高等数学基础篇(数二)之求导法则

486 阅读2分钟

六大求导法则:

方法一:有理运算法则

方法二:复合函数求导法

方法三:隐函数求导法

方法四:反函数求导法

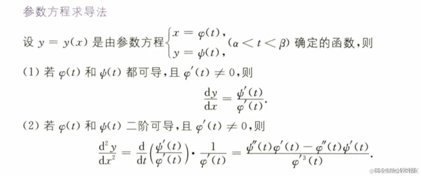
方法五:参数方程求导法

方法六:对数求导法

目录

方法一:有理运算法则

方法二:复合函数求导法

方法三:隐函数求导法

方法四:反函数求导法

方法五:参数方程求导法

方法六:对数求导法


方法一:有理运算法则


方法二:复合函数求导法

补充:

复合函数内外可导,则该函数一定可导


方法三:隐函数求导法

个人理解:

隐函数求导:两边同时对x进行求导(注:y为x的函数)


方法四:反函数求导法

个人理解:

反函数求导:反函数的导数 = 原函数导数的倒数


方法五:参数方程求导法


方法六:对数求导法