【数据结构与算法】力扣 144.前序遍历,145.后序遍历,94.中序遍历

66 阅读3分钟

题目描述

144. 二叉树的前序遍历

给你二叉树的根节点 root ,返回它节点值的 前序 **遍历。

示例 1:

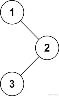
输入: root = [1,null,2,3]
输出: [1,2,3]

示例 2:

输入: root = []
输出: []

示例 3:

输入: root = [1]
输出: [1]

示例 4:

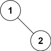
输入: root = [1,2]
输出: [1,2]

示例 5:

输入: root = [1,null,2]
输出: [1,2]

提示:

  • 树中节点数目在范围 [0, 100] 内
  • -100 <= Node.val <= 100

进阶: 递归算法很简单,你可以通过迭代算法完成吗?

145. 二叉树的后序遍历

给你一棵二叉树的根节点 root ,返回其节点值的 后序遍历 。 

示例 1:

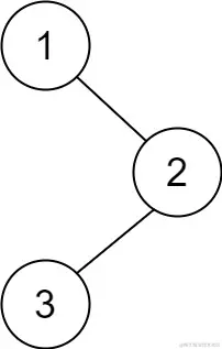
输入: root = [1,null,2,3]
输出: [3,2,1]

示例 2:

输入: root = []
输出: []

示例 3:

输入: root = [1]
输出: [1]

  提示:

  • 树中节点的数目在范围 [0, 100] 内
  • -100 <= Node.val <= 100

进阶: 递归算法很简单,你可以通过迭代算法完成吗?

94. 二叉树的中序遍历

给定一个二叉树的根节点 root ,返回 它的 中序 遍历 。

示例 1:

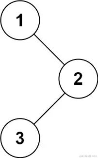
输入: root = [1,null,2,3]
输出: [1,3,2]

示例 2:

输入: root = []
输出: []

示例 3:

输入: root = [1]
输出: [1]

提示:

  • 树中节点数目在范围 [0, 100] 内
  • -100 <= Node.val <= 100

进阶: 递归算法很简单,你可以通过迭代算法完成吗?

分析解答

前序遍历(递归)

/**
 * Definition for a binary tree node.
 * function TreeNode(val, left, right) {
 *     this.val = (val===undefined ? 0 : val)
 *     this.left = (left===undefined ? null : left)
 *     this.right = (right===undefined ? null : right)
 * }
 */
/**
 * @param {TreeNode} root
 * @return {number[]}
 */
var preorderTraversal = function(root, res = []) {
    if (!root) return res
    res.push(root.val)
    preorderTraversal(root.left, res)
    preorderTraversal(root.right, res)
    return res
};

前序遍历(迭代)

/**
 * 前序遍历
 * @param {TreeNode} root
 * @return {number[]}
 */
var preorderTraversal = function(root, res = []) {
    // 简单的递归可以用栈来模拟 实现非递归(迭代)法遍历
    if(!root) return res;
    const stack = [root];
    let cur = null;
    while(stack.length) {
        cur = stack.pop();
        res.push(cur.val);
        // 先放右后放左是为了先弹出左后弹出右
        cur.right && stack.push(cur.right);
        cur.left && stack.push(cur.left);
    }
    return res;
};

后续遍历(递归)

/**
 * Definition for a binary tree node.
 * function TreeNode(val, left, right) {
 *     this.val = (val===undefined ? 0 : val)
 *     this.left = (left===undefined ? null : left)
 *     this.right = (right===undefined ? null : right)
 * }
 */
/**
 * @param {TreeNode} root
 * @return {number[]}
 */
var postorderTraversal = function(root, res = []) {
    if (!root) return res
    postorderTraversal(root.left, res)
    postorderTraversal(root.right, res)
    res.push(root.val)
    return res
};

后序遍历(迭代)

将迭代法的前序遍历先让 右先出,左后出,从而是 根右左。

最后再反转数组变成 左右根。

var postorderTraversal = function(root, res = []) {
    // 简单的递归可以用栈来模拟 实现非递归(迭代)法遍历
    if(!root) return res;
    const stack = [root];
    let cur = null;
    while(stack.length) {
        cur = stack.pop();
        res.push(cur.val);
        cur.left && stack.push(cur.left);
        cur.right && stack.push(cur.right);
    }
    return res.reverse();
};

中序遍历(递归)

/**
 * Definition for a binary tree node.
 * function TreeNode(val, left, right) {
 *     this.val = (val===undefined ? 0 : val)
 *     this.left = (left===undefined ? null : left)
 *     this.right = (right===undefined ? null : right)
 * }
 */
/**
 * @param {TreeNode} root
 * @return {number[]}
 */
var inorderTraversal = function(root, res = []) {
    if (!root) return res
    inorderTraversal(root.left, res)
    res.push(root.val)
    inorderTraversal(root.right, res)
    return res
};

中序遍历(迭代)

中序遍历的迭代法和前后序遍历有所不同。

中序遍历是 左根右。思路是先一直遍历将 左子树加入到栈中。直到没有左子树。再将此时的子树加入到结果数组中。再去寻找判断右子树。重复进行这几个步骤。

/**
 * Definition for a binary tree node.
 * function TreeNode(val, left, right) {
 *     this.val = (val===undefined ? 0 : val)
 *     this.left = (left===undefined ? null : left)
 *     this.right = (right===undefined ? null : right)
 * }
 */
/**
 * @param {TreeNode} root
 * @return {number[]}
 */
var inorderTraversal = function(root) {
    const res = []
    const stack = []
    while (root != null || stack.length !== 0) {
        while (root != null) {
            stack.push(root)
            root = root.left
        }
        root = stack.pop()
        res.push(root.val)
        root = root.right
    }
    return res
};

思路拓展