2024大厂前端高频面试题之-- 数据结构与算法篇

371 阅读36分钟

1.哈希

1.两数之和

给定一个整数数组 nums 和一个整数目标值 target,请你在该数组中找出 和为目标值 target 的那 两个 整数,并返回它们的数组下标。

你可以假设每种输入只会对应一个答案。但是,数组中同一个元素在答案里不能重复出现。

示例 1:

输入:nums = [2,7,11,15], target = 9

输出:[0,1]

解释:因为 nums[0] + nums[1] == 9 ,返回 [0, 1] 。

这是一个经典的两数之和问题,可以使用哈希表来解决。以下是一个JavaScript的实现:

function twoSum(nums, target) {
    let map = new Map();
    for (let i = 0; i < nums.length; i++) {
        let complement = target - nums[i];
        if (map.has(complement)) {
            return [map.get(complement), i];
        }
        map.set(nums[i], i);
    }
    return [];
}

在这个函数中,我们首先创建一个空的哈希表。然后,我们遍历输入数组的每个元素。对于每个元素,我们计算目标值与该元素的差(称为补数),然后检查哈希表中是否存在这个补数。如果存在,那么我们找到了两个和为目标值的数,返回它们的索引。如果不存在,我们将当前元素和它的索引添加到哈希表中。如果遍历完数组都没有找到两个和为目标值的数,我们返回一个空数组。

2.字母异位词分组

给你一个字符串数组,请你将 字母异位词 组合在一起。可以按任意顺序返回结果列表。

字母异位词 是由重新排列源单词的所有字母得到的一个新单词。

示例 1:

输入: strs = ["eat", "tea", "tan", "ate", "nat", "bat"]

输出: [["bat"],["nat","tan"],["ate","eat","tea"]]

这个问题可以通过使用哈希表来解决,将排序后的字符串作为键,原始字符串的列表作为值。以下是一个JavaScript的实现:

function groupAnagrams(strs) {
    let map = new Map();
    for (let str of strs) {
        let sorted = [...str].sort().join('');
        if (map.has(sorted)) {
            map.get(sorted).push(str);
        } else {
            map.set(sorted, [str]);
        }
    }
    return Array.from(map.values());
}

在这个函数中,我们首先创建一个空的哈希表。然后,我们遍历输入数组的每个字符串。对于每个字符串,我们将其字符排序并连接成一个新的字符串,然后检查哈希表中是否存在这个排序后的字符串。如果存在,我们将原始字符串添加到对应的列表中。如果不存在,我们在哈希表中添加一个新的条目,键是排序后的字符串,值是一个包含原始字符串的新列表。最后,我们返回哈希表中所有值的列表,这就是所有的字母异位词组。

3.最长连续序列

给定一个未排序的整数数组 nums ,找出数字连续的最长序列(不要求序列元素在原数组中连续)的长度。

请你设计并实现时间复杂度为 O(n) 的算法解决此问题。

示例 1:

输入:nums = [100,4,200,1,3,2]

输出:4

解释:最长数字连续序列是 [1, 2, 3, 4]。它的长度为 4。

示例 2:

输入:nums = [0,3,7,2,5,8,4,6,0,1]

输出:9

提示:

0 <= nums.length <= 105

-109 <= nums[i] <= 109

这个问题可以通过使用哈希表来解决,哈希表中存储每个元素以及它所在的连续序列的长度。以下是一个JavaScript的实现:

function longestConsecutive(nums) {
    let numSet = new Set(nums);
    let longestStreak = 0;

    for (let num of numSet) {
        if (!numSet.has(num - 1)) {
            let currentNum = num;
            let currentStreak = 1;

            while (numSet.has(currentNum + 1)) {
                currentNum += 1;
                currentStreak += 1;
            }

            longestStreak = Math.max(longestStreak, currentStreak);
        }
    }

    return longestStreak;
}

在这个函数中,我们首先创建一个集合,包含输入数组中的所有元素。然后,我们遍历集合中的每个元素。对于每个元素,如果它的前一个元素不在集合中(也就是说,它是当前连续序列的第一个元素),我们就开始查找包含它的连续序列。我们通过不断地检查并增加当前元素,直到找不到下一个元素为止,同时我们也记录下当前连续序列的长度。最后,我们返回找到的最长连续序列的长度。

2.双指针

1.零移动

给定一个数组 nums,编写一个函数将所有 0 移动到数组的末尾,同时保持非零元素的相对顺序。

请注意 ,必须在不复制数组的情况下原地对数组进行操作。

示例 1:

输入: nums = [0,1,0,3,12]

输出: [1,3,12,0,0]

示例 2:

输入: nums = [0]

输出: [0]

这个问题可以通过使用双指针来解决,一个指针用于遍历数组,另一个指针用于指向下一个非零元素应该放置的位置。以下是一个JavaScript的实现:

function moveZeroes(nums) {
    let insertPos = 0;
    for (let i = 0; i < nums.length; i++) {
        if (nums[i] !== 0) {
            nums[insertPos++] = nums[i];
        }
    }
    while (insertPos < nums.length) {
        nums[insertPos++] = 0;
    }
}

在这个函数中,我们首先初始化一个指针insertPos为0,这个指针表示下一个非零元素应该放置的位置。然后,我们遍历数组,对于每个元素,如果它不是0,我们就将它放到insertPos指向的位置,然后将insertPos向前移动一位。这样,所有的非零元素都会被移到数组的前面,而且它们的相对顺序不会改变。最后,我们将insertPos之后的所有位置都填充为0,这样就完成了所有0的移动。

2.盛最多水的容器

给定一个长度为 n 的整数数组 height 。有 n 条垂线,第 i 条线的两个端点是 (i, 0) 和 (i, height[i]) 。

找出其中的两条线,使得它们与 x 轴共同构成的容器可以容纳最多的水。

返回容器可以储存的最大水量。

说明: 你不能倾斜容器。

示例 1:

输入:[1,8,6,2,5,4,8,3,7]
输出:49
解释:图中垂直线代表输入数组 [1,8,6,2,5,4,8,3,7]。在此情况下,容器能够容纳水(表示为蓝色部分)的最大值为 49。

示例 2:

输入:height = [1,1]
输出:1

这个问题可以通过使用双指针来解决,一个指针从数组的开始位置开始移动,另一个指针从数组的结束位置开始移动。以下是一个JavaScript的实现:

function maxArea(height) {
    let maxarea = 0, l = 0, r = height.length - 1;
    while (l < r) {
        maxarea = Math.max(maxarea, Math.min(height[l], height[r]) * (r - l));
        if (height[l] < height[r])
            l++;
        else
            r--;
    }
    return maxarea;
}

在这个函数中,我们首先初始化两个指针lr,分别指向数组的开始位置和结束位置,然后初始化最大面积maxarea为0。然后,我们进入一个循环,只要l小于r,我们就继续循环。在每次循环中,我们计算当前两条线构成的容器的面积,如果这个面积大于maxarea,我们就更新maxarea。然后,我们将较短的那条线向中间移动一位,因为移动较长的线不会增加容器的面积,而移动较短的线可能会增加容器的面积。最后,我们返回maxarea,这就是容器可以储存的最大水量。

