从零实现 React v18,但 WASM 版 - [6] 实现 Commit 流程

377 阅读3分钟

模仿 big-react,使用 Rust 和 WebAssembly,从零实现 React v18 的核心功能。深入理解 React 源码的同时,还锻炼了 Rust 的技能,简直赢麻了!

代码地址:github.com/ParadeTo/bi…

本文对应 tag:v6

上篇文章已经实现了 React 一次更新过程的 Render 流程,本篇我们来实现最后一步,即 Commit。

首先,在 work_loop 中加入 commit 步骤:

fn perform_sync_work_on_root(&mut self, root: Rc<RefCell<FiberRootNode>>) {
  ...

  root.clone().borrow_mut().finished_work = finished_work;
  self.commit_root(root);
}

这里的 finished_work 就是根 FiberNode

完整的 Commit 流程包括 commitBeforeMutaionEffectscommitMutationEffectscommitLayoutEffects 等步骤。这里简单起见,先只实现 commitMutationEffects, 当然可以先判断根节点或者其子节点是否有副作用,有副作用才需要执行:

fn commit_root(&self, root: Rc<RefCell<FiberRootNode>>) {
    ...
    if subtree_has_effect || root_has_effect {
        commit_work.commit_mutation_effects(finished_work.clone());
        cloned.borrow_mut().current = finished_work.clone();
    } else {
        cloned.borrow_mut().current = finished_work.clone();
    }
}

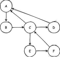
commit_mutation_effects 中会采取深度优先的方式遍历 Fiber Tree,比如下面这个例子的遍历顺序为 BEFCDA:

1.png

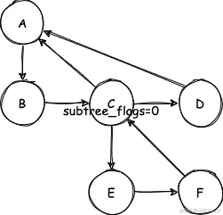
同时还会根据 subtree_flags 的值来决定是否继续遍历子树,比如下面这个例子会跳过 EF,最后的顺序为 BCDA:

2.png

subtree_flags 是在 CompleteWork 中的 bubble_properties 中更新的,即每完成一个节点,就会合并他所有子节点的 flags

fn bubble_properties(&self, complete_work: Rc<RefCell<FiberNode>>) {
    let mut subtree_flags = Flags::NoFlags;
    {
        let mut child = complete_work.clone().borrow().child.clone();
        while child.is_some() {
            let child_rc = child.clone().unwrap().clone();
            {
                let child_borrowed = child_rc.borrow();
                subtree_flags |= child_borrowed.subtree_flags.clone();
                subtree_flags |= child_borrowed.flags.clone();
            }
            {
                child_rc.borrow_mut()._return = Some(complete_work.clone());
            }
            child = child_rc.borrow().sibling.clone();
        }
    }

    complete_work.clone().borrow_mut().subtree_flags |= subtree_flags.clone();
}

每个节点根据他本身的 flags 来提交不同的操作,这里暂时只处理 Placement

fn commit_mutation_effects_on_fiber(&self, finished_work: Rc<RefCell<FiberNode>>) {
    let flags = finished_work.clone().borrow().flags.clone();
    if flags.contains(Flags::Placement) {
        self.commit_placement(finished_work.clone());
        finished_work.clone().borrow_mut().flags -= Flags::Placement
    }
}

commit_placement 中会先获取离当前处理的 FiberNode 最近的 HostComponentHostRoot 作为其所要插入的目标父节点:

fn commit_placement(&self, finished_work: Rc<RefCell<FiberNode>>) {
    let host_parent = self.get_host_parent(finished_work.clone());
    if host_parent.is_none() {
        return;
    }
    let parent_state_node = FiberNode::derive_state_node(host_parent.unwrap());

    if parent_state_node.is_some() {
        self.append_placement_node_into_container(
            finished_work.clone(),
            parent_state_node.unwrap(),
        );
    }
}

fn get_host_parent(&self, fiber: Rc<RefCell<FiberNode>>) -> Option<Rc<RefCell<FiberNode>>> {
    let mut parent = fiber.clone().borrow()._return.clone();
    while parent.is_some() {
        let p = parent.clone().unwrap();
        let parent_tag = p.borrow().tag.clone();
        if parent_tag == WorkTag::HostComponent || parent_tag == WorkTag::HostRoot {
            return Some(p);
        }
        parent = p.borrow()._return.clone();
    }

    None
}

最后执行插入操作是会判断当前 FiberNode 节点类型是不是 HostComponentHostText,如果不是会尝试插入其所有子节点:

fn append_placement_node_into_container(
    &self,
    fiber: Rc<RefCell<FiberNode>>,
    parent: Rc<dyn Any>,
) {
    let fiber = fiber.clone();
    let tag = fiber.borrow().tag.clone();
    if tag == WorkTag::HostComponent || tag == WorkTag::HostText {
        let state_node = fiber.clone().borrow().state_node.clone().unwrap();
        self.host_config.append_child_to_container(
            self.get_element_from_state_node(state_node),
            parent.clone(),
        );
        return;
    }

    let child = fiber.borrow().child.clone();
    if child.is_some() {
        self.append_placement_node_into_container(child.clone().unwrap(), parent.clone());
        let mut sibling = child.unwrap().clone().borrow().sibling.clone();
        while sibling.is_some() {
            self.append_placement_node_into_container(sibling.clone().unwrap(), parent.clone());
            sibling = sibling.clone().unwrap().clone().borrow().sibling.clone();
        }
    }
}

本次详细代码变更可以参考这里

到此,我们已经复刻出了 big react v2 版本,即可以实现单节点的首次渲染,支持 HostComponentHostText

重新构建和安装依赖,还是运行上一篇的例子,最终效果如下图:

3.png

从结果中还可以看到,有些插入操作是在 Commit 阶段这前就完成了,具体到代码中,是在 complete_work 中:

...
WorkTag::HostComponent => {
  let instance = self.host_config.create_instance(
      work_in_progress
          .clone()
          .borrow()
          ._type
          .clone()
          .unwrap()
          .clone()
          .as_string()
          .unwrap(),
  );
  self.append_all_children(instance.clone(), work_in_progress.clone());
  work_in_progress.clone().borrow_mut().state_node =
      Some(Rc::new(StateNode::Element(instance.clone())));
  self.bubble_properties(work_in_progress.clone());
  None
}
...

这样在 Commit 阶段的时候,只需要一次性插入一颗离屏的 DOM 树就好了,也算是一个小优化了。

跪求 star 并关注公众号“前端游”