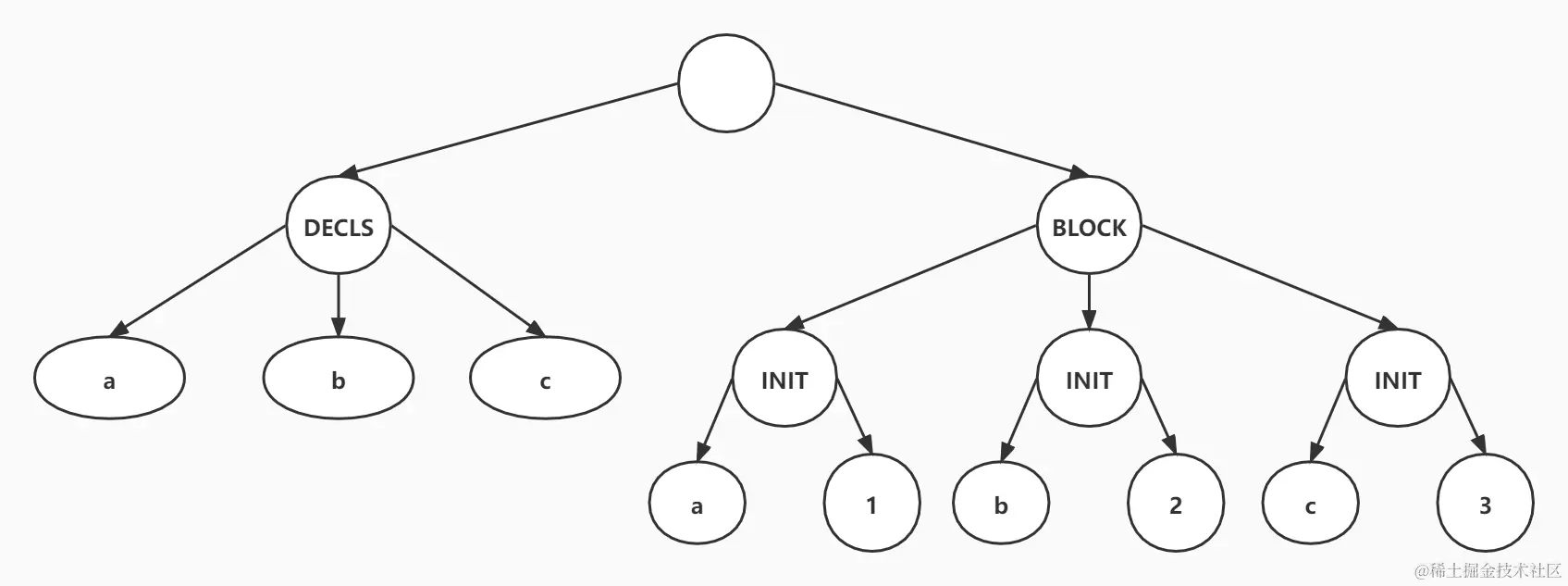
抽象语法树

img

var a = 1;
var b = 2;
var c = a + b;
d8 --print-ast 4.js
[generating bytecode for function: ]
--- AST ---
FUNC at 0
. KIND 0
. SUSPEND COUNT 0
. NAME ""
. INFERRED NAME ""
. DECLS
. . VARIABLE (00000278B965EB88) (mode = VAR) "a"
. . VARIABLE (00000278B965EC78) (mode = VAR) "b"
. . VARIABLE (00000278B965EDB0) (mode = VAR) "c"
. BLOCK NOCOMPLETIONS at -1
. . EXPRESSION STATEMENT at 8
. . . INIT at 8
. . . . VAR PROXY unallocated (00000278B965EB88) (mode = VAR) "a"
. . . . LITERAL 1
. BLOCK NOCOMPLETIONS at -1
. . EXPRESSION STATEMENT at 20
. . . INIT at 20
. . . . VAR PROXY unallocated (00000278B965EC78) (mode = VAR) "b"
. . . . LITERAL 2
. BLOCK NOCOMPLETIONS at -1
. . EXPRESSION STATEMENT at 32
. . . INIT at 32
. . . . VAR PROXY unallocated (00000278B965EDB0) (mode = VAR) "c"
. . . . ADD at 34
. . . . . VAR PROXY unallocated (00000278B965EB88) (mode = VAR) "a"
. . . . . VAR PROXY unallocated (00000278B965EC78) (mode = VAR) "b"

img

作用域

  • 作用域是一个抽象的概念,它描述了一个变量的生命周期,比如哪些变量是在哪里声明的,哪些变量是在哪里使用的
d8 --print-scopes 1.js
Global scope:
global { // (000001D42188BEC0) (0, 38)
  // will be compiled
  // 1 stack slots
  // temporary vars:
  TEMPORARY .result;  // (000001D42188C730) local[0]
  // local vars:
  VAR c;  // (000001D42188C670)
  VAR b;  // (000001D42188C538)
  VAR a;  // (000001D42188C448)
}

字节码

  • 字节码是机器码的抽象表示

  • 源代码直接编译成机器码编译时间太长,体积太大,不适合移动端

  • 编译成字节码编译时间短,体积小

  • FeedBack Vector slot(反馈向量槽)是一个数组,是用来给优化编译器提供信息的

  • 字节码执行过程

var a = 10;
var b = 20;
var c = a + b;
d8 --print-bytecode  4.js
LdaConstant [0] 从常量池中加载索引0的常量到累加寄存器中
Star r1 把累加器的值保存到目标寄存器中
LdaZero0保存到累加寄存器中
Star r2 把累加器的值0保存到目标寄存器中
Mov <closure>, r3 保存r3寄存器的值
CallRuntime [DeclareGlobals], r1-r3

StackCheck    检查栈是否溢出

LdaSmi [10]   加载10到累加寄存器中
StaGlobal [1] 把累加寄存器的值保存到常量池索引1LdaSmi [20]   加载20到累加寄存器中
StaGlobal [2] 把累加寄存器的值保存到常量池索引2LdaGlobal [1] 从常量池加载索引1到累加寄存器
Star r1       把累加器的值10保存到目标计数器中
LdaGlobal [2] 从常量池加载索引2的值20到累加寄存器
Add r1  把r1寄存器的值加到累加寄存器中,累加寄存器值为30
StaGlobal [3] 把累加寄存器的值保存到常量池索引3LdaUndefinedUndefined保存到累加寄存器中
Return        返回累加寄存器中的值

编译器优化

function sum() {
    let a = 1;
    let b = 2;
    return a + b;
}
for (let i = 0; i < 10000; i++) {
    sum();
}
d8 --trace-opt sum.js
[marking 0x02ccc2ba2279 <JSFunction (sfi = 000002CCC2BA2091)> for optimized recompilation, reason: small function, ICs with typeinfo: 4/4 (100%), generic ICs: 0/4 (0%)]
[marking 0x02ccc2ba2339 <JSFunction sum (sfi = 000002CCC2BA2141)> for optimized recompilation, reason: small function, ICs with typeinfo: 1/1 (100%), generic ICs: 0/1 (0%)]
[compiling method 0x02ccc2ba2339 <JSFunction sum (sfi = 000002CCC2BA2141)> using TurboFan]