3.三数之和

给你一个整数数组 nums ,判断是否存在三元组 [nums[i], nums[j], nums[k]] 满足 i != j、i != k 且 j != k ,同时还满足 nums[i] + nums[j] + nums[k] == 0 。请

你返回所有和为 0 且不重复的三元组。

注意: 答案中不可以包含重复的三元组。

示例 1:

输入:nums = [-1,0,1,2,-1,-4]
输出:[[-1,-1,2],[-1,0,1]]
解释:
nums[0] + nums[1] + nums[2] = (-1) + 0 + 1 = 0 。
nums[1] + nums[2] + nums[4] = 0 + 1 + (-1) = 0 。
nums[0] + nums[3] + nums[4] = (-1) + 2 + (-1) = 0 。
不同的三元组是 [-1,0,1] 和 [-1,-1,2] 。
注意,输出的顺序和三元组的顺序并不重要。

示例 2:

输入:nums = [0,1,1]
输出:[]
解释:唯一可能的三元组和不为 0 。

示例 3:

输入:nums = [0,0,0]
输出:[[0,0,0]]
解释:唯一可能的三元组和为 0 。

这个问题可以通过使用排序和双指针来解决。以下是一个JavaScript的实现:

function threeSum(nums) {
    nums.sort((a, b) => a - b);
    let result = [];
    for (let i = 0; i < nums.length - 2; i++) {
        if (i > 0 && nums[i] === nums[i - 1]) continue;
        let j = i + 1, k = nums.length - 1;
        while (j < k) {
            let sum = nums[i] + nums[j] + nums[k];
            if (sum === 0) {
                result.push([nums[i], nums[j], nums[k]]);
                while (nums[j] === nums[j + 1]) j++;
                while (nums[k] === nums[k - 1]) k--;
                j++;
                k--;
            } else if (sum < 0) {
                j++;
            } else {
                k--;
            }
        }
    }
    return result;
}

在这个函数中,我们首先对数组进行排序。然后,我们遍历数组,对于每个元素,我们使用两个指针,一个指向它后面的元素,另一个指向数组的最后一个元素。然后,我们在两个指针之间查找两个数,使得这三个数的和为0。如果找到了,我们就将这三个数添加到结果中,然后移动两个指针,跳过所有重复的元素。如果这三个数的和小于0,我们就将前面的指针向后移动一位。如果这三个数的和大于0,我们就将后面的指针向前移动一位。最后,我们返回结果,这就是所有和为0的三元组。

4.接雨水

给定 n 个非负整数表示每个宽度为 1 的柱子的高度图,计算按此排列的柱子,下雨之后能接多少雨水。

示例 1:

输入:height = [0,1,0,2,1,0,1,3,2,1,2,1]
输出:6
解释:上面是由数组 [0,1,0,2,1,0,1,3,2,1,2,1] 表示的高度图,在这种情况下,可以接 6 个单位的雨水(蓝色部分表示雨水)。

示例 2:

输入:height = [4,2,0,3,2,5]
输出:9

这个问题可以使用双指针的方法来解决。以下是一个JavaScript的实现:

function trap(height) {
    let left = 0, right = height.length - 1;
    let maxLeft = 0, maxRight = 0;
    let ans = 0;

    while (left < right) {
        if (height[left] < height[right]) {
            height[left] >= maxLeft ? (maxLeft = height[left]) : ans += (maxLeft - height[left]);
            ++left;
        }
        else {
            height[right] >= maxRight ? (maxRight = height[right]) : ans += (maxRight - height[right]);
            --right;
        }
    }
    return ans;
}

在这个函数中,我们首先初始化两个指针,一个在数组的开始,一个在数组的结束。然后,我们初始化两个变量,分别表示从左边和右边看到的最高的柱子。然后,我们在两个指针相遇之前,不断地移动指针。如果左边的柱子比右边的柱子低,我们就移动左边的指针,并更新左边的最高柱子。然后,我们将左边的最高柱子减去当前柱子的高度,就得到了这个位置可以接的雨水。如果右边的柱子比左边的柱子低,我们就做相反的操作。最后,我们返回接到的雨水的总量。

3.滑动窗口

1.无重复字符的最长字串

给定一个字符串 s ,请你找出其中不含有重复字符的 最长 子串 ****的长度。

示例 1:

输入: s = "abcabcbb"
输出: 3
解释: 因为无重复字符的最长子串是 "abc",所以其长度为 3。

示例 2:

输入: s = "bbbbb"
输出: 1
解释: 因为无重复字符的最长子串是 "b",所以其长度为 1。

示例 3:

输入: s = "pwwkew"
输出: 3
解释: 因为无重复字符的最长子串是 "wke",所以其长度为 3。
请注意,你的答案必须是 子串 的长度,"pwke" 是一个子序列,不是子串。

这个问题可以使用滑动窗口的方法来解决。以下是一个JavaScript的实现:

function lengthOfLongestSubstring(s) {
    let n = s.length;
    let ans = 0;
    let map = new Map(); // current index of character
    // try to extend the range [i, j]
    for (let j = 0, i = 0; j < n; j++) {
        if (map.has(s.charAt(j))) {
            i = Math.max(map.get(s.charAt(j)), i);
        }
        ans = Math.max(ans, j - i + 1);
        map.set(s.charAt(j), j + 1);
    }
    return ans;
}

在这个函数中,我们使用一个Map来存储每个字符最后出现的位置。然后,我们使用两个指针表示字符串中的一段子串。我们不断地移动右指针,如果右指针指向的字符在Map中,我们就更新左指针的位置。然后,我们更新最长子串的长度。最后,我们返回最长子串的长度。

2.找到字符串中所有字母异位词

给定两个字符串 s 和 p,找到 s ****中所有 p ****的 异位词 的子串,返回这些子串的起始索引。不考虑答案输出的顺序。

异位词 指由相同字母重排列形成的字符串(包括相同的字符串)。

示例 1:

输入: s = "cbaebabacd", p = "abc"
输出: [0,6]
解释:
起始索引等于 0 的子串是 "cba", 它是 "abc" 的异位词。
起始索引等于 6 的子串是 "bac", 它是 "abc" 的异位词。

示例 2:

输入: s = "abab", p = "ab"
输出: [0,1,2]
解释:
起始索引等于 0 的子串是 "ab", 它是 "ab" 的异位词。
起始索引等于 1 的子串是 "ba", 它是 "ab" 的异位词。
起始索引等于 2 的子串是 "ab", 它是 "ab" 的异位词。

这个问题可以使用滑动窗口的方法来解决。以下是一个JavaScript的实现:

function findAnagrams(s, p) {
    let res = [];
    let left = 0, right = 0;
    let needs = {}, window = {};
    let match = 0;

    for (let i = 0; i < p.length; i++) {
        needs[p[i]] ? needs[p[i]]++ : needs[p[i]] = 1;
    }

    let needsLen = Object.keys(needs).length;

    while (right < s.length) {
        let c1 = s[right];
        if (needs[c1]) {
            window[c1] ? window[c1]++ : window[c1] = 1;
            if (window[c1] === needs[c1]) {
                match++;
            }
        }
        right++;

        while (match === needsLen) {
            if (right - left === p.length) {
                res.push(left);
            }
            let c2 = s[left];
            if (needs[c2]) {
                window[c2]--;
                if (window[c2] < needs[c2]) {
                    match--;
                }
            }
            left++;
        }
    }
    return res;
}

