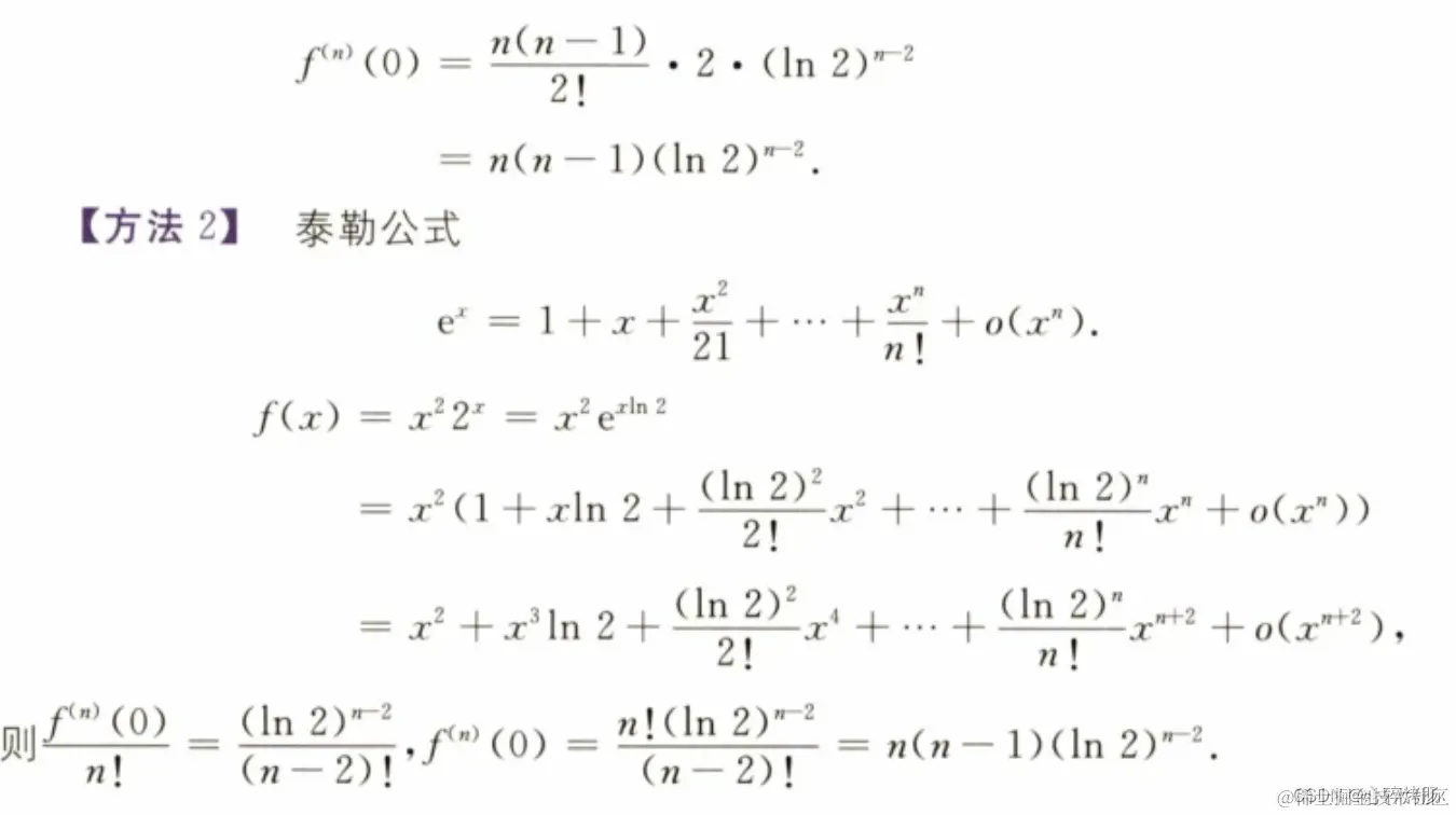
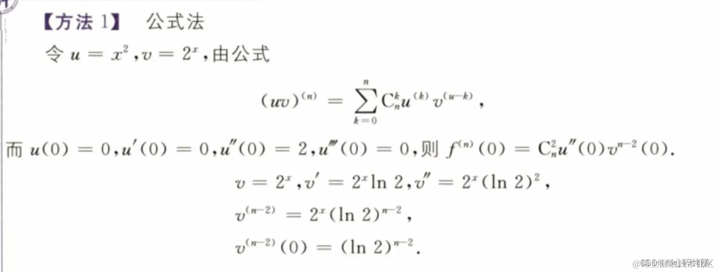
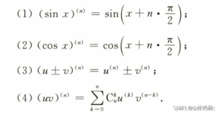
高等数学基础篇(数二)之高阶导数 心碎烤肠 2024-04-13 234 阅读1分钟 目录 一.高阶导数的概念 二.常用的高阶导数公式 三.例题 一.高阶导数的概念 二.常用的高阶导数公式 三.例题