Games101-2 线性代数 Review of Linear Algebra

163 阅读3分钟

向量

求单位向量

向量/向量长度

image.png

向量加法

image.png 从a向量起点,连接到b向量终点,这个新的向量则为向量加法的结果

点乘

点乘常用公式

image.png 常用来计算夹角

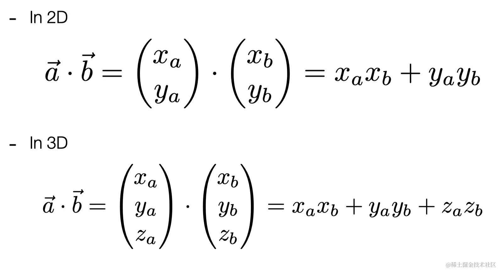
点乘具体计算方法

image.png

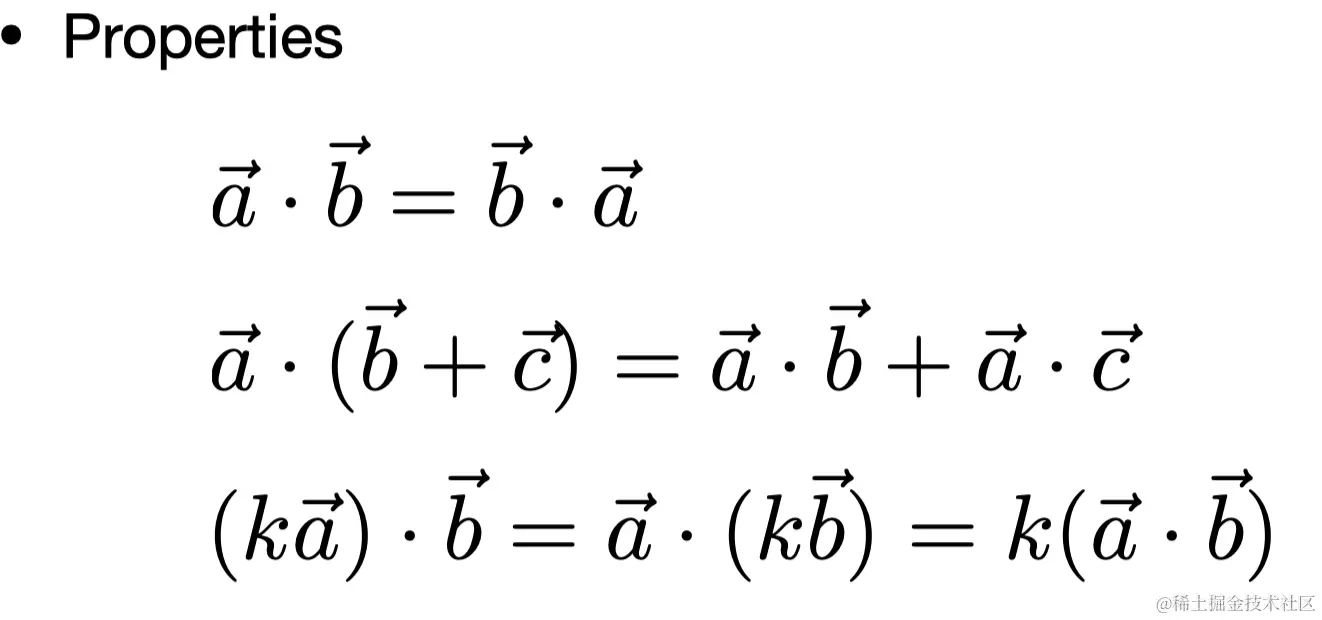
点乘运算法则

负责乘法一般运算法则 image.png

投影计算

b到a的投影,等于b的长度乘上a和b之间的夹角余弦。 进一步来说,就等于b的长度乘上a和b的点积。 假设a为单位向量,那么最终透明长度为b的长度乘上cosθ image.png

计算出了b在a上的投影,还可以计算出b另一个方向的向量,如下图所示,向量减法是末尾相连,指向被减数。

image.png

点乘的意义

  • 通过点乘可以判断两个向量是否接近
  • 还可以根据积是否大于0可以判断是否同方向,如果积大于0同向,小于0,逆向,0代表垂直
  • 方向越接近,积越接近于1,越垂直越接近于0,越相反越接近于-1 image.png