在这个函数中,我们首先初始化一个滑动窗口和两个哈希表,一个用于记录p中的字符和出现的次数,一个用于记录当前窗口中的字符和出现的次数。然后,我们不断地移动右指针,如果右指针指向的字符在p中,我们就更新窗口中的记录。如果窗口中的某个字符的出现次数和p中的相同,我们就更新匹配的字符数。当匹配的字符数和p中的字符种类数相同,我们就找到了一个异位词。然后,我们就可以开始移动左指针,缩小窗口。最后,我们返回所有找到的异位词的起始位置。

4.子串

1.和为k的子数组

给你一个整数数组 nums 和一个整数 k ,请你统计并返回 该数组中和为 k ******的子数组的个数

子数组是数组中元素的连续非空序列。

示例 1:

输入:nums = [1,1,1], k = 2
输出:2

示例 2:

输入:nums = [1,2,3], k = 3
输出:2

这个问题可以使用哈希表来解决。以下是一个JavaScript的实现:

function subarraySum(nums, k) {
    let count = 0, sum = 0;
    let map = new Map();
    map.set(0, 1);  // sum0的子数组有一个(空数组)

    for (let i = 0; i < nums.length; i++) {
        sum += nums[i];
        if (map.has(sum - k)) {
            count += map.get(sum - k);
        }
        map.set(sum, (map.get(sum) || 0) + 1);
    }

    return count;
}

在这个函数中,我们首先初始化一个哈希表,用于记录前缀和以及对应的个数。然后,我们遍历数组,不断地更新前缀和。如果当前的前缀和减去k在哈希表中,我们就找到了一个和为k的子数组。然后,我们更新哈希表中前缀和的个数。最后,我们返回找到的和为k的子数组的个数。

2.滑动窗口的最大值

给你一个整数数组 nums,有一个大小为 k 的滑动窗口从数组的最左侧移动到数组的最右侧。你只可以看到在滑动窗口内的 k 个数字。滑动窗口每次只向右移动一位。

返回 滑动窗口中的最大值 。

示例 1:

输入:nums = [1,3,-1,-3,5,3,6,7], k = 3

输出:[3,3,5,5,6,7]

解释:

滑动窗口的位置 最大值


[1 3 -1] -3 5 3 6 7 3

1 [3 -1 -3] 5 3 6 7 3

1 3 [-1 -3 5] 3 6 7 5

1 3 -1 [-3 5 3] 6 7 5

1 3 -1 -3 [5 3 6] 7 6

1 3 -1 -3 5 [3 6 7] 7

示例 2:

输入:nums = [1], k = 1

输出:[1]

这个问题可以使用双端队列来解决。以下是一个JavaScript的实现:

function maxSlidingWindow(nums, k) {
    let deque = [];  // store indices
    let result = [];

    for (let i = 0; i < nums.length; i++) {
        while (deque.length && nums[deque[deque.length - 1]] < nums[i]) {
            deque.pop();
        }
        deque.push(i);
        if (deque[0] === i - k) {
            deque.shift();
        }
        if (i >= k - 1) {
            result.push(nums[deque[0]]);
        }
    }

    return result;
}

在这个函数中,我们首先初始化一个双端队列和一个结果数组。然后,我们遍历数组,对于每个元素,我们首先从队列的后面删除所有小于当前元素的元素,然后将当前元素的索引加入队列。如果队列的第一个元素是滑动窗口之外的元素,我们就将其删除。如果我们已经遍历了k个元素,我们就将队列的第一个元素加入结果数组。最后,我们返回结果数组。

3.最小覆盖子串

给你一个字符串 s 、一个字符串 t 。返回 s 中涵盖 t 所有字符的最小子串。如果 s 中不存在涵盖 t 所有字符的子串,则返回空字符串 "" 。

注意:

  • 对于 t 中重复字符,我们寻找的子字符串中该字符数量必须不少于 t 中该字符数量。
  • 如果 s 中存在这样的子串,我们保证它是唯一的答案。

示例 1:

输入:s = "ADOBECODEBANC", t = "ABC"
输出:"BANC"
解释:最小覆盖子串 "BANC" 包含来自字符串 t 的 'A'、'B' 和 'C'。

示例 2:

输入:s = "a", t = "a"
输出:"a"
解释:整个字符串 s 是最小覆盖子串。

示例 3:

输入: s = "a", t = "aa"
输出: ""
解释: t 中两个字符 'a' 均应包含在 s 的子串中,
因此没有符合条件的子字符串,返回空字符串。

这个问题可以使用滑动窗口的方法来解决。以下是一个JavaScript的实现:

function minWindow(s, t) {
    let minLen = Infinity;
    let start = 0;
    let map = {};
    let missingType = 0;
    for (let i = 0; i < t.length; i++) {
        if (!map[t[i]]) {
            missingType++;
            map[t[i]] = 1;
        } else {
            map[t[i]]++;
        }
    }

    let l = 0, r = 0;
    for (; r < s.length; r++) {
        let rightChar = s[r];
        if (map[rightChar] !== undefined) map[rightChar]--;
        if (map[rightChar] === 0) missingType--;

        while (missingType === 0) {
            if (r - l + 1 < minLen) {
                minLen = r - l + 1;
                start = l;
            }
            let leftChar = s[l];
            if (map[leftChar] !== undefined) map[leftChar]++;
            if (map[leftChar] > 0) missingType++;
            l++;
        }
    }

    if (minLen === Infinity) return "";
    return s.substring(start, start + minLen);
}

在这个函数中,我们首先初始化一个哈希表,用于记录t中的字符和出现的次数。然后,我们使用两个指针表示字符串中的一段子串。我们不断地移动右指针,如果右指针指向的字符在t中,我们就更新哈希表中的记录。如果哈希表中的某个字符的出现次数为0,我们就找到了一个包含t的子串。然后,我们就可以开始移动左指针,缩小子串。最后,我们返回最小的包含t的子串。

5.普通数组

1.最大子数组和

给你一个整数数组 nums ,请你找出一个具有最大和的连续子数组(子数组最少包含一个元素),返回其最大和。

子数组是数组中的一个连续部分。

示例 1:

输入:nums = [-2,1,-3,4,-1,2,1,-5,4]
输出:6
解释:连续子数组 [4,-1,2,1] 的和最大,为 6 。

示例 2:

输入:nums = [1]
输出:1

示例 3:

输入:nums = [5,4,-1,7,8]
输出:23

/**
 * @param {number[]} nums
 * @return {number}
 */
var maxSubArray = function(nums) {
    let dp = Array(nums.length);
    dp[0] = nums[0];
    let max = dp[0];

    for (let i = 1; i < nums.length; i++) {
        dp[i] = nums[i] + (dp[i - 1] > 0 ? dp[i - 1] : 0);
        max = Math.max(max, dp[i]);
    }

    return max;
};

2.合并区间

以数组 intervals 表示若干个区间的集合,其中单个区间为 intervals[i] = [starti, endi] 。请你合并所有重叠的区间,并返回 一个不重叠的区间数组,该数组需恰好覆盖输入中的所有区间

示例 1:

输入:intervals = [[1,3],[2,6],[8,10],[15,18]]
输出:[[1,6],[8,10],[15,18]]
解释:区间 [1,3] 和 [2,6] 重叠, 将它们合并为 [1,6].

