【技术干货】共模电感的应用分类与选型(上)

117 阅读14分钟

磁性元件的一种最常见的形式就是电感,电感具有一定的感值因而随着频率的增加其阻抗也会随之增大,这点单独来看就可以作为一个一阶高频滤波器。。。

前言

磁性元件的一种最常见的形式就是电感,电感具有一定的感值因而随着频率的增加其阻抗也会随之增大,这点单独来看就可以作为一个一阶高频滤波器;当我们讨论的滤波对象由单一的电流通路(loop或者circuit – 回路)转变为两条或者更多条时,就需要至少在每条通路上放置一个电感才能达到同样的高频滤波效果 – 这点在实际的磁性元件上有非常简单而巧妙的设计刚好能满足,也即我们这里要谈到的共模电感(Common Mode Choke),为什么呢? 

因为当通路是多条时(比如最常见的两条),可以利用同向电流产生的磁通“共享”给另外一条电流通路,使其等效获得额外的阻抗,也即常说的(磁)耦合。由此,只需要在一个磁芯上绕制两个相互耦合的线圈绕组,就可以达到比使用两个单独电感更好的滤波效果。

以上引出了共模电感基本的功能特性,也即滤波。

图片

那么,首先需要区别开同样需要利用耦合工作的变压器和共模电感,因为滤波是对线路上的噪声进行抑制(或者吸收,后续详细介绍),从励磁方向来看是共模的,但是变压器是对代表着功率的电压激励电流进行传递,是差模的,因此类似安规电容的接法,共模电感需要处于Y接法(经地回路或者经参考地回路),变压器则处于X接法(跨接在输入输出回路上)。

其次,其共模滤波效果的评估与测量本身需要借助额外的辅助回路,但是实际EMC(电磁兼容性)测试往往只测试由差模和共模共同导致的接收器(LISN – 线性阻抗稳定网络)端信号来判定是否符合对应的法规标准(比如CE认证),因此共模电感的作用往往不容易在规格书上找到答案,这也是工程师选型时往往借助经验而很难做仿真预测的原因。

最后,细心的读者会发现共模电感名为电感却并不同于功率电感,既不考虑饱和电流更不做储能的考虑,并且英语名称是choke结尾的,所以其实其基本意义还是在于扼流(choke),后面会讲到,正是由于其扼流的效果才能达到滤波的作用,因此叫共模扼流线圈更符合其原理。

图片

本周的篇幅我们将了解共模电感的基本结构原理和应用分类,希望对作为工程师的您有所帮助。同时,如果您对相关的介绍出现了疑问或者希望进行探讨,请与我们取得联系,我们的工程师团队会从元件与应用的角度为您提供尽可能的帮助。

图片

Part 1

磁场耦合

如图Fig.1所示,通电线圈A将在其电流回路(此处为线圈)附近空间分布磁场,用磁通量Фa (或者磁通密度Ba) 来表示,其强弱程度取决于电流的大小、线圈的匝数、有效截面积以及是否有磁芯,在其线圈中心位置处的磁通量近似可以表示为:

图片

其中,如果线圈中心有磁芯,则其磁导率μr越大,其对应的等效磁路长度lmag. 越短,同时必将使得磁通量越大。这是一个标准的电感结构与其对应的空间磁通量分布的情况,值得注意的是其磁通量分布情况并不依赖电流的变化,是恒等关系,其本质是由麦克斯韦电磁方程中高斯磁场定律推导而来。

图片

【Fig.1  通电线圈A和B的空间磁场分布情况】

当空间中另外一个线圈B以某种位置关系接近通电线圈A时(如图Fig.1),线圈B中必然会被部分由线圈A所分布的磁通量穿过,形成共享的关系。根据安培定律,当线圈B所包围的环路中磁通量发生变化时,则会在线圈B的回路上产生感应电动势,也即感应电压。

可以预见,如果线圈B是一个不闭合的导电线圈,则无法形成回路电流,而只是在线圈B的两端形成感应电压,因为其回路上无电流则自然也不会产生对应的空间磁场;但是,如果线圈B是闭合回路,则一定会有回路电流产生,也即感应电流,同时,既然有感应电流则反过来会形成空间磁场分布,根据线圈B和线圈A的空间关系,线圈A必然也会分享到线圈B的分布磁通量,那么这样的相互感应最终会是怎样的一种结果呢?

