infineon|Driver IC 热阻模型概述与计算2

117 阅读1分钟

二、热阻的应用

如图2,根据公式

因此

其中case的温度往往可以通过热电偶或者红外方便测出来,那么知道了结到壳的热阻θJC是否就能直接算出芯片Junction的温度呢?

答案是no,这里有个问题,根据热阻的定义,应用θJC算结温,乘的功率必须是流经case top 方向的功率,但是我们实际应用中无法定量得测出有多少功率从case top 走,又有多少的功率从PCB board走,我们只是定性得知道有95%的功率都是往PCB走;因此我们引入一个概念热特征参数ψ,热特征参数ψ的定义是两点之间的温度差除以总功率;

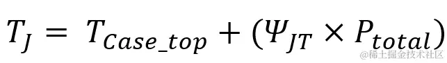
根据公式

得出

因此我们可以很方便地通过ψJT估算芯片的结温。

总结一下:

1. 热阻θ是两点之间的温度差除以对应流经这两点的功率;

热阻θJA, θJC是用来评估不同芯片的thermal performance,而不是计算结温。不同芯片热阻的是通过统一的JESD51标准测得,方便一些系统级的工程师,在做系统级设计时,进行芯片之间的横向比较;

2. 热特征参数ψ是两点之间的温度差除以总功率

热特征参数ψJT的计算更接近于实际应用条件,因此计算芯片结温往往是通过数ψJT;

转自唯样商城电子资讯,买电子元器件上唯样商城