示例 2:

输入:intervals = [[1,4],[4,5]]
输出:[[1,5]]
解释:区间 [1,4] 和 [4,5] 可被视为重叠区间。

/**
 * @param {number[][]} intervals
 * @return {number[][]}
 */
var merge = function(intervals) {
    if (!intervals.length) return intervals;
    intervals.sort((a, b) => a[0] - b[0]);
    let prev = intervals[0];
    let res = [prev];
    for (let curr of intervals) {
        if (curr[0] <= prev[1]) {
            prev[1] = Math.max(prev[1], curr[1]);
        } else {
            res.push(curr);
            prev = curr;
        }
    }
    return res;
};

3.轮转数组

给定一个整数数组 nums,将数组中的元素向右轮转 k **个位置,其中 k **是非负数。

示例 1:

输入: nums = [1,2,3,4,5,6,7], k = 3
输出: [5,6,7,1,2,3,4]
解释:
向右轮转 1 步: [7,1,2,3,4,5,6]
向右轮转 2 步: [6,7,1,2,3,4,5]
向右轮转 3 步: [5,6,7,1,2,3,4]

示例 2:

输入:nums = [-1,-100,3,99], k = 2
输出:[3,99,-1,-100]
解释:
向右轮转 1 步: [99,-1,-100,3]
向右轮转 2 步: [3,99,-1,-100]

/**
 * @param {number[]} nums
 * @param {number} k
 * @return {void} Do not return anything, modify nums in-place instead.
 */
var rotate = function(nums, k) {
    k = k % nums.length;
    reverse(nums, 0, nums.length - 1);
    reverse(nums, 0, k - 1);
    reverse(nums, k, nums.length - 1);
};
function reverse(nums, start, end) {
    while (start < end) {
        let temp = nums[start];
        nums[start] = nums[end];
        nums[end] = temp;
        start++;
        end--;
    }
}

4.除自身以外数组的乘积

给你一个整数数组 nums,返回 数组 answer ,其中 answer[i] 等于 nums 中除 nums[i] 之外其余各元素的乘积

题目数据 保证 数组 nums之中任意元素的全部前缀元素和后缀的乘积都在 32 位 整数范围内。

不要使用除法, 且在 O(n) 时间复杂度内完成此题。

示例 1:

输入: nums = [1,2,3,4]
输出: [24,12,8,6]

示例 2:

输入: nums = [-1,1,0,-3,3]
输出: [0,0,9,0,0]

/**
 * @param {number[]} nums
 * @return {number[]}
 */
var productExceptSelf = function(nums) {
    let length = nums.length;
    let answer = Array(length);

    answer[0] = 1;
    for (let i = 1; i < length; i++) {
        answer[i] = nums[i - 1] * answer[i - 1];
    }

    let R = 1;
    for (let i = length - 1; i >= 0; i--) {
        answer[i] = answer[i] * R;
        R *= nums[i];
    }

    return answer;
};

5.缺失的第一个正数

给你一个未排序的整数数组 nums ,请你找出其中没有出现的最小的正整数。

请你实现时间复杂度为 O(n) 并且只使用常数级别额外空间的解决方案。

示例 1:

输入:nums = [1,2,0]
输出:3
解释:范围 [1,2] 中的数字都在数组中。

示例 2:

输入:nums = [3,4,-1,1]
输出:2
解释:1 在数组中,但 2 没有。

示例 3:

输入:nums = [7,8,9,11,12]
输出:1
解释:最小的正数 1 没有出现。

/**
 * @param {number[]} nums
 * @return {number}
 */
var firstMissingPositive = function(nums) {
    let n = nums.length;

    for (let i = 0; i < n; i++) {
        while (nums[i] > 0 && nums[i] <= n && nums[nums[i] - 1] != nums[i]) {
            [nums[nums[i] - 1], nums[i]] = [nums[i], nums[nums[i] - 1]];
        }
    }

    for (let i = 0; i < n; i++) {
        if (nums[i] != i + 1) {
            return i + 1;
        }
    }

    return n + 1;
};

6.矩阵

1.矩阵置零

给定一个 m x n 的矩阵,如果一个元素为 0 ,则将其所在行和列的所有元素都设为 0 。请使用 原地 算法

示例 1:

输入:matrix = [[1,1,1],[1,0,1],[1,1,1]]
输出:[[1,0,1],[0,0,0],[1,0,1]]

示例 2:

输入:matrix = [[0,1,2,0],[3,4,5,2],[1,3,1,5]]
输出:[[0,0,0,0],[0,4,5,0],[0,3,1,0]]

/**
 * @param {number[][]} matrix
 * @return {void} Do not return anything, modify matrix in-place instead.
 */
var setZeroes = function(matrix) {
    let m = matrix.length, n = matrix[0].length;
    let flagCol0 = false, flagRow0 = false;

    for (let i = 0; i < m; i++) {
        if (matrix[i][0] == 0) {
            flagCol0 = true;
        }
    }

    for (let j = 0; j < n; j++) {
        if (matrix[0][j] == 0) {
            flagRow0 = true;
        }
    }

    for (let i = 1; i < m; i++) {
        for (let j = 1; j < n; j++) {
            if (matrix[i][j] == 0) {
                matrix[i][0] = matrix[0][j] = 0;
            }
        }
    }

    for (let i = 1; i < m; i++) {
        for (let j = 1; j < n; j++) {
            if (matrix[i][0] == 0 || matrix[0][j] == 0) {
                matrix[i][j] = 0;
            }
        }
    }

    if (flagCol0) {
        for (let i = 0; i < m; i++) {
            matrix[i][0] = 0;
        }
    }

    if (flagRow0) {
        for (let j = 0; j < n; j++) {
            matrix[0][j] = 0;
        }
    }
};

2.螺旋矩阵

给你一个 m 行 n 列的矩阵 matrix ,请按照 顺时针螺旋顺序 ,返回矩阵中的所有元素。

示例 1:

输入:matrix = [[1,2,3],[4,5,6],[7,8,9]]
输出:[1,2,3,6,9,8,7,4,5]

示例 2:

输入:matrix = [[1,2,3,4],[5,6,7,8],[9,10,11,12]]
输出:[1,2,3,4,8,12,11,10,9,5,6,7]

/**
 * @param {number[][]} matrix
 * @return {number[]}
 */
var spiralOrder = function(matrix) {
    if (!matrix.length || !matrix[0].length) {
        return [];
    }

    const rows = matrix.length, columns = matrix[0].length;
    const visited = Array.from(new Array(rows), () => new Array(columns).fill(false));
    const total = rows * columns;
    const order = new Array(total).fill(0);

    let directionIndex = 0, row = 0, column = 0;
    const directions = [[0, 1], [1, 0], [0, -1], [-1, 0]]; // 右下左上

    for (let i = 0; i < total; i++) {
        order[i] = matrix[row][column];
        visited[row][column] = true;
        const nextRow = row + directions[directionIndex][0], nextColumn = column + directions[directionIndex][1];
        if (!(0 <= nextRow && nextRow < rows && 0 <= nextColumn && nextColumn < columns && !(visited[nextRow][nextColumn]))) {
            directionIndex = (directionIndex + 1) % 4;
        }
        row += directions[directionIndex][0];
        column += directions[directionIndex][1];
    }
    return order;
};