显然,如果线圈A只是恒定电流的话,则线圈B在固定位置上是不会感受到其分享到的磁通量发生了变化,因此只有当线圈A中产生变化电流(比如交变电流)时才可能发生彼此的相互感应。在一对一的情况下(仅看一个线圈对另外一个线圈的情况),感应电流总是产生对抗磁通变化的作用,因此对应的线圈B对线圈A的影响将刚好抵消线圈A共享给线圈B的磁通变化量,两者相互分享的磁通在变化量上将相互抵消。

磁场耦合在固定位置情况下(不同于电动机或者发电机),即是描述在交变电流情况下的,不同线圈之间因为共享磁通而产生的相互作用。作为功率转换或者信号隔离的变压器,或者用作电流补偿型的共模电感,都是这种磁场耦合情况。当设计或者生产某个共模电感时,总是不可避免的需要考虑一个问题:两个线圈究竟要保证哪些参数是必须满足要求的?或者说,除了电流和单边的感值外,有什么是需要考虑两者之间关系的必要要求?

一种很常见的参数要求即是两边的感值误差必须足够小,或者有时提出耦合系数必须达到很高(比如>98%)。这是因为作为电流补偿型的共模电感,如果漏感过大,将会对差模信号产生明显的作用,要么造成不必要的差模阻抗(造成信号衰减或者差模带宽缩减),要么造成磁芯饱和而影响共模噪声抑制,因此,有必要对磁场耦合的耦合系数进行控制。

当两个线圈之间通过均匀磁导率的耦合媒介(磁芯)发生磁场耦合时,指定线圈A共享给线圈B的磁通量为ФBA,反之为ФAB,则因为共享磁通量(磁场耦合)其对应的互感量可以分别定义为LBALAB

图片

 在感应线圈这端总共共享的磁通量也叫磁链(linkage, λBA),可以通过磁通密度和磁矢位之间的关系图片表示为:

图片

而位于线圈B上的每一点位置上由线圈A所分布的磁矢位是(在中心间距为dAB的平均情况下):

图片

 由此得到线圈A和线圈B之间的磁链:

图片

因此得到线圈B作用在线圈A上的互感量LBA为:

图片

同样的道理可以得到LAB的表达式为:

图片

前面已经提到,两个线圈之间是通过均匀磁导率的耦合媒介(磁芯)发生了磁场耦合,因此μA=μB  则显然:

图片

以上说明,绕制在同一个磁芯上的两个线圈,其互感量是相同的,用M来表示。以上证明过程详细可参考诺依曼公式(Neumann's formula)。现在,假设线圈A总共的磁通量ФA中共享的部分ФBA占比为k A,即ФBA=kA ·ФA ,同样线圈B的共享系数为kB,则会有:

图片

因此,由以上等式关系就可以得到两个线圈之间的互感量与各自独立的感量之间的关系:

图片

以上就是磁场耦合系数k的由来:实际的共模电感可以通过分别测量两个线圈绕组的感值(另外一个线圈保持开路状态 ) ,以及漏感(另外一个线圈保持闭合状态,Llk=LA - M),则对应的可以确定互感值和耦合系数k的大小。特别的,对于非常对称的绕制在高磁导率环形磁芯(比如MnZn Ferrite磁环)上的共模电感,两边绕组感值非常接近,漏感的大小将接近Llk=LA·(1-k) ,可以看出,耦合系数越高,则漏感越低。

Part 2

共模电感的应用

本文开篇已经提到,共模电感无非是同时跨接在两条电流回路上的一个电感,它的作用就是对可能存在于两个电流回路上的共模噪声进行抑制或者衰减吸收。但是,这两个并行电流回路并不限于组成差分回路的情形,比如一对电源线内的L线和N线,又或者是数据线端口上的D+线和D-线,基于共模噪声产生的原因,凡是共地的传输线之间都可能需要进行共模噪声的抑制。

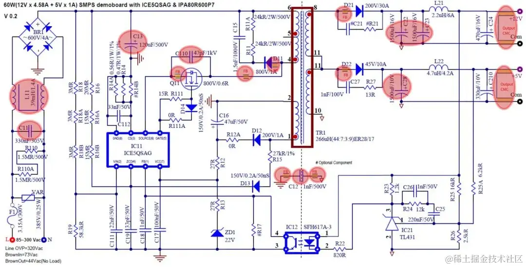
为了确定共模电感的应用,首先要明白共模噪声是怎么出现的:如图Fig.2所示(Infineon一款60W开关电源参考设计:DEMO_5QSAG_60W1),输入端为市电输入85~300Vac,电源端口上接线L、N和参考地之间构成了共地,实际上市电输入还有一根地线Green Line接到此参考地对接到物理地上。现在L线和N线构成电源回路并且跨接在此Flyback变压器的原边,作为主功率开关管的Q11的规格选用了800V的超节MOS管IPA80R600P7,其Rds(on)最大限额为600mΩ,为了有限散热一般会将散热媒介(铝散热鳍片)贴附在其外壳上,这样就增加了其高压管脚端对地的杂散电容,形成容性耦合将高压高频的输入端电压耦合形成噪音性质的电位势,在输入端口的L线和N线上通过参考地也会接收到此电位势,也即形成了共模噪声源。