叉乘

叉乘的值

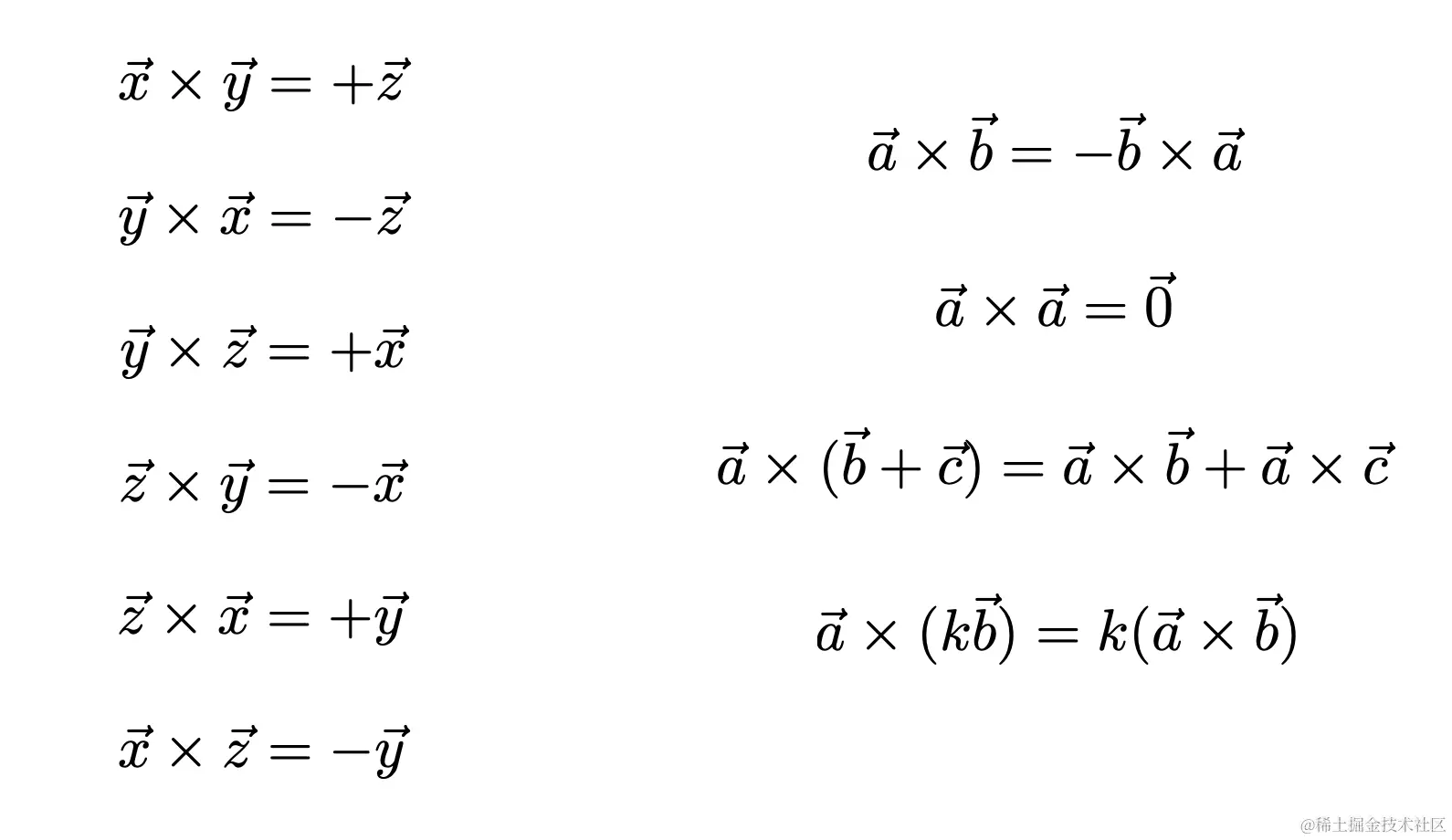
a和b叉乘可以得到一个垂直于a和b所在平面的向量,该向量长度等于a和b的长度成语sinθ。该向量正方向为右手从a到b握拳,大拇指指向的方向。右手螺旋法则。通过这个法则可以看出,向量的叉乘,不满足交换律,交换结果需要乘上一个-1

