#算法
- 标签:链表、递归
题目描述
给你链表的头节点 head ,每 k 个节点一组进行翻转,请你返回修改后的链表。 k 是一个正整数,它的值小于或等于链表的长度。如果节点总数不是 k 的整数倍,那么请将最后剩余的节点保持原有顺序。
你不能只是单纯的改变节点内部的值,而是需要实际进行节点交换。
示例 1:

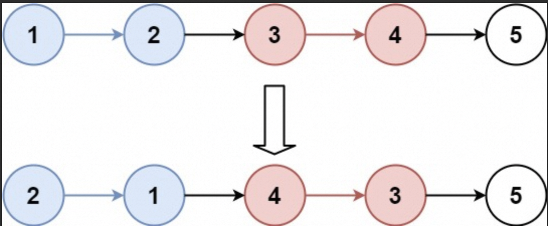
输入:head = [1,2,3,4,5], k = 2 输出:[2,1,4,3,5] 示例 2:

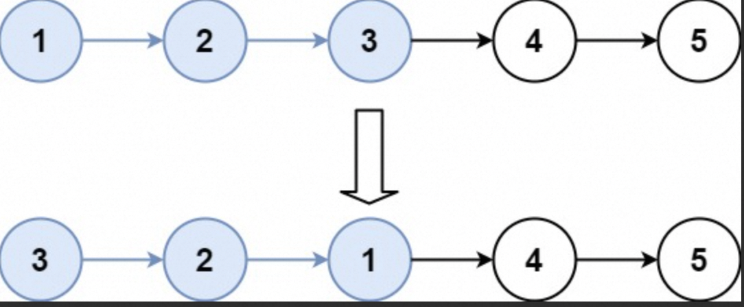
输入:head = [1,2,3,4,5], k = 3 输出:[3,2,1,4,5] 提示: 链表中的节点数目为 n 1 <= k <= n <= 5000 0 <= Node.val <= 1000 进阶:你可以设计一个只用 O(1) 额外内存空间的算法解决此问题吗?
原题:LeetCode 25
思路及实现
方式一:递归
思路
其大致过程可以分解为
- 找到待翻转的k个节点(注意:若剩余数量小于 k 的话,则不需要反转,因此直接返回待翻转部分的头结点即可)。
- 对其进行翻转。并返回翻转后的头结点(注意:翻转为左闭又开区间,所以本轮操作的尾结点其实就是下一轮操作的头结点)。
- 对下一轮 k 个节点也进行翻转操作。
- 将上一轮翻转后的尾结点指向下一轮翻转后的头节点,即将每一轮翻转的k的节点连接起来。
示意图

代码实现
Java 版本
/**
* Definition for singly-linked list.
* public class ListNode {
* int val;
* ListNode next;
* ListNode() {}
* ListNode(int val) { this.val = val; }
* ListNode(int val, ListNode next) { this.val = val; this.next = next; }
* }
*/
class Solution {
/**
* 反转链表中每个大小为 k 的连续节点的子链表
* @param head 当前子链表的头节点
* @param k 指定的连续节点个数
* @return 反转后的链表的头节点
*/
public ListNode reverseKGroup(ListNode head, int k) {
if (head == null || head.next == null) {
return head;
}
ListNode tail = head;
for (int i = 0; i < k; i++) {
// 如果剩余数量小于 k,则不需要反转。
if (tail == null) {
return head;
}
tail = tail.next;
}
// 反转前 k 个元素
ListNode newHead = reverse(head, tail);
// 下一轮的开始的地方就是 tail
head.next = reverseKGroup(tail, k);
return newHead;
}
/**
* 反转链表中左闭右开区间的节点
* @param head 左闭区间的头节点
* @param tail 右开区间的尾节点
* @return 反转后的链表的头节点
*/
private ListNode reverse(ListNode head, ListNode tail) {
ListNode pre = null;
ListNode next = null;
while (head != tail) {
next = head.next;
head.next = pre;
pre = head;
head = next;
}
return pre;
}
}
说明: reverseKGroup() 方法用于将链表每个大小为 k 的子列表进行反转。 如果输入的头节点 head 或其下一个节点为空,则无需翻转,直接返回头节点。 使用 tail 指针找到当前子列表的结束节点(即当前子列表的下一组的开始节点)。 如果剩余节点数量不足 k,则无需进行翻转,直接返回头节点。 调用 reverse() 方法反转当前子列表,并得到翻转后的新的头节点 newHead。 通过递归调用 reverseKGroup() 方法,将下一轮的开始位置 tail 作为参数传入。 将当前子列表的头节点 head 的 next 指针指向下一轮的结果,连接翻转后的下一组子列表。 返回翻转后的新的头节点 newHead。
C 语言版本
struct ListNode {
int val;
struct ListNode *next;
};
/**
* 反转以头节点head开始,尾节点为tail前一个节点的链表
* 返回反转后的链表的头节点
*/
struct ListNode* reverse(struct ListNode* head, struct ListNode* tail) {
struct ListNode* prev = NULL;
struct ListNode* curr = head;
struct ListNode* next = NULL;
while (curr != tail) {
next = curr->next;
curr->next = prev;
prev = curr;
curr = next;
}
return prev;
}
/**
* 反转每个大小为k的连续节点子链表
* 返回修改后的链表的头节点
*/
struct ListNode* reverseKGroup(struct ListNode* head, int k) {
