一款好用的国产低代码平台介绍

531 阅读6分钟

云程平台是一款支撑企业级应用系统快速开发的低代码开发平台,采用微服务技术架构,模型驱动开发设计思想,采用SpringBoot、SpringCloud、Vue.js主流技术栈,提供了开箱即用的数据建模、表单设计、页面设计、流程设计、报表设计、门户设计、打印设计、大屏设计、移动设计、数据集成等一系列可视化建模设计工具,可低代码/零代码(简单应用无代码开发、复杂应用低代码开发)方式快速构建业务应用,平台既可私有化部署(支持物理机、虚拟机、信创国产化),也可云化部署(支持华为云\阿里云等公有云、企业私有云、kubernetes容器云)。低代码平台主要目的让开发者注重专注业务,降低技术难度,缩短项目开发交付周期,提高软件安全质量,节省人力成本,为企业数字化建设降本增效。

01-架构图.png

低代码平台研发团队核心成员均有10年以上的软件研发经验,长期深耕并专注于低代码平台、流程引擎等技术组件研发,既可交付低代码开发平台软件产品,以及100%的源代码开放、企业级永久授权使用(不限部署套数+不限用户数+不限项目数量),也可按照企业自身需求定制化开发。

02-门户首页.png

体验环境:www.yunchengxc.com/

平台核心能力

· 数据集成

数据集成组件提供多数据源管理、数据集管理、数据服务生成等模块,支持mysql、pg、oracle、达梦等多种数据库注册,支持Table、SQL、HTTP、JSON等多种第三方数据集成,业务数据一键快速生成HTTP服务接口,方便第三方调用集成。

03-数据集成.png

· 应用开发

基于模型驱动开发思想,可在线配置化开发微应用,每个微应用包括数据模型、表单模型、页面模型、流程模型、报表模型等,通过拖拉拽方式构建模型,进而完成应用模块的快速开发和交付。

04-应用开发.png

· 表单 设计器

在线可视化化表单设计器,通过拖拉拽配置方式开发业务表单,支持在线预览,所见即所得。提供页面视图的配置化开发功能,支持单表、主子表、树页面、组合页面等多种页面生成,并可配置查询条件、操作按钮、导入导出、扩展事件等,满足项目复杂页面快速开发。

05-表单设计.png

· 打印设计器

一款web打印设计组件,无需安装插件,可拖拉拽在线设计打印模板,提供了文本、图片、表格等常见的打印元素,也支持通过应用中设计好的数据模型快速生成打印模板,支持移动端,PC端浏览器使用, 跟浏览器打印功能相比,可精准控制打印页面效果。

06-打印设计.png

·  图表 设计器

报表设计器是一款在线可视化报表建模工具,提供了汇总表、明细表、柱形图、条形图、饼图、折线图、面积图、雷达图、指标图等多种种常用图表,可以组合及联动使用。设计器采用拖拽操作的风格,简单易用,能够实时展示配置效果,一目了然。