3.旋转图像

给定一个 n × n 的二维矩阵 matrix 表示一个图像。请你将图像顺时针旋转 90 度。

你必须在原地 旋转图像,这意味着你需要直接修改输入的二维矩阵。请不要 ****使用另一个矩阵来旋转图像。

示例 1:

输入:matrix = [[1,2,3],[4,5,6],[7,8,9]]
输出:[[7,4,1],[8,5,2],[9,6,3]]

示例 2:

输入:matrix = [[5,1,9,11],[2,4,8,10],[13,3,6,7],[15,14,12,16]]
输出:[[15,13,2,5],[14,3,4,1],[12,6,8,9],[16,7,10,11]]

/**
 * @param {number[][]} matrix
 * @return {void} Do not return anything, modify matrix in-place instead.
 */
var rotate = function(matrix) {
    const n = matrix.length;
    for (let i = 0; i < n; i++) {
        for (let j = i; j < n; j++) {
            [matrix[i][j], matrix[j][i]] = [matrix[j][i], matrix[i][j]];
        }
    }
    for (let i = 0; i < n; i++) {
        matrix[i].reverse();
    }
};

4.搜索二维矩阵 II

编写一个高效的算法来搜索 m x n 矩阵 matrix 中的一个目标值 target 。该矩阵具有以下特性:

  • 每行的元素从左到右升序排列。
  • 每列的元素从上到下升序排列。

示例 1:

输入:matrix = [[1,4,7,11,15],[2,5,8,12,19],[3,6,9,16,22],[10,13,14,17,24],[18,21,23,26,30]], target = 5
输出:true

示例 2:

输入:matrix = [[1,4,7,11,15],[2,5,8,12,19],[3,6,9,16,22],[10,13,14,17,24],[18,21,23,26,30]], target = 20
输出:false

/**
 * @param {number[][]} matrix
 * @param {number} target
 * @return {boolean}
 */
var searchMatrix = function(matrix, target) {
    if (matrix == null || matrix.length == 0 || matrix[0].length == 0) {
        return false;
    }
    let row = 0;
    let col = matrix[0].length - 1;
    while (row < matrix.length && col >= 0) {
        if (matrix[row][col] == target) {
            return true;
        } else if (matrix[row][col] > target) {
            col--;
        } else {
            row++;
        }
    }
    return false;
};

7.链表

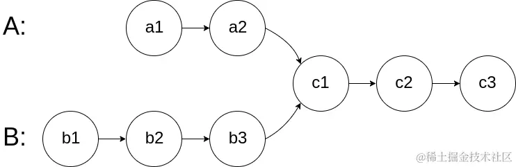
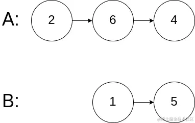
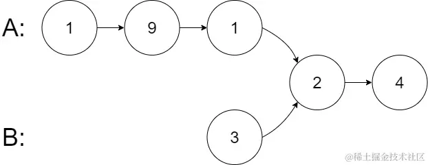
1.相交链表

给你两个单链表的头节点 headA 和 headB ,请你找出并返回两个单链表相交的起始节点。如果两个链表不存在相交节点,返回 null 。

图示两个链表在节点 c1 开始相交

题目数据 保证 整个链式结构中不存在环。

注意,函数返回结果后,链表必须 保持其原始结构

自定义评测:

评测系统 的输入如下(你设计的程序 不适用 此输入):

  • intersectVal - 相交的起始节点的值。如果不存在相交节点,这一值为 0
  • listA - 第一个链表
  • listB - 第二个链表
  • skipA - 在 listA 中(从头节点开始)跳到交叉节点的节点数
  • skipB - 在 listB 中(从头节点开始)跳到交叉节点的节点数

评测系统将根据这些输入创建链式数据结构,并将两个头节点 headA 和 headB 传递给你的程序。如果程序能够正确返回相交节点,那么你的解决方案将被 视作正确答案

示例 1:

输入:intersectVal = 8, listA = [4,1,8,4,5], listB = [5,6,1,8,4,5], skipA = 2, skipB = 3
输出:Intersected at '8'
解释:相交节点的值为 8 (注意,如果两个链表相交则不能为 0)。
从各自的表头开始算起,链表 A 为 [4,1,8,4,5],链表 B 为 [5,6,1,8,4,5]。
在 A 中,相交节点前有 2 个节点;在 B 中,相交节点前有 3 个节点。
— 请注意相交节点的值不为 1,因为在链表 A 和链表 B 之中值为 1 的节点 (A 中第二个节点和 B 中第三个节点) 是不同的节点。换句话说,它们在内存中指向两个不同的位置,而链表 A 和链表 B 中值为 8 的节点 (A 中第三个节点,B 中第四个节点) 在内存中指向相同的位置。

示例 2:

输入:intersectVal = 2, listA = [1,9,1,2,4], listB = [3,2,4], skipA = 3, skipB = 1
输出:Intersected at '2'
解释:相交节点的值为 2 (注意,如果两个链表相交则不能为 0)。
从各自的表头开始算起,链表 A 为 [1,9,1,2,4],链表 B 为 [3,2,4]。
在 A 中,相交节点前有 3 个节点;在 B 中,相交节点前有 1 个节点。

示例 3:

输入:intersectVal = 0, listA = [2,6,4], listB = [1,5], skipA = 3, skipB = 2
输出:null
解释:从各自的表头开始算起,链表 A 为 [2,6,4],链表 B 为 [1,5]。
由于这两个链表不相交,所以 intersectVal 必须为 0,而 skipA 和 skipB 可以是任意值。
这两个链表不相交,因此返回 null 。

/**
 * Definition for singly-linked list.
 * function ListNode(val) {
 *     this.val = val;
 *     this.next = null;
 * }
 */

/**
 * @param {ListNode} headA
 * @param {ListNode} headB
 * @return {ListNode}
 */
var getIntersectionNode = function(headA, headB) {
    if (headA === null || headB === null) {
        return null;
    }

    let pA = headA, pB = headB;

    while (pA !== pB) {
        pA = pA === null ? headB : pA.next;
        pB = pB === null ? headA : pB.next;
    }

    return pA;
};

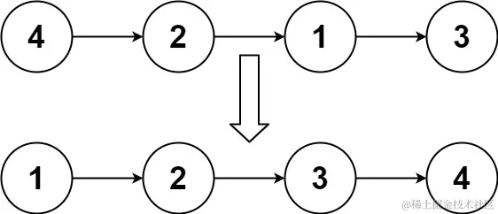
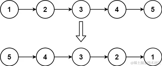
2.反转链表

给你单链表的头节点 head ,请你反转链表,并返回反转后的链表。

示例 1:

输入:head = [1,2,3,4,5]
输出:[5,4,3,2,1]

示例 2:

输入:head = [1,2]
输出:[2,1]

示例 3:

输入:head = []
输出:[]

/**
 * Definition for singly-linked list.
 * function ListNode(val, next) {
 *     this.val = (val===undefined ? 0 : val)
 *     this.next = (next===undefined ? null : next)
 * }
 */
/**
 * @param {ListNode} head
 * @return {ListNode}
 */
var reverseList = function(head) {
    let prev = null;
    let curr = head;
    while (curr !== null) {
        let nextTemp = curr.next;
        curr.next = prev;
        prev = curr;
        curr = nextTemp;
    }
    return prev;
};