if (head == NULL || head->next == NULL) {
return head;
}
struct ListNode* tail = head;
for (int i = 0; i < k; i++) {
// 如果剩余节点数不足k个,无需反转,直接返回头节点
if (tail == NULL) {
return head;
}
tail = tail->next;
}
// 反转前k个节点
struct ListNode* newHead = reverse(head, tail);
// 递归调用反转后续的子链表,并将结果连接到当前子链表的末尾
head->next = reverseKGroup(tail, k);
return newHead;
}
说明: 结构体 ListNode 定义了链表节点的结构,包含一个整型变量 val 和一个指向下一个节点的指针 next。 reverse() 函数用于反转以 head 节点为开始,以 tail 节点为前一个节点的子链表,并返回反转后的链表的头节点。 在 reverse() 函数中,使用三个指针 prev、curr 和 next 分别表示前一个节点、当前节点和下一个节点。 在 while 循环中,将当前节点 curr 的 next 指针指向前一个节点 prev,实现反转。 通过更新指针的位置,进行下一次的节点遍历。 返回反转后的链表的头节点 prev。 reverseKGroup() 函数用于反转每个大小为 k 的连续节点的子链表,并返回修改后的链表的头节点。 在 reverseKGroup() 函数中,如果输入的头节点 head 或其下一个节点为空,则无需反转,直接返回头节点。 使用指针 tail 找到当前子链表的结束节点(即当前子链表的下一组的开始节点)。 如果剩余节点数量不足 k,则无需反转,直接返回头节点。 调用 reverse() 函数反转当前子链表,并得到反转后的新头节点 newHead。 递归调用 reverseKGroup() 函数,对剩余的子链表进行反转,并将结果连接到当前子链表的末尾。 返回反转后的新头节点 newHead。
Python3 版本
class ListNode:
def __init__(self, val=0, next=None):
self.val = val
self.next = next
def reverse(head: ListNode, tail: ListNode) -> ListNode:
"""
反转以head为头节点、tail为尾节点的子链表
并返回反转后的链表的头节点
"""
prev = None
curr = head
while curr != tail:
next = curr.next
curr.next = prev
prev = curr
curr = next
return prev
def reverseKGroup(head: ListNode, k: int) -> ListNode:
"""
反转每个大小为k的连续子链表
并返回修改后的链表的头节点
"""
if not head or not head.next:
return head
tail = head
# 找到子链表的尾节点
for _ in range(k):
if not tail:
return head
tail = tail.next
# 反转子链表,并获取反转后的新的头节点
new_head = reverse(head, tail)
# 递归调用,将下一组子链表的头节点连接到当前子链表的末尾
head.next = reverseKGroup(tail, k)
return new_head
代码说明: ListNode 类定义了链表节点的结构,包含一个整数类型变量 val 和一个指向下一个节点的指针 next。 reverse() 函数用于反转以 head 节点为开始,以 tail 节点为前一个节点的子链表,并返回反转后的链表的头节点。 在 reverse() 函数中,使用三个指针 prev、curr 和 next 分别表示前一个节点、当前节点和下一个节点。 在 while 循环中,将当前节点 curr 的 next 指针指向前一个节点 prev,实现反转。 通过更新指针的位置,进行下一次的节点遍历。 返回反转后的链表的头节点 prev。 reverseKGroup() 函数用于反转每个大小为 k 的连续节点的子链表,并返回修改后的链表的头节点。 在 reverseKGroup() 函数中,如果输入的头节点 head 或其下一个节点为空,则无需反转,直接返回头节点。 使用指针 tail 找到当前子链表的结束节点(即当前子链表的下一组的开始节点)。 如果剩余节点数量不足 k,则无需反转,直接返回头节点。 调用 reverse() 函数反转当前子链表,并得到反转后的新头节点 new_head。 递归调用 reverseKGroup() 函数,对剩余的子链表进行反转,并将结果连接到当前子链表的末尾。 返回反转后的新头节点 new_head。
复杂度分析
-
时间复杂度:O(n),其中 n 是链表的长度。每个节点都被遍历一次,每次遍历反转 k 个节点。
-
空间复杂度:O(1)。除了存储结果以外,只使用了常数级别的额外空间。没有使用递归或其他数据结构,只对链表进行了原地修改。
方式二:迭代和原地反转
思路
迭代和原地反转的方法是通过遍历链表,对每个子链表进行原地反转,然后将反转后的子链表拼接到最终结果中。
代码实现
Java 版本
class Solution {
/**
* 反转以 head 为头节点的链表中的前 k 个节点
