第四章 选择结构程序设计

154 阅读4分钟

4.1 选择结构和条件判断

【例4.1】在例3.5的基础上对程序进行改进。

要求:解得ax²+bx+c=0方程的根。由键盘输入a,b,c。假设a,b,c的值任意,并不保证b²-4ac≥0 。需要在程序中进行判别。 编写程序:

#include<stdio.h>
#include<math.h>
int main()
{
	double a,b,c,disc,x1,x2,p,q;
    scanf("%lf%lf%lf",&a,&b,&c);
    disc=b*b-4*a*c;
    if(disc<0)
		printf("This equation hasn't real roots\n");
	else
	{
		p=-b/(2.0*a);
        q=sqrt(disc)/(2.0*a);
        x1=p+q;x2=p-q;
        printf("real roots:\nx1=%7.2f\nx2=%7.2f\n",x1,x2);
	}
	return 0;
}

运行结果1: 在这里插入图片描述 运行结果2: 在这里插入图片描述

4.2 用if语句实现选择结构

【例4.2】输入两个实数,按由小到大的顺序输出这两个数。

编写程序:

#include<stdio.h>
int main()
{
	float a,b,t;
    scanf("%f,%f",&a,&b);
	if(a>b)
	{
		t=a;
		a=b;
		b=t;
	}
	printf("%5.2f,%5.2f\n",a,b);
	return 0;
}

运行结果: 在这里插入图片描述

【例4.3】输入3个数a,b,c,要求按由小到大的顺序输出。

编写程序:

#include<stdio.h>
int main()
{
	float a,b,c,t;
    scanf("%f,%f,%f",&a,&b,&c);
	if(a>b)
	{
		t=a;
        a=b;
        b=t;
	}
	if(a>c)
	{
		t=a;
        a=c;
        c=t;
	}
	if(b>c)
	{
		t=b;
        b=c;
        c=t;
	}
	printf("%5.2f,%5.2f,%5.2f\n",a,b,c);
    return 0;
}

运行结果: 在这里插入图片描述

4.5 条件运算符和条件表达式

【例4.4】输入一个字符,判别它是否为大写字母,如果是,将它转换成小写字母;如果不是,不转换。然后输出最后得到的字符。

编写程序:

#include<stdio.h>
int main()
{
	char ch;
    scanf("%c",&ch);
    ch=(ch>='A'&&ch<='Z')?(ch+32):ch;
    printf("%c\n",ch);
    return 0;
}

运行结果: 在这里插入图片描述

4.6 选择结构的嵌套

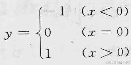
【例4.5】有一阶跃函数。

编一程序,输入一个x值,要求输出相应的y值。 编写程序:

#include<stdio.h>
int main()
{
	int x,y;
    scanf("%d",&x);
    if(x<0)
		y=-1;
	else
		if(x==0) y=0;
		else y=1;
	printf("x=%d,y=%d\n",x,y);
	return 0;
}

运行结果: 在这里插入图片描述

4.7 用switch语句实现多分支选择结构。

【例4.6】要求按照考试成绩的等级输出百分制分数段,A等为85分以上,B等为70 ~84,C等为60 ~69分,D等为60分以下。成绩的等级由键盘输入。

编写程序:

#include<stdio.h>
int main()
{
	char grade;
	scanf("%c",&grade);
	printf("Your score:");
	switch(grade)
	{
	case'A':printf("85~100\n");break;
	case'B':printf("70~84\n");break;
	case'C':printf("60~69\n");break;
	case'D':printf("<60\n");break;
	}
	return 0;
}

运行结果: 在这里插入图片描述

4.8 选择结构程序综合举例

【例4.8】写一程序,判断某一年是否为闰年。

编写程序:

#include<stdio.h>
int main()
{
	int year,leap;
	printf("enter year:");
	scanf("%d",&year);
	if(year%4==0)
	{
		if(year%100==0)
		{
			if(year%400==0)
				leap=1;
			else
				leap=0;
		}
		else
			leap=1;
	}
	else
		leap=0;
	if(leap)
		printf("%d is",year);
	else
		printf("%d is not ",year);
	printf("a leap year.\n");
	return 0;
}

运行结果1: 在这里插入图片描述 运行结果2: 在这里插入图片描述

【例4.9】求ax²+bx+c=0方程的解。

编写程序:

#include<stdio.h>
#include<math.h>
int main()
{
	double a,b,c,disc,x1,x2,realpart,imagpart;
	scanf("%lf,%lf,%lf",&a,&b,&c);
	printf("The equation");
	if(fabs(a)<=1e-6)
		printf("is not aquadratic\n");
	else
	{
		disc=b*b-4*a*c;
		if(fabs(disc)<=1e-6)
			printf("has two equal roots:%8.4f\n",-b/(2*a));
		else
			if(disc>1e-6)
			{
				x1=(-b+sqrt(disc))/(2*a);
				x2=(-b-sqrt(disc))/(2*a);
				printf("has distinct real roots:%8.4f and %8.4f\n",x1,x2);
			}
			else
			{
				realpart=-b/(2*a);
				imagpart=sqrt(-disc)/(2*a);
				printf("has complex roots:\n");
				printf("%8.4f+%8.4fi\n",realpart,imagpart);
				printf("%8.4f-%8.4fi\n",realpart,imagpart);
			}
	}
	return 0;
}

运行结果: (1)输入a,b,c的值1,2,1得到两个相等的实根。 在这里插入图片描述 (2)输入a,b,c的值1,2,2,得到两个共轭的复根。 在这里插入图片描述 (3)输入a,b,c的值2,6,1,得到两个不等的实根。 在这里插入图片描述

【例4.10】运输公司对用户计算运输费用,路程越远,运费越低。标准如下:

范围优惠
s<250没有折扣
250<=s<5002%折扣
500<=s<10005%折扣
1000<=s<20008%折扣
2000<=s<300010%折扣
3000<=s15%折扣
编写程序:
#include<stdio.h>
int main()
{
	int c,s;
    float p,w,d,f;
    printf("please enter price,weight,discount:");
    scanf("%f,%f,%d",&p,&w,&s);
    if(s>=3000) c=12;
    else c=s/250;
    switch(c)
	{
	case 0:d=0;break;
    case 1:d=2;break;
    case 2:
    case 3:d=5;break;
    case 4:
    case 5:
    case 6:
    case 7:d=8;break;
    case 8:
    case 9:   
    case 10:
    case 11:d=10;break;
    case 12:d=15;break;
	}
	f=p*w*s*(1-d/100);
    printf("freight=%10.2f\n",f);
    return 0;
}

运行结果: 在这里插入图片描述

本章完:)