3.回文链表

给你一个单链表的头节点 head ,请你判断该链表是否为回文链表。如果是,返回 true ;否则,返回 false 。

示例 1:

输入:head = [1,2,2,1]
输出:true

示例 2:

输入:head = [1,2]
输出:false

/**
 * Definition for singly-linked list.
 * function ListNode(val, next) {
 *     this.val = (val===undefined ? 0 : val)
 *     this.next = (next===undefined ? null : next)
 * }
 */
/**
 * @param {ListNode} head
 * @return {boolean}
 */
var isPalindrome = function(head) {
    if (head === null) {
        return true;
    }

    // Find the end of first half and reverse second half.
    let firstHalfEnd = endOfFirstHalf(head);
    let secondHalfStart = reverseList(firstHalfEnd.next);

    // Check whether or not there is a palindrome.
    let p1 = head;
    let p2 = secondHalfStart;
    let result = true;
    while (result && p2 !== null) {
        if (p1.val !== p2.val) result = false;
        p1 = p1.next;
        p2 = p2.next;
    }

    // Restore the list and return the result.
    firstHalfEnd.next = reverseList(secondHalfStart);
    return result;
};

function endOfFirstHalf(head) {
    let fast = head;
    let slow = head;
    while (fast.next !== null && fast.next.next !== null) {
        fast = fast.next.next;
        slow = slow.next;
    }
    return slow;
}

function reverseList(head) {
    let prev = null;
    let curr = head;
    while (curr !== null) {
        let nextTemp = curr.next;
        curr.next = prev;
        prev = curr;
        curr = nextTemp;
    }
    return prev;
}

4.环形链表

给你一个链表的头节点 head ,判断链表中是否有环。

如果链表中有某个节点,可以通过连续跟踪 next 指针再次到达,则链表中存在环。 为了表示给定链表中的环,评测系统内部使用整数 pos 来表示链表尾连接到链表中的位置(索引从 0 开始)。注意: pos ****不作为参数进行传递 。仅仅是为了标识链表的实际情况。

如果链表中存在环 ,则返回 true 。 否则,返回 false 。

示例 1:

输入:head = [3,2,0,-4], pos = 1
输出:true
解释:链表中有一个环,其尾部连接到第二个节点。

示例 2:

输入:head = [1,2], pos = 0
输出:true
解释:链表中有一个环,其尾部连接到第一个节点。

示例 3:

输入:head = [1], pos = -1
输出:false
解释:链表中没有环。

/**
 * Definition for singly-linked list.
 * function ListNode(val) {
 *     this.val = val;
 *     this.next = null;
 * }
 */

/**
 * @param {ListNode} head
 * @return {boolean}
 */
var hasCycle = function(head) {
    if (head === null || head.next === null) {
        return false;
    }

    let slow = head;
    let fast = head.next;

    while (slow !== fast) {
        if (fast === null || fast.next === null) {
            return false;
        }
        slow = slow.next;
        fast = fast.next.next;
    }

    return true;
};

5.环形链表 II

给定一个链表的头节点 head ,返回链表开始入环的第一个节点。 如果链表无环,则返回 null

如果链表中有某个节点,可以通过连续跟踪 next 指针再次到达,则链表中存在环。 为了表示给定链表中的环,评测系统内部使用整数 pos 来表示链表尾连接到链表中的位置(索引从 0 开始)。如果 pos 是 -1,则在该链表中没有环。注意: pos ****不作为参数进行传递,仅仅是为了标识链表的实际情况。

不允许修改 ****链表。

示例 1:

输入:head = [3,2,0,-4], pos = 1
输出:返回索引为 1 的链表节点
解释:链表中有一个环,其尾部连接到第二个节点。

示例 2:

输入:head = [1,2], pos = 0
输出:返回索引为 0 的链表节点
解释:链表中有一个环,其尾部连接到第一个节点。

示例 3:

输入:head = [1], pos = -1
输出:返回 null
解释:链表中没有环。

/**
 * Definition for singly-linked list.
 * function ListNode(val) {
 *     this.val = val;
 *     this.next = null;
 * }
 */

/**
 * @param {ListNode} head
 * @return {ListNode}
 */
var detectCycle = function(head) {
  if (head === null || head.next === null) {
    return null;
  }

  let slow = head;
  let fast = head;

  while (fast !== null && fast.next !== null) {
    slow = slow.next;
    fast = fast.next.next;
    if (slow === fast) {
      let ptr = head;
      while (ptr !== slow) {
        ptr = ptr.next;
        slow = slow.next;
      }
      return ptr;
    }
  }

  return null;
};

6.合并两个有序链表

将两个升序链表合并为一个新的 升序 链表并返回。新链表是通过拼接给定的两个链表的所有节点组成的。

示例 1:

输入:l1 = [1,2,4], l2 = [1,3,4]
输出:[1,1,2,3,4,4]

示例 2:

输入:l1 = [], l2 = []
输出:[]

示例 3:

输入:l1 = [], l2 = [0]
输出:[0]

/**
 * Definition for singly-linked list.
 * function ListNode(val, next) {
 *     this.val = (val===undefined ? 0 : val)
 *     this.next = (next===undefined ? null : next)
 * }
 */
/**
 * @param {ListNode} list1
 * @param {ListNode} list2
 * @return {ListNode}
 */
var mergeTwoLists = function(l1, l2) {
  let dummy = new ListNode(-1);
  let prev = dummy;

  while (l1 !== null && l2 !== null) {
    if (l1.val <= l2.val) {
      prev.next = l1;
      l1 = l1.next;
    } else {
      prev.next = l2;
      l2 = l2.next;
    }
    prev = prev.next;
  }

  prev.next = l1 === null ? l2 : l1;

  return dummy.next;
};

7.合并两个有序链表

将两个升序链表合并为一个新的 升序 链表并返回。新链表是通过拼接给定的两个链表的所有节点组成的。

示例 1:

输入:l1 = [1,2,4], l2 = [1,3,4]
输出:[1,1,2,3,4,4]

示例 2:

输入:l1 = [], l2 = []
输出:[]

示例 3:

输入:l1 = [], l2 = [0]
输出:[0]

/**
 * Definition for singly-linked list.
 * function ListNode(val, next) {
 *     this.val = (val===undefined ? 0 : val)
 *     this.next = (next===undefined ? null : next)
 * }
 */
/**
 * @param {ListNode} list1
 * @param {ListNode} list2
 * @return {ListNode}
 */
var mergeTwoLists = function(l1, l2) {
    let dummy = new ListNode(-1);
    let prev = dummy;

    while (l1 !== null && l2 !== null) {
        if (l1.val <= l2.val) {
            prev.next = l1;
            l1 = l1.next;
        } else {
            prev.next = l2;
            l2 = l2.next;
        }
        prev = prev.next;
    }

    prev.next = l1 === null ? l2 : l1;

    return dummy.next;
};

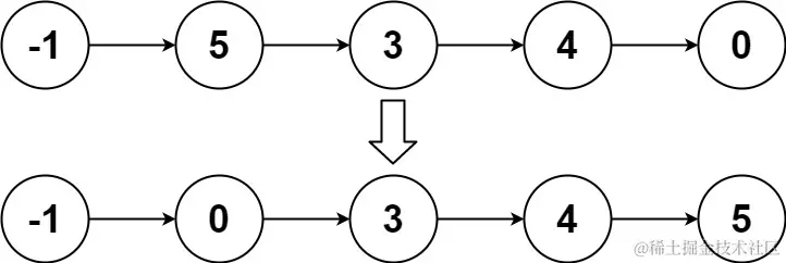
8.两数相加

给你两个 非空 的链表,表示两个非负的整数。它们每位数字都是按照 逆序 的方式存储的,并且每个节点只能存储 一位 数字。

请你将两个数相加,并以相同形式返回一个表示和的链表。

你可以假设除了数字 0 之外,这两个数都不会以 0 开头。

示例 1:

输入:l1 = [2,4,3], l2 = [5,6,4]
输出:[7,0,8]
解释:342 + 465 = 807.

