MPPT常用拓扑原理与英飞凌实现方法

96 阅读7分钟

MPPT(Maximum Power Point Tracking)是光伏逆变器系统实现最大程度利用太阳能的关键部分,不同的MPPT拓扑有各自的特点。本文将对比常见的三种MPPT电路,并对双boost (Dual Boost)的开关模式限制做了原理性分析,直观解释了Dual Boost 在MPPT中无法交错开关。针对不同的电压与电流等级,本文提供了英飞凌针对各种拓扑的参考器件选型方案,为设计高效可靠的MPPT提供便利。

MPPT基本原理与常用拓扑

如何将太阳能最大程度转化为电能,除了光伏电池板自身技术的发展以外,最大功率跟踪MPPT也是压榨太阳能利用率的重要环节。一般情况下,光照强度越大,光伏电池板能够输出的功率也越大。下图是一定光照强度下电池板的输出特性曲线,可以发现存在某个点的输出功率最大(MPP,Maximum Power Point)。

图片

*图1.光伏电池板输出特性曲线
*

这个现象可以用一个简化的模型来解释,如下图。负载电阻接收的功率为:

图片

当输出电阻Ro调节到与电源内阻Rint相同时,负载可以接收到最大功率。光伏系统中的MPPT电路就起到了调节负载端的输入阻抗,以获得最大功率的目的。

图片

*图2.MPPT原理示意图
*

MPPT一般选用非隔离型的DC/DC电路,Buck、Boost以及Buck-Boost电路都有合适的应用场合。只不过Buck与Buck-Boost一般多用于小功率光伏系统中,在以后的文章中将再次提及这一部分,这里不多做介绍。中大功率的MPPT一般都是Boost电路及其衍生电路,除了Boost电路本身拓扑简单以外,逆变侧对高压直流母线的需求也使得升压电路更受欢迎。

图片

图3.Single Boost

图片

图4.Dual Boost

图片

图5.FC Boost

  

左右滑动查看更多

  

以上是MPPT中常用的Boost电路及其衍生电路的拓扑,两电平的Single Boost电路结构简单,但是器件的电压应力会更大些;Dual Boost与Flying Capacitor Boost都属于三电平的拓扑,因而器件的电压应力减半,但这两种拓扑在光伏MPPT应用中还有很大的不同。

Dual Boost在MPPT中的开关模式限制

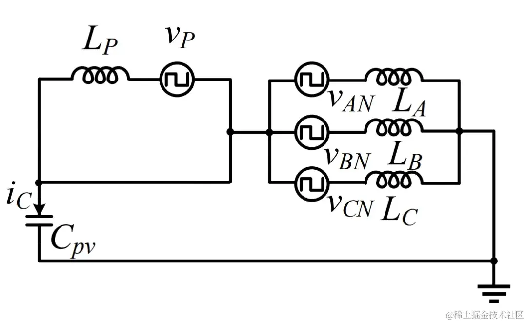
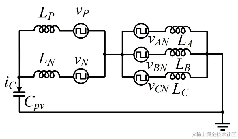
由于共模漏电流的问题 [1] ,Dual Boost的两颗主动管无法交错,只能同步开关,不能起到倍频减小电感的作用。图6是考虑光伏电池板对地寄生电容的简化系统,Cpv+Cpv-分别是电池阵列正负母线对地电容,LPLN是Boost输入电感,LALBLC是逆变器的输出电感。地电流也就是共模漏电流如果过大的话,一方面不能满足安全标准,另一方面对光伏电池板本身的寿命也有影响。图7是将图6进行交流等效后的简化电路,忽略器件的差异,假设LP=LN=LC**pv+=Cpv-=Cpv/2LA=LB=LC=Lf,当Dual Boost采取不同的控制方式时,共模漏电流ic会有不同的表达式。

图片

图6.使用Dual Boost的光伏逆变系统

图片

图.7 Dual Boost共模等效电路

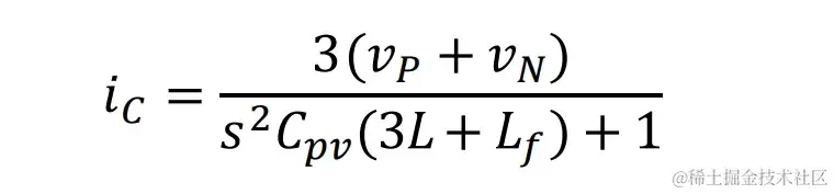
当Dual Boost开关时,可以通过叠加定理方便地写出iC的表达式:

