【数据结构与算法】力扣 142. 环形链表 II

40 阅读2分钟

题目描述

给定一个链表的头节点  head ,返回链表开始入环的第一个节点。 如果链表无环,则返回 null

如果链表中有某个节点,可以通过连续跟踪 next 指针再次到达,则链表中存在环。 为了表示给定链表中的环,评测系统内部使用整数 pos 来表示链表尾连接到链表中的位置(索引从 0 开始)。如果 pos 是 -1,则在该链表中没有环。注意:pos 不作为参数进行传递,仅仅是为了标识链表的实际情况。

不允许修改 链表。

示例 1:

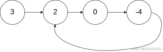
输入: head = [3,2,0,-4], pos = 1
输出: 返回索引为 1 的链表节点
解释: 链表中有一个环,其尾部连接到第二个节点。

示例 2:

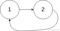
输入: head = [1,2], pos = 0
输出: 返回索引为 0 的链表节点
解释: 链表中有一个环,其尾部连接到第一个节点。

示例 3:

输入: head = [1], pos = -1
输出: 返回 null
解释: 链表中没有环。

提示:

  • 链表中节点的数目范围在范围 [0, 104] 内
  • -105 <= Node.val <= 105
  • pos 的值为 -1 或者链表中的一个有效索引

分析解答

以下分析和图解部分来自代码随想录

这道题有两个关键点:

  1. 是否有环
  2. 有环需要找到环的入口

是否有环

有环需要使用双指针(快慢指针)来判断。比如使快指针一次移动两个节点,慢指针一次移动一个节点,当进入环中,慢指针一定会在某个时刻追上快指针。举个例子:

  • 1,2,3,4,5,3,4,5,3,4,5,3,4,5,3,4,5,3,4,5,3,4,5,3,4,5 -- 慢
  • 3,5,1,3,5,1,3,5,1,3,5,1,3,5,1,3,5,1,3,5,1,3,5 -- 快

image.png

image.png

找出环的出口

第一次接触真的会一脸懵 O.o

image.png

以下两图很好地解释了为什么 slow 只在转第一圈的时候一定会被 fast 追上。

image.png

image.png

所以可以列出等式((n >= 1)):

  • slow = x + y
  • fast = x + y + n(y + z)
  • 2(x + y) = x + y + n(y + z)
  • x + y = n(y + z)
  • x = n(y + z) - y
  • x = (n - 1)(y + z) + z

所以当 n 为 1 的时候, x = z。代表着如果有一个节点在相遇处,一个节点在head处,他们同时出发,刚好会在环形入口节点处相遇。

n 表示相遇的时候,快指针已经在环内转的圈数。

完整代码:

/**
 * Definition for singly-linked list.
 * function ListNode(val) {
 *     this.val = val;
 *     this.next = null;
 * }
 */

/**
 * @param {ListNode} head
 * @return {ListNode}
 */
var detectCycle = function(head) {
    if(!head || !head.next) return null;
    let fast = head.next.next
    let slow = head.next
    while (fast && fast.next) {
        slow = slow.next
        fast = fast.next.next
        if (fast == slow) {
            slow = head
            while (fast != slow) {
                fast = fast.next
                slow = slow.next
            }
            return slow
        }
    }
    return null
};

思路拓展