示例 2:

输入:l1 = [0], l2 = [0]
输出:[0]

示例 3:

输入:l1 = [9,9,9,9,9,9,9], l2 = [9,9,9,9]
输出:[8,9,9,9,0,0,0,1]

/**
 * Definition for singly-linked list.
 * function ListNode(val, next) {
 *     this.val = (val===undefined ? 0 : val)
 *     this.next = (next===undefined ? null : next)
 * }
 */
/**
 * @param {ListNode} l1
 * @param {ListNode} l2
 * @return {ListNode}
 */
var addTwoNumbers = function(l1, l2) {
    let dummy = new ListNode(-1);
    let curr = dummy;
    let carry = 0;

    while (l1 !== null || l2 !== null) {
        let sum = carry;
        if (l1 !== null) {
            sum += l1.val;
            l1 = l1.next;
        }
        if (l2 !== null) {
            sum += l2.val;
            l2 = l2.next;
        }
        carry = Math.floor(sum / 10);
        curr.next = new ListNode(sum % 10);
        curr = curr.next;
    }

    if (carry > 0) {
        curr.next = new ListNode(carry);
    }

    return dummy.next;
};

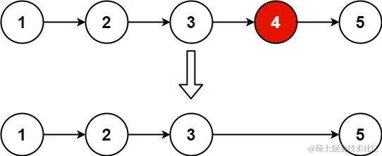
9.删除链表的倒数第 N 个结点

给你一个链表,删除链表的倒数第 n **个结点,并且返回链表的头结点。

示例 1:

输入:head = [1,2,3,4,5], n = 2
输出:[1,2,3,5]

示例 2:

输入:head = [1], n = 1
输出:[]

示例 3:

输入:head = [1,2], n = 1
输出:[1]

/**
 * Definition for singly-linked list.
 * function ListNode(val, next) {
 *     this.val = (val===undefined ? 0 : val)
 *     this.next = (next===undefined ? null : next)
 * }
 */
/**
 * @param {ListNode} head
 * @param {number} n
 * @return {ListNode}
 */
var removeNthFromEnd = function(head, n) {
    let dummy = new ListNode(0);
    dummy.next = head;
    let fast = dummy;
    let slow = dummy;

    for (let i = 1; i <= n + 1; i++) {
        fast = fast.next;
    }

    while (fast !== null) {
        fast = fast.next;
        slow = slow.next;
    }

    slow.next = slow.next.next;

    return dummy.next;
};

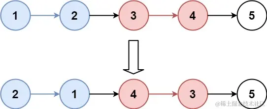
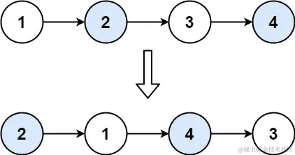
10.两两交换链表中的节点

给你一个链表,两两交换其中相邻的节点,并返回交换后链表的头节点。你必须在不修改节点内部的值的情况下完成本题(即,只能进行节点交换)。

示例 1:

输入:head = [1,2,3,4]
输出:[2,1,4,3]

示例 2:

输入:head = []
输出:[]

示例 3:

输入:head = [1]
输出:[1]

/**
 * Definition for singly-linked list.
 * function ListNode(val, next) {
 *     this.val = (val===undefined ? 0 : val)
 *     this.next = (next===undefined ? null : next)
 * }
 */
/**
 * @param {ListNode} head
 * @return {ListNode}
 */
var swapPairs = function(head) {
    let dummy = new ListNode(-1);
    dummy.next = head;
    let prevNode = dummy;

    while ((head !== null) && (head.next !== null)) {
        // Nodes to be swapped
        let firstNode = head;
        let secondNode = head.next;

        // Swapping
        prevNode.next = secondNode;
        firstNode.next = secondNode.next;
        secondNode.next = firstNode;

        // Reinitializing the head and prevNode for next swap
        prevNode = firstNode;
        head = firstNode.next; // jump 2 steps
    }

    // Return the new head node.
    return dummy.next;
};

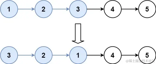
11.K 个一组翻转链表

给你链表的头节点 head ,每 k **个节点一组进行翻转,请你返回修改后的链表。

k 是一个正整数,它的值小于或等于链表的长度。如果节点总数不是 k **的整数倍,那么请将最后剩余的节点保持原有顺序。

你不能只是单纯的改变节点内部的值,而是需要实际进行节点交换。

示例 1:

输入:head = [1,2,3,4,5], k = 2
输出:[2,1,4,3,5]

示例 2:

输入:head = [1,2,3,4,5], k = 3
输出:[3,2,1,4,5]

/**
 * Definition for singly-linked list.
 * function ListNode(val, next) {
 *     this.val = (val===undefined ? 0 : val)
 *     this.next = (next===undefined ? null : next)
 * }
 */
/**
 * @param {ListNode} head
 * @param {number} k
 * @return {ListNode}
 */
function ListNode(val) {
    this.val = val;
    this.next = null;
}

function reverseKGroup(head, k) {
    let dummy = new ListNode(0);
    dummy.next = head;
    let pre = dummy;
    let end = dummy;

    while (end.next != null) {
        for (let i = 0; i < k && end != null; i++) end = end.next;
        if (end == null) break;
        let start = pre.next;
        let next = end.next;
        end.next = null;
        pre.next = reverse(start);
        start.next = next;
        pre = start;

        end = pre;
    }
    return dummy.next;
}

function reverse(head) {
    let pre = null;
    let curr = head;
    while (curr != null) {
        let next = curr.next;
        curr.next = pre;
        pre = curr;
        curr = next;
    }
    return pre;
}

12.随机链表的复制

给你一个长度为 n 的链表,每个节点包含一个额外增加的随机指针 random ,该指针可以指向链表中的任何节点或空节点。

构造这个链表的 深拷贝。 深拷贝应该正好由 n 个 全新 节点组成,其中每个新节点的值都设为其对应的原节点的值。新节点的 next 指针和 random 指针也都应指向复制链表中的新节点,并使原链表和复制链表中的这些指针能够表示相同的链表状态。复制链表中的指针都不应指向原链表中的节点 ****。

例如,如果原链表中有 X 和 Y 两个节点,其中 X.random --> Y 。那么在复制链表中对应的两个节点 x 和 y ,同样有 x.random --> y 。

返回复制链表的头节点。

用一个由 n 个节点组成的链表来表示输入/输出中的链表。每个节点用一个 [val, random_index] 表示:

