两种解法搞定Swap Nodes in Pairs算法题

89 阅读1分钟

最近还是很喜欢用golang来刷算法题,更接近通用算法,也没有像动态脚本语言那些语法糖,真正靠实力去解决问题。下面这道题很有趣,也是一道链表题目,具体如下:

24. Swap Nodes in Pairs
Solved
Medium
Topics
Companies
Given a linked list, swap every two adjacent nodes and return its head. You must solve the problem without modifying the values in the list's nodes (i.e., only nodes themselves may be changed.)
 

Example 1:


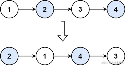
Input: head = [1,2,3,4]
Output: [2,1,4,3]
Example 2:

Input: head = []
Output: []
Example 3:

Input: head = [1]
Output: [1]
 

Constraints:

The number of nodes in the list is in the range [0, 100].
0 <= Node.val <= 100

快速思考了一下,想到这个交换节点的事儿可以用递归去实现,通过三个指针prev, current, next不断移动,实现相邻节点交换,代码如下:

/**
 * Definition for singly-linked list.
 * type ListNode struct {
 *     Val int
 *     Next *ListNode
 * }
 */
func swapPairs(head *ListNode) *ListNode {
	
	if head == nil || head.Next == nil {
		return head
	}
	
	if head.Next.Next == nil {
		next := head.Next
		head.Next = nil
		next.Next = head
        head = next

		return head
	}

	prev, cur, nxt := head, head.Next, head.Next.Next
    cur.Next = prev
    head = cur
	prev.Next = swapPairs(nxt)

    return head
}

递归虽然好,但是也会有一些性能上的担忧,毕竟递归调用太深,可能会引发堆栈溢出。后面再仔细推敲了一下,完全可以用2个指针不断进行交换,可以不用递归。这里还是要用一个dump节点来方便的保存修改后的链表,具体如下:

/**
 * Definition for singly-linked list.
 * type ListNode struct {
 *     Val int
 *     Next *ListNode
 * }
 */
func swapPairs(head *ListNode) *ListNode {
	
	dump := &ListNode{Val: 0}
	dump.Next = head
	prevNode := dump
	currentNode := head

    for currentNode != nil && currentNode.Next != nil {
		prevNode.Next = currentNode.Next
		currentNode.Next = currentNode.Next.Next
		prevNode.Next.Next = currentNode
		prevNode = currentNode
		currentNode = currentNode.Next
	}

	return dump.Next
}

最终它们的时间复杂度是O(N),空间复杂度O(1),都非常棒。如果是你,你更喜欢哪种解法呢?欢迎在评论区留言交流。

文章转载自: freephp

原文链接: www.cnblogs.com/freephp/p/1…

体验地址: www.jnpfsoft.com/?from=xitu