【数据结构与算法】力扣 19. 删除链表的倒数第 N 个结点

83 阅读2分钟

题目描述

给你一个链表,删除链表的倒数第 n 个结点,并且返回链表的头结点。

示例 1:

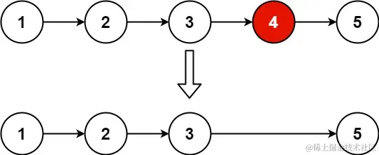
输入: head = [1,2,3,4,5], n = 2
输出: [1,2,3,5]

示例 2:

输入: head = [1], n = 1
输出: []

示例 3:

输入: head = [1,2], n = 1
输出: [1]

提示:

  • 链表中结点的数目为 sz
  • 1 <= sz <= 30
  • 0 <= Node.val <= 100
  • 1 <= n <= sz

分析解答

第一眼:这不删除节点吗?我会!

再看一眼:哎呦不对!是倒数第 n 个节点。

然后:emmm,这不一个道理吗!

所以我的思路就是先将倒序转化为正序,用正序的思路去删。如果正序为第 x 个,倒序为第 n 个,那么找找规律就可以发现 x = length + 1 - n

为了方便,依旧是引入虚拟头节点,既然要删第 x 个,那么就去找第 x - 1 个。

然后,既然没有 length,那就求呗。

let dummyHead = new ListNode(0, head)
let length = 0
while (dummyHead.next != null) {
    length++
    dummyHead = dummyHead.next
}
dummyHead = new ListNode(0, head)

之后的操作就一个非常普通的删除节点操作。

/**
 * Definition for singly-linked list.
 * function ListNode(val, next) {
 *     this.val = (val===undefined ? 0 : val)
 *     this.next = (next===undefined ? null : next)
 * }
 */
/**
 * @param {ListNode} head
 * @param {number} n
 * @return {ListNode}
 */
var removeNthFromEnd = function (head, n) {
    let dummyHead = new ListNode(0, head)
    let length = 0
    while (dummyHead.next != null) {
        length++
        dummyHead = dummyHead.next
    }
    dummyHead = new ListNode(0, head)
    if ((length + 1 - n) == 1) {
        head = head.next;
    }
    if ((length + 1 - n) == 2) {
        dummyHead.next.next = dummyHead.next.next.next
    }
    if ((length + 1 - n) >= 3) {
        for (let i = 1; i < (length + 1 - n); i++) {
            dummyHead = dummyHead.next;
        }
        dummyHead.next = dummyHead.next.next
    }
    return head
};

思路拓展

大家可以想一想,倒数第 n 个和正序的第 n 个有什么相同之处捏?

对了!就是首(假设为双向链表)尾都是 null!从头往后数和从尾往前数不一个道理吗?

image.png

所以思路就是找一对双指针 fast 和 slow,他们在维持一定的位移差的情况下同时移动,fast 一直指到 null(尾),而 slow 刚好是 fast 后面的第 n + 1 个元素,第 n 个刚好是要删除的元素。

image.png

/**
 * Definition for singly-linked list.
 * function ListNode(val, next) {
 *     this.val = (val===undefined ? 0 : val)
 *     this.next = (next===undefined ? null : next)
 * }
 */
/**
 * @param {ListNode} head
 * @param {number} n
 * @return {ListNode}
 */
var removeNthFromEnd = function(head, n) {
    let ret = new ListNode(0, head)
    let slow = ret;
    let fast = ret;
    // fast 和 slow 指针差 n + 1
    n++;
    while (n-- && fast) fast = fast.next;
    while (fast) {
        fast = fast.next;
        slow = slow.next;
    }
    slow.next = slow.next.next;
    return ret.next;
};