* 返回反转后的头节点以及反转后的尾节点
*/
private ListNode reverseK(ListNode head, int k) {
ListNode prev = null;
ListNode curr = head;
for (int i = 0; i < k; i++) {
ListNode next = curr.next;
curr.next = prev;
prev = curr;
curr = next;
}
return new ListNode[]{prev, head};
}
public ListNode reverseKGroup(ListNode head, int k) {
ListNode dummy = new ListNode(0); // 创建一个虚拟头节点
dummy.next = head;
ListNode prev = dummy; // prev 始终指向每个子链表的反转前的最后一个节点
ListNode curr = head; // curr 用于遍历链表
while (curr != null) {
ListNode tail = curr; // tail 保存每个子链表的最后一个节点
int count = 0; // count 记录当前子链表的长度
while (curr != null && count < k) {
curr = curr.next;
count++;
}
if (count < k) {
// 如果剩余节点数不足 k,则不需要反转,直接跳出循环
break;
}
ListNode[] result = reverseK(tail, k); // 反转当前子链表的前 k 个节点
ListNode reversedHead = result[0]; // 反转后的头节点
ListNode reversedTail = result[1]; // 反转后的尾节点
// 将反转后的子链表接入链表
prev.next = reversedHead;
reversedTail.next = curr;
prev = reversedTail; // 更新 prev 指针
}
return dummy.next;
}
}
说明: reverseK 方法用于反转以 head 为头节点的链表中的前 k 个节点。返回反转后的头节点和尾节点(这里使用了一个数组来返回多个节点)。 reverseKGroup 方法实现以 k 个一组翻转链表的功能。 创建一个虚拟头节点 dummy 来简化链表操作。 prev 指针始终指向每个子链表的反转前的最后一个节点。 curr 指针用于遍历链表。 使用循环遍历链表,直至 curr 为 null,这样可以处理剩余不足 k 个节点的情况。 在循环中,先找到当前子链表的最后一个节点 tail。 然后,再遍历 k 个节点,通过调用 reverseK 方法来反转这个子链表的前 k 个节点。 获取反转后的头节点 reversedHead 和尾节点 reversedTail。 将反转后的子链表接入链表中,即将 prev 的 next 指向 reversedHead,reversedTail 的 next 指向 curr。 更新 prev 指针,使其指向反转后的尾节点。
C 语言版本
struct ListNode {
int val;
struct ListNode *next;
};
/**
* 反转以 head 为头节点、tail 为尾节点的子链表
* 并返回反转后的链表的头节点
*/
struct ListNode* reverseLinkedList(struct ListNode* head, struct ListNode* tail) {
struct ListNode* prev = NULL;
struct ListNode* curr = head;
while (curr != tail) {
struct ListNode* next = curr->next;
curr->next = prev;
prev = curr;
curr = next;
}
return prev;
}
/**
* 按照 k 个一组翻转链表
* 并返回修改后的链表的头节点
*/
struct ListNode* reverseKGroup(struct ListNode* head, int k) {
struct ListNode* dummy = malloc(sizeof(struct ListNode)); // 创建一个虚拟头节点
dummy->val = 0;
dummy->next = head;
struct ListNode* prev = dummy; // prev 始终指向每个子链表的反转前的最后一个节点
struct ListNode* curr = head; // curr 用于遍历链表
while (curr != NULL) {
struct ListNode* tail = curr; // tail 保存每个子链表的最后一个节点
int count = 0; // count 记录当前子链表的长度
while (curr != NULL && count < k) {
curr = curr->next;
count++;
}
if (count < k) {
break; // 如果剩余节点数不足 k,则不需要反转,直接跳出循环
}
struct ListNode* reversedHead = reverseLinkedList(tail, curr); // 反转当前子链表
struct ListNode* reversedTail = tail;
// 将反转后的子链表接入链表
