实战Python:运用梯度下降法优化线性回归模型

219 阅读3分钟

在机器学习领域,优化算法是推动模型学习并改进预测能力的核心驱动力。本文将深入探讨梯度下降法——一种广泛应用于监督学习任务中的优化技术,并通过Python实现其在简单线性回归模型中的应用。我们将从梯度下降的基本原理出发,逐步推导其数学公式,最终编写代码实现,以直观感受其工作原理与效果。

一、梯度下降法基础

梯度下降是一种迭代优化算法,用于寻找函数最小值。在机器学习中,该函数通常是损失函数(或成本函数),表示模型预测值与真实值之间的差异。梯度下降的核心思想是沿着函数梯度(即函数在某一点上的方向导数,代表了函数增大的最快方向)的相反方向,逐步调整模型参数,直至找到能使损失函数最小化的参数值。

二、梯度下降的数学原理

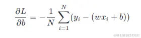
考虑一个简单的线性回归问题,模型为 y = wx + b,其中w是斜率,b是截距,目标是最小化均方误差(MSE)损失函数:

image.png

其中,N 是样本数量,yi 和xi 分别是第 i 个样本的真实值和特征值。

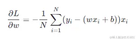
梯度下降法通过不断更新 w 和 b 来最小化 L(w,b) 对 w 的偏导数计算得:

image.png

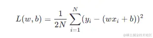
对 b 的偏导数计算得:

image.png

三、Python实现

通过Python实现梯度下降法来拟合一个简单的线性回归模型。

import numpy as np

def gradient_descent(X, y, learning_rate=0.01, num_iterations=1000):
    """
    梯度下降法实现线性回归
    :param X: 特征矩阵
    :param y: 目标变量向量
    :param learning_rate: 学习率
    :param num_iterations: 迭代次数
    :return: 最优参数w, b
    """
    m = len(y)
    # 初始化参数
    w = b = 0
    
    for _ in range(num_iterations):
        # 计算预测值
        y_pred = w*X + b
        # 计算损失函数对w和b的偏导数
        dw = -(2/m) * np.sum((y - y_pred) * X)
        db = -(2/m) * np.sum(y - y_pred)
        
        # 更新参数
        w -= learning_rate * dw
        b -= learning_rate * db
    
    return w, b

# 示例数据生成
np.random.seed(0)
X = 2 * np.random.rand(100, 1)
y = 4 + 3 * X + np.random.randn(100, 1)

# 应用梯度下降
w_opt, b_opt = gradient_descent(X, y.ravel())

print(f"最优参数 w: {w_opt}, b: {b_opt}")

四、结论

梯度下降不仅适用于线性模型,也是深度学习中反向传播算法的基础,广泛应用于复杂的神经网络训练中。值得注意的是,实际应用中还需考虑学习率的选择、局部最小值问题、梯度消失/爆炸等问题,以及引入动量、自适应学习率等策略来增强算法的稳定性和收敛速度。梯度下降法的魅力在于其直观的物理意义和广泛的适用性,通过不断地“下山”探索,模型能够自动学习到数据的最佳表示。掌握这一技术,无疑为深入机器学习的广阔天地打开了重要的一扇门。