m基于Yolov2深度学习网络的智能零售柜商品识别系统matlab仿真,带GUI界面

79 阅读2分钟

1.算法仿真效果

matlab2022a仿真结果如下:

1.jpeg

2.jpeg

3.jpeg

4.jpeg

5.jpeg

6.jpeg

7.jpeg

 

2.算法涉及理论知识概要

       YOLO(You Only Look Once)是一种实时的目标检测算法,YOLOv2则是其改进版本,由Joseph Redmon和Ali Farhadi于2016年提出。YOLOv2采用了端到端的方式直接从整幅图像预测边界框和类别概率,极大地提高了检测速度。

 

       YOLOv2网络由一系列卷积层组成,最后连接到全连接层以生成预测结果。其输出张量尺寸为S×S×(B×(5+C)),其中:

 

S是输出网格的尺寸,一般设置为S=7;

B是每个网格单元预测的边界框数量(默认为2);

55代表每个边界框的坐标信息(x,y,w,h,confidence),其中(x,y)是边界框的中心相对于网格单元的位置比例,w,h是边界框的宽度和高度相对于整幅图像的比例,confidence是包含物体且预测框正确的置信度;

C是待检测物品的类别数。

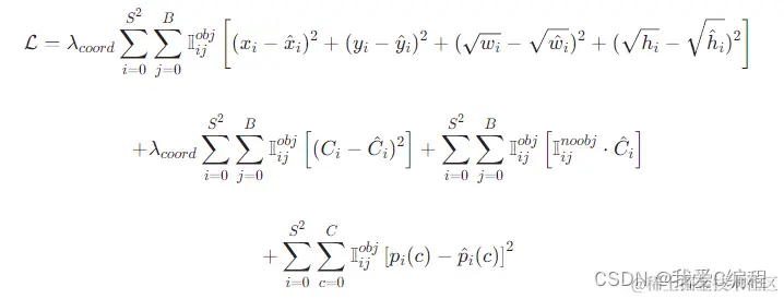
损失函数由位置损失、置信度损失和类别概率损失三部分组成:

8.png

9.png

      在智能零售柜场景中,YOLOv2首先通过训练集学习各类商品的特征。当部署在零售柜时,摄像头拍摄的实时画面会被送入YOLOv2网络,网络将整幅图像划分为多个网格,每个网格负责预测一定数量的边界框及其所属商品的类别概率。网络输出后,通过非极大值抑制(Non-Maximum Suppression, NMS)算法剔除非最大概率的边界框,保留最具代表性的商品框。最终,系统根据框内商品的类别信息和计数规则完成商品识别与数量统计。

 

3.MATLAB核心程序 `sidx             = randperm(size(FACES,1));% 打乱数据集索引

idx              = floor(0.75 * length(sidx));% 将75%的数据用作训练集

train_data       = FACES(sidx(1:idx),:);% 选取训练集

test_data        = FACES(sidx(idx+1:end),:);% 选取测试集

% 图像大小

image_size       = [224 224 3];

num_classes      = size(FACES,2)-1;% 目标类别数量

anchor_boxes = [% 预定义的锚框大小

    43 59

    18 22

    23 29

    84 109

    ];

% 加载预训练的 ResNet-50 模型

load mat\Resnet50.mat

 

% 用于目标检测的特征层

featureLayer = 'activation_40_relu';

% 构建 YOLOv2 网络

lgraph       = yolov2Layers(image_size,num_classes,anchor_boxes,Initial_nn,featureLayer);

 

options = trainingOptions('sgdm', ...

    'MiniBatchSize', 8, ....

    'InitialLearnRate',1e-4, ...

    'MaxEpochs',200,...

    'CheckpointPath', Folder, ...

    'Shuffle','every-epoch', ...

    'ExecutionEnvironment', 'gpu');% 设置训练选项

% 训练 YOLOv2 目标检测器

[detector,info] = trainYOLOv2ObjectDetector(train_data,lgraph,options);

 

 

 

 

save model.mat detector`