值得注意的是,容性耦合作为EMC测试中传导测试主要需要面对的共模噪声源广泛的存在于各种以AC-DC为主要形式的各种不同拓扑结构的电源,同时,在变压器的原边和副边其实存在非常多的小电流回路,每一个小的电流回路也同时会增加感性耦合的噪声电流,同样也会带来很难预测的共模噪声抑或是差模噪声,因此给EMC整改带来非常多的不确定性,这也是至今无法依靠仿真软件来做电磁兼容性仿真的原因。

图片

图片

【Fig. 2 EMI对应策略元件示例(Infineon DEMO_5QSAG_60W1)】

为了预估共模噪声的大小,通常需要假设共模噪声回路上的杂散电容量,一般在几十pF的等级。在图Fig.2的例子中,假设杂散电容量为20pF,当输入电源为230Vac,主功率开关管的开关频率为200KHz时开通关断总脉宽为1μs且上升下降沿分别为0.2μs,则输入端最大电压为230∙√2=325V,交流输入经开关的占空比为𝐷=1𝜇𝑠∙200𝐾𝐻𝑧=0.2,在频谱密度分布上第一个转角频率为:

图片

对应的在频谱密度分布上第一个峰值(1st harmonic 第1个谐波)电压为:

图片

在共模噪声的回路上,在没有接共模电感的情况下,忽略串联等效阻抗(比如导线的电阻,寄生感量等)的情况下可以做最大的共模电流估算,如图Fig.3所示,在接入LISN(线性阻抗稳定网络)时其共模电流的大小为:

图片

因此在LISN端口上的传导测试接收机(频谱分析仪)将接收到的共模噪声电压幅值将会是:

图片

虽然实际的传到测试接收机上探测到的结果是:

图片

也即,共模噪声和差模噪声的幅值叠加出来的,但是显然只要共模得到抑制,则最终的测试结果将会得到改善。因此,比如在常规的通信和工业类应用EMC标准EN55022中,在150KHz到500KHz上幅值QP必须低于66dBuV,因此此处必须对共模噪声进行最大66 - 102.2 = -36.2dB的衰减。取-20dB的衰减目标为例,通过简单计算,在共模回路上主要的阻抗为杂散电容的阻抗,大约在25KΩ,如图Fig.4所示对应的需要的共模阻抗约为250KΩ,换算为一颗125mH的共模电感。

图片

【Fig.3  EMC测试中传导测试示意图(共模噪声和差模信号的回路示意)】

图片图片

【Fig.4  滤波器插入损耗的回路(左) 与 对应的衰减幅度和滤波器阻抗的关系(右)】

除了在电源线上出现的共模电感应用,在高速信号线上也常常出现共模电感,比如USB3.0,HDMI,LAN等,又或者是一些LVDS的信号线比如CAN BUS,SPI或者RS232,RS485等。在信号线上共模电感的使用,虽然也有抑制共模噪声的作用,比如为了满足某种通信规格所需要的共模抑制比,但是更重要的一点却来自于其附带的电流补偿作用,正如一开始提到的,是电流补偿型共模电感。

如图Fig.5所示,高速信号线一般采用差分对信号进行传输,信号线上存在电阻,杂散电容和分布电感,通过双绞线的形式可以有效地降低杂散电容但是无法去除分布电感,因此在接收端上存在差模输入电感,线路上的耦合电流会形成信号图上的噪声。这些噪声基于传输线的对称性将接近等量的分布在接收机的两端,现在在接收端输入位置放置共模电感,则接近等量的噪声将通过共模电感的绕组耦合产生抵消,从而极大的降低耦合噪声,也即电流补偿作用使得接收端输入噪声降低。

图片图片

【Fig.5  差分信号沿传输线从发射端到接收端的传输过程(左)

在接收端使用共模电感的改善(右)】

在信号的眼图上可以看到,如Fig.6,通过降低线路杂散感量带来的插入损耗,信噪比将会得到改善,这一点对于更长的传输线或者高速的信号线来说很重要。一般来说,以上提到的信号端口使用的传输线,通常是90~120Ω阻抗的传输线,基于特定的信号带宽要求,一般选用1倍到10倍的阻抗共模电感来提供-6dB到-20dB的共模抑制,这点和前面讲到的电源应用类似,取决于共模噪声回路的阻抗大小,当然随着频率的增高(因为高速信号传输的要求)系统共模阻抗将降低,提供过大的感量将使得滤波带宽变窄,因此需要验证所选择的感量是否匹配高速信号的传输要求。

图片   图片

图片

【Fig.6  差分传输线上的线路插入损耗导致信号质量受影响示意图】

考虑到文章篇幅,下一期我们将继续介绍共模噪声的危害及共模电感的选型,敬请关注!(买电子元器件就上唯样商城)