image.png

叉乘计算规则

image.png

注意: 如果X叉乘Y得到Z,那么说明这个坐标系是右手坐标系,因为这是通过右手螺旋法则得出的。

分配律和结合律仍然存在

叉乘的计算公式

两种计算方法 image.png

叉乘的意义

  1. 一个常用的是计算向量左右,如下图左图,由图可知,是一个右手坐标系。a叉乘b,如果得到的是一个正值,那么b在a的左边如果是负值,那么b在a的右边;左图中在左边。如果拿b叉乘a,就会得到一个负值,果然a在b的右侧。如果结果为0向量,那么他们平行。

image.png

注意叉乘的值所说的正负都是基于叉乘得到的向量所在轴来说的

  1. 判断内外:例如P点,用AB叉乘AP,BC叉乘BP,CA叉乘CP;忽略给定三角形顺序。如果都为正值或都为负值,那么P点在三角形ABC的内部

矩阵

矩阵指的是常用于transform计算的二维数组

image.png

image.png

矩阵乘积

首先左侧矩阵的列数等于右侧矩阵的行数,才可以乘。最终结果为左侧的行数和右侧的列数的矩阵。新矩阵的结果(i,j)等于左侧矩阵的i行和右侧举着你的j列点乘的结果。

image.png

矩阵乘法计算率

矩阵乘法没有任何交换律

image.png 矩阵乘法可以使用结合分配律 image.png

矩阵向量乘法

将向量看成一个列向量,例如(mx1)的矩阵,向量永远放在右侧,矩阵放在左侧即可。

image.png

上图展示了一个反转y轴的矩阵,用于求Y轴的镜像。

矩阵的转置

image.png

矩阵的逆

如果一个矩阵和另一个矩阵相乘,得到一个单位矩阵,那么这个矩阵称为矩阵的逆。A-1 image.png

矩阵来表示向量乘法

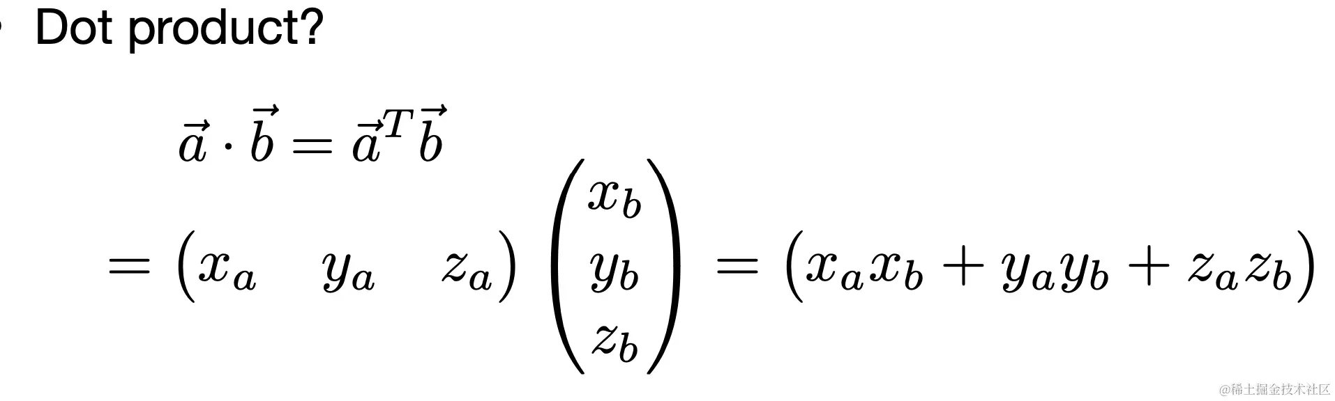
点乘

A和B点乘可以写成A-TB

image.png

叉乘

叉乘如下图所示,比较特殊,需要写成dual matrix的形式,然后再乘上b\vec{b}矩阵。 image.png