图片

假设三相电压均衡,那么vAN、vBN、vCN的矢量和为0,iC又可以简化为:

图片

从这里我们可以看到排除掉元器件差异后,同样的拓扑下共模漏电流的值正比于正负母线的共模电压大小。为了便于大家更直观的理解,这里不再进行复杂的傅里叶分解,而是使用两张图来对比。图8和图9是不同工作模式下,vP+vN与直流输出电压的比值。由此两图的对比可以看出,最终的傅里叶分解结果也是相差一个脉冲函数δ(ω)。因此使用Dual Boost交错开关时的共模漏电流会比同步开关时要大得多,很容易超过VDE或者GB/T等标准的值。

这里也可以顺便一提Single Boost,从图10可以看出正母线的共模噪声源被负母线旁路了,不产生对地的共模漏电流。

图片  

图8.交错开关时的共模电压

图片  

图9.同步开关时的共模电压

图片

图10.Single Boost共模等效电路

FC Boost的特点

使用以上的方法,可以推导出FC Boost不存在共模漏电流的问题,两颗主动管可以交错开关,提高等效的开关频率,因此同样的电流纹波与开关频率下,电感值可以是原先的一半。但是FC Boost拓扑与控制较为复杂,还需要引入飞跨电容的预充电电路,并且还有一些专利壁垒 [2] ,导致使用这个拓扑的门槛较高。

MPPT电路英飞凌模块解决方案

针对不同的拓扑与功率需求,英飞凌都有高效并且可靠的解决方案。近些年随着光伏电池本身技术的发展,单板电流越来越大,光伏电站对单瓦成本的要求又使得系统的交直流电压越来越高。针对这种电压愈高电流愈大的趋势,英飞凌根据客户的应用需求和创新设计开发了各种模块产品。

模块产品基于英飞凌的Easy封装,有着灵活的Pin针布置与极小的杂散电感,能够最大程度上发挥出芯片与拓扑本身的优势。图11是主要的一些方案,表1是1500V系统下适用的模块方案的具体信息。其中DF4-19MR20W3M1HF_H94采用业内领先2kV SiC芯片技术,每个模块有4路Boost,通过简单的拓扑即可实现1500VDC系统下的40A以上MPPT,开关频率可推高至30kHz以上进一步减小电感尺寸。

图片

*图11.MPPT模块方案概况
*

表1.1500V光伏系统MPPT解决方案

图片

MPPT电路英飞凌单管解决方案

随着高压大电流的IGBT与SiC单管产品越来越多,光伏系统中也出现越来越多的分立器件方案以降低整体成本。英飞凌1200V的TRENCHSTOP™ IGBT7 H7产品兼顾了导通损耗与开关损耗,非常适合Boost MPPT的应用。表2 MPPT IGBT单管解决方案是针对不同电流时,开关频率16kHz下推荐的IGBT规格。如果使用SiC以获得更优异的性能,成倍提升的开关频率(32kHz)也能使得滤波电感大大减小,推荐的方案见表3。

**表2.MPPT IGBT单管解决方案
**

图片

表3.MPPT SiC单管解决方案

图片

以40A的光伏电池输入为例,输入520V,输出800V,考虑40%的电流纹波情况下,IGBT方案与SiC方案的损耗与结温仿真结果如下。

图片

可以看到在使用推荐的方案,IGBT工作于16kHz,SiC工作于32kHz时,在典型的满载工况下,单管的损耗与结温都有充足的裕量。因此也可以尝试将开关频率提到更高,以进一步提升功率密度。如果使用更大电流能力的器件去减少并联也是可以的,具体还要看大家自己的设计习惯。

以上是MPPT基本原理与英飞凌解决方案,各位在做方案选型时可以基于此去做参考。但由于不同的光伏电池板的电压、电流范围不同,不同设计习惯中的电流纹波也不同,具体的案例仍然需要结合具体工况去做详细评估。

参考文献

【1】   光伏逆变器地电流分析与抑制. 苏娜. 博士学位论文

【2】   DC/DC power Conversion Apparatus. T. Okuda. US Patent(买电子元器件就上唯样商城)