07-图表设计.png

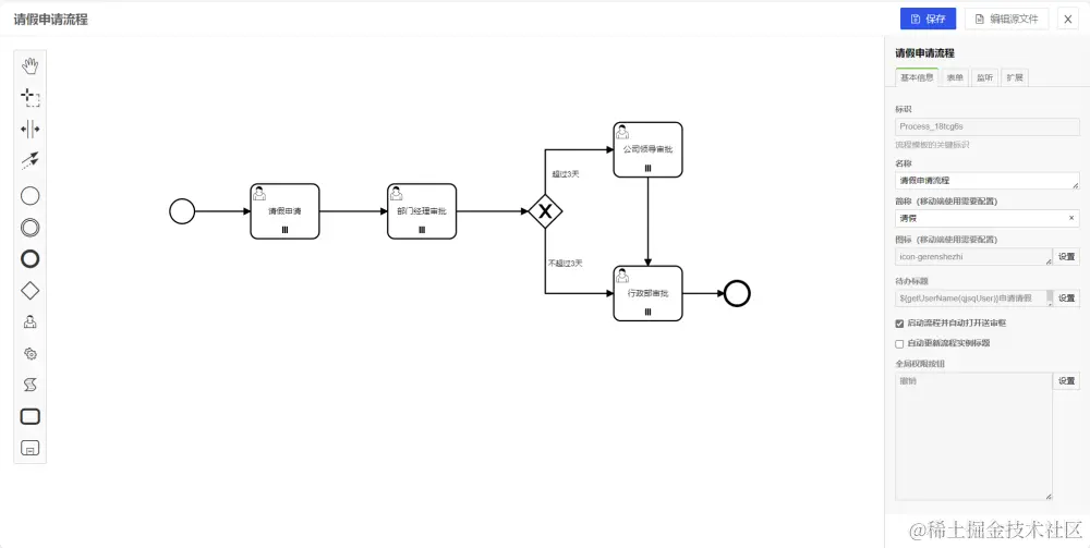
· 流程 设计器

基于BPMN2.0标准规范,可视化拖拉拽设计业务流程,支持会签、加签、跳转、退回、撤销等多种中国特色流程操作,支持用户、部门、角色、岗位、关系等多维度配置选人方式,支持跟表单和权限无缝集成,配置即用。

08-流程设计.png

· 门户 设计器

支持门户可视化设计,门户风格任意布局,支持一人多门户页,可按角色控制门户权限,支持个人门户自定义,从而实现多种个性化门户展现要求,达到“千人千面”效果。门户设计器默认提供了我的待办、常用流程、数据面板、轮播图等多个基础组件,以及可直接复用的业务模块组件,并支持自定义扩展组件。

09-门户设计.png

· 大屏设计器

提供可视化大屏设计器,基于丰富图形组件和多种行业模板,您可在十分钟之内快速搭建起美观、酷炫的大屏展示,实现业务数据可视化。大屏设计器采用拖拽式自由布局,无需编码,全图形化编辑,支持静态数据、Http服务、SQL等多种数据源配置,支持数据实时同步更新。

10-大屏设计.png

· 移动 端H5/ 小程序

基于uni-app框架开发,一套代码,支持iOS、Android、Web、小程序等多个平台使用,移动应用开发采用配置化方式实现,可在线设计移动端表单和流程,快速构建和发布移动应用。基于服务化架构和前后端分离技术,实现PC端和移动端数据协同,在移动端可完成流程发起、待办处理、流程审批、数据查询等工作。

11-移动端.png

· 微服务注册

平台基于微服务架构设计,无缝集成微服务注册中心Nacos,能够实现服务的快速注册与发现,确保服务的高可用性和弹性伸缩。平台还具备出色的适配性,除开源组件Nacos外,也可以适配华为云、阿里云、腾讯云的服务注册中心。

12-微服务注册.png

平台能够支持无缝接入微服务监控平台SpringBootAdmin。通过灵活的插件+配置化机制,可以轻松地将平台接入微服务监控工具中,为用户提供全面的服务监控和管理能力。

13-微服务监控.png

· 微服务链路拓扑

平台可无缝接入开源性能监控平台Skywalking,客户能够实时监控微服务之间的交互,微服务链路跟踪,帮助客户快速定位性能瓶颈和潜在问题,从而优化系统性能,提升用户体验。

14-链路跟踪.png

· CI/CD工具jenkins集成

平台充分利用了持续集成与持续部署(CI/CD)工具,实现了高效、自动化的构建流程。通过接入Jenkins,能够快速响应代码变更,确保每次提交都能通过自动化测试并构建出可部署的应用,可以显著提升开发效率,确保软件质量的稳定性。

15-devops集成.png

· 容器云k8s集成

平台不仅支持在物理机、虚拟机环境下进行部署,也支持基于以容器云Kubernetes环境部署,基于容器云环境的部署可以确保系统自动化弹性扩展和容错。平台默认适配开源容器云Rancher,也可适配阿里云、华为云等商业容器云平台。

16-容器云集成.png

专业技术支持

17-研发低代码平台我们是认真的.png