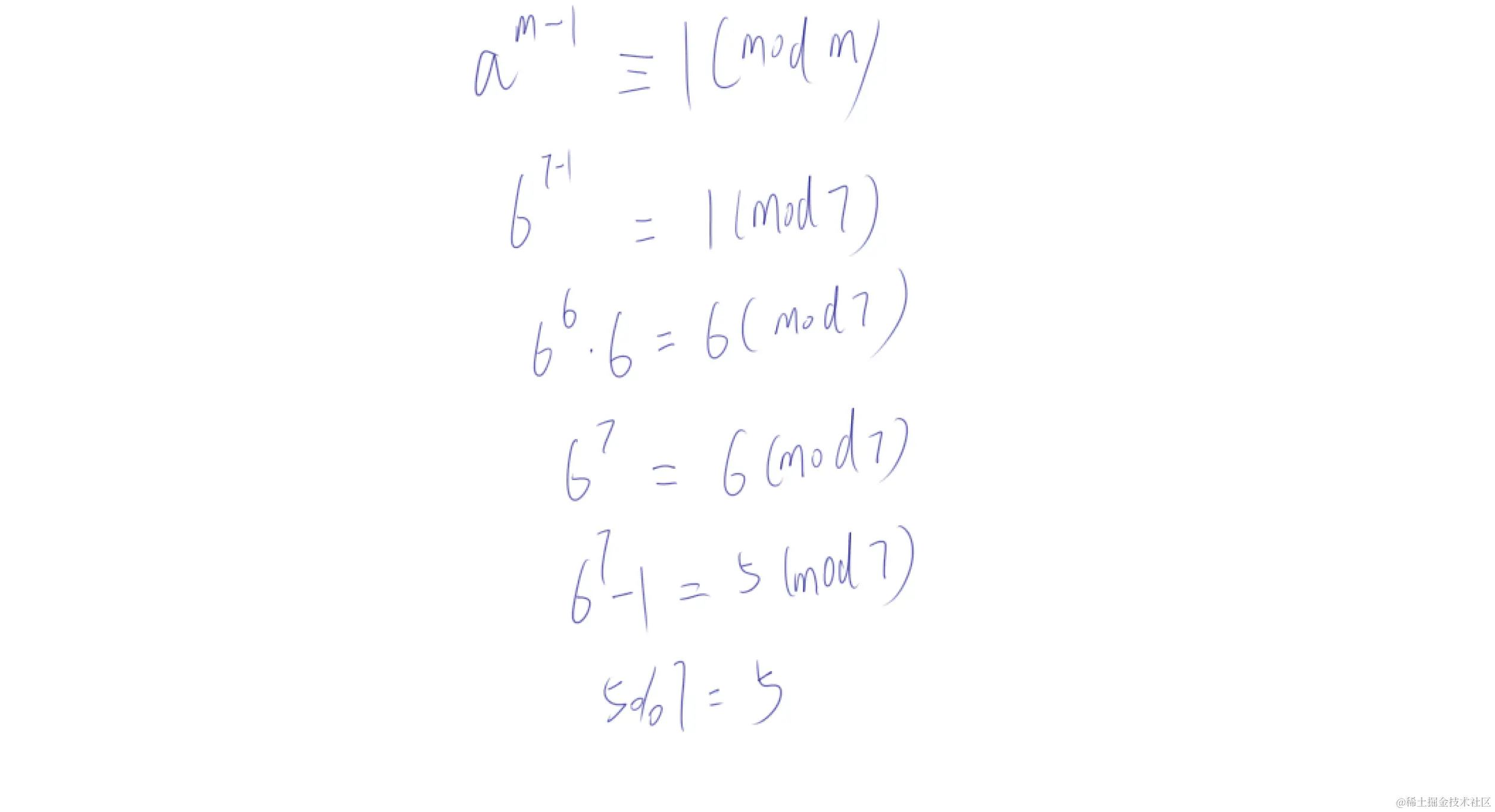
费马小定理理论 孙鹏宇 2024-04-07 76 阅读1分钟 今天是周三,请问经过67−16^{7}-167−1天之后是星期几? 解 因为67−16^{7}-167−1太大不好算,我们这里用费马小定理来求。 有一个质数m,还有一个整数a,a和m是互质关系, ama^{m}am ≡\equiv≡ 1(mod m) 意思是ama^{m}%mam的余数和1%m的余数相同。 因此我们可以做如下推导: 5mod7=5,所以67−1mod76^{7}-1 mod 767−1mod7的结果也是5,从星期三往后推5天,也就是星期一