  • val:一个表示 Node.val 的整数。
  • random_index:随机指针指向的节点索引(范围从 0 到 n-1);如果不指向任何节点,则为 null 。

你的代码 接受原链表的头节点 head 作为传入参数。

示例 1:

输入:head = [[7,null],[13,0],[11,4],[10,2],[1,0]]
输出:[[7,null],[13,0],[11,4],[10,2],[1,0]]

示例 2:

输入:head = [[1,1],[2,1]]
输出:[[1,1],[2,1]]

示例 3:

输入:head = [[3,null],[3,0],[3,null]]
输出:[[3,null],[3,0],[3,null]]

14.排序链表

给你链表的头结点 head ,请将其按 升序 排列并返回 排序后的链表

示例 1:

输入:head = [4,2,1,3]
输出:[1,2,3,4]

示例 2:

输入:head = [-1,5,3,4,0]
输出:[-1,0,3,4,5]

示例 3:

输入:head = []
输出:[]

/**
 * Definition for singly-linked list.
 * function ListNode(val, next) {
 *     this.val = (val===undefined ? 0 : val)
 *     this.next = (next===undefined ? null : next)
 * }
 */
/**
 * @param {ListNode} head
 * @return {ListNode}
 */
function ListNode(val) {
    this.val = val;
    this.next = null;
}

function sortList(head) {
    if (head === null || head.next === null) {
        return head;
    }

    let slow = head;
    let fast = head.next;

    while (fast !== null && fast.next !== null) {
        slow = slow.next;
        fast = fast.next.next;
    }

    let temp = slow.next;
    slow.next = null;

    let left = sortList(head);
    let right = sortList(temp);

    let h = new ListNode(0);
    let res = h;

    while (left !== null && right !== null) {
        if (left.val < right.val) {
            h.next = left;
            left = left.next;
        } else {
            h.next = right;
            right = right.next;
        }
        h = h.next;
    }
    h.next = left !== null ? left : right;

    return res.next;
}

15.合并 K 个升序链表

给你一个链表数组,每个链表都已经按升序排列。

请你将所有链表合并到一个升序链表中,返回合并后的链表。

示例 1:

输入:lists = [[1,4,5],[1,3,4],[2,6]]
输出:[1,1,2,3,4,4,5,6]
解释:链表数组如下:
[
1->4->5,
1->3->4,
2->6
]
将它们合并到一个有序链表中得到。
1->1->2->3->4->4->5->6

示例 2:

输入:lists = []
输出:[]

示例 3:

输入:lists = [[]]
输出:[]

/**
 * Definition for singly-linked list.
 * function ListNode(val, next) {
 *     this.val = (val===undefined ? 0 : val)
 *     this.next = (next===undefined ? null : next)
 * }
 */
/**
 * @param {ListNode[]} lists
 * @return {ListNode}
 */
class ListNode {
    constructor(val, next = null) {
        this.val = val;
        this.next = next;
    }
}

function mergeKLists(lists) {
    const dummy = new ListNode(0);
    let p = dummy;
    const head = [];

    for (let i = 0; i < lists.length; i++) {
        if (lists[i]) {
            head.push(lists[i]);
            lists[i] = lists[i].next;
        }
    }

    head.sort((a, b) => a.val - b.val);

    while (head.length) {
        const node = head.shift();
        p.next = node;
        p = p.next;

        if (node.next) {
            let index = head.findIndex((el) => el.val > node.next.val);
            if (index === -1) {
                head.push(node.next);
            } else {
                head.splice(index, 0, node.next);
            }
        }
    }

    return dummy.next;
}

16.LRU 缓存

请你设计并实现一个满足 LRU (最近最少使用) 缓存 约束的数据结构。

实现 LRUCache 类:

  • LRUCache(int capacity) 以 正整数 作为容量 capacity 初始化 LRU 缓存
  • int get(int key) 如果关键字 key 存在于缓存中,则返回关键字的值,否则返回 -1 。
  • void put(int key, int value) 如果关键字 key 已经存在,则变更其数据值 value ;如果不存在,则向缓存中插入该组 key-value 。如果插入操作导致关键字数量超过 capacity ,则应该 逐出 最久未使用的关键字。

函数 get 和 put 必须以 O(1) 的平均时间复杂度运行。

示例:

输入
["LRUCache", "put", "put", "get", "put", "get", "put", "get", "get", "get"]
[[2], [1, 1], [2, 2], [1], [3, 3], [2], [4, 4], [1], [3], [4]]
输出
[null, null, null, 1, null, -1, null, -1, 3, 4]

解释
LRUCache lRUCache = new LRUCache(2);
lRUCache.put(1, 1); // 缓存是 {1=1}
lRUCache.put(2, 2); // 缓存是 {1=1, 2=2}
lRUCache.get(1); // 返回 1
lRUCache.put(3, 3); // 该操作会使得关键字 2 作废,缓存是 {1=1, 3=3}
lRUCache.get(2); // 返回 -1 (未找到)
lRUCache.put(4, 4); // 该操作会使得关键字 1 作废,缓存是 {4=4, 3=3}
lRUCache.get(1); // 返回 -1 (未找到)
lRUCache.get(3); // 返回 3
lRUCache.get(4); // 返回 4

8.二叉树

1.二叉树的中序遍历

给定一个二叉树的根节点 root ,返回 它的 中序 遍历

示例 1:

输入:root = [1,null,2,3]
输出:[1,3,2]

示例 2:

输入:root = []
输出:[]

示例 3:

输入:root = [1]
输出:[1]

/**
 * Definition for a binary tree node.
 * function TreeNode(val, left, right) {
 *     this.val = (val===undefined ? 0 : val)
 *     this.left = (left===undefined ? null : left)
 *     this.right = (right===undefined ? null : right)
 * }
 */
/**
 * @param {TreeNode} root
 * @return {number[]}
 */
class TreeNode {
    constructor(val, left = null, right = null) {
        this.val = val;
        this.left = left;
        this.right = right;
    }
}

function inorderTraversal(root) {
    let res = [];
    helper(root, res);
    return res;
}

function helper(node, res) {
    if (node !== null) {
        if (node.left !== null) {
            helper(node.left, res);
        }
        res.push(node.val);
        if (node.right !== null) {
            helper(node.right, res);
        }
    }
}

2.二叉树的最大深度

给定一个二叉树 root ,返回其最大深度。

二叉树的 最大深度 是指从根节点到最远叶子节点的最长路径上的节点数。

示例 1:

输入:root = [3,9,20,null,null,15,7]
输出:3

示例 2:

输入:root = [1,null,2]
输出:2

/**
 * Definition for a binary tree node.
 * function TreeNode(val, left, right) {
 *     this.val = (val===undefined ? 0 : val)
 *     this.left = (left===undefined ? null : left)
 *     this.right = (right===undefined ? null : right)
 * }
 */
class TreeNode {
    constructor(val, left = null, right = null) {
        this.val = val;
        this.left = left;
        this.right = right;
    }
}

function maxDepth(root) {
    if (root === null) {
        return 0;
    } else {
        let leftHeight = maxDepth(root.left);
        let rightHeight = maxDepth(root.right);
        return Math.max(leftHeight, rightHeight) + 1;
    }
}