prev->next = reversedHead;
reversedTail->next = curr;
prev = reversedTail; // 更新 prev 指针
}
struct ListNode* newHead = dummy->next;
free(dummy); // 释放虚拟头节点的内存
return newHead;
}
说明: reverseLinkedList 函数用于反转以 head 为头节点,以 tail 为前一个节点的子链表,并返回反转后的链表的头节点。 在 reverseLinkedList 函数中,使用两个指针 prev 和 curr 分别表示前一个节点和当前节点。 在 while 循环中,将当前节点 curr 的 next 指针指向前一个节点 prev,实现反转。 通过更新指针的位置,进行下一次的节点遍历。 返回反转后的链表的头节点 prev。 reverseKGroup 函数实现按照 k 个一组翻转链表的功能。 创建一个虚拟头节点 dummy 并将其指向链表的头部,以便于处理头节点的情况。 使用两个指针 prev 和 curr 分别指向当前子链表的最后一个节点和遍历节点。 在循环中,首先找到当前子链表的末尾节点 tail,然后再遍历 k 个节点。 如果剩余的节点数量不足 k 个,则不需要反转,直接退出循环。 调用 reverseLinkedList 函数反转当前子链表,并获取反转后的头节点 reversedHead 和尾节点 reversedTail。 将反转后的子链表接入链表中,即将 prev 的 next 指针指向 reversedHead,reversedTail 的 next 指针指向 curr。 更新 prev 指针,向后移动到反转后的子链表的尾节点。 返回虚拟头节点 dummy 的 next 指针,即为反转后的链表的头结点。
Python3 版本
class ListNode:
def __init__(self, val=0, next=None):
self.val = val
self.next = next
def reverseLinkedList(head: ListNode, tail: ListNode) -> ListNode:
prev = None
curr = head
while curr != tail:
next_node = curr.next
curr.next = prev
prev = curr
curr = next_node
return prev
def reverseKGroup(head: ListNode, k: int) -> ListNode:
dummy = ListNode(0) # 创建一个虚拟头节点
dummy.next = head
prev = dummy # prev 始终指向每个子链表的反转前的最后一个节点
curr = head # curr 用于遍历链表
while curr:
tail = curr # tail 保存每个子链表的最后一个节点
count = 0 # count 记录当前子链表的长度
while curr and count < k:
curr = curr.next
count += 1
if count < k:
break # 如果剩余节点数不足 k,则不需要反转,直接跳出循环
reversed_head = reverseLinkedList(tail, curr) # 反转当前子链表
reversed_tail = tail
# 将反转后的子链表接入链表
prev.next = reversed_head
reversed_tail.next = curr
prev = reversed_tail # 更新 prev 指针
return dummy.next
说明: reverseLinkedList 函数用于反转以 head 为头节点、tail 为尾节点的子链表,并返回反转后的链表的头节点。
在 reverseLinkedList 函数中,使用两个指针 prev 和 curr 分别表示前一个节点和当前节点。
在 while 循环中,将当前节点 curr 的 next 指针指向前一个节点 prev,实现反转。
通过更新指针的位置,进行下一次的节点遍历。
返回反转后的链表的头节点 prev。
reverseKGroup 函数用于按照 k 个一组翻转链表。
创建一个虚拟头节点 dummy 并将其指向链表的头部,以便于处理头节点的情况。
使用两个指针 prev 和 curr 分别指向当前子链表的最后一个节点和遍历节点。
在循环中,首先找到当前子链表的末尾节点 tail,然后再遍历 k 个节点。
如果剩余的节点数量不足 k 个,则不需要反转,直接退出循环。
调用 reverseLinkedList 函数反转子链表,并获取反转后的头节点和尾节点。
将反转后的子链表接入链表中,即将 prev 的 next 指针指向反转后的头节点,尾节点的 next 指针指向下一个子链表的头节点。
更新 prev 指针,向后移动到反转后的子链表的尾节点。
复杂度分析
- 时间复杂度:O(n),其中 n 是链表的长度。每个节点恰好被访问两次:一次是遍历整个链表,一次是进行反转操作。
- 空间复杂度:O(1)。只使用了常数级别的额外空间来进行指针操作,没有使用额外的数据结构。
总结
| 递归法 | 迭代+原地反转方法 | |
|---|---|---|
| 思路 | 将链表划分为大小为k的子链表,递归处理 | 使用循环迭代遍历链表,并在每次迭代中原地反转子链表 |
| 时间复杂度 | O(n),每个节点被遍历一次 | O(n),每个节点被遍历一次 |
| 空间复杂度 | O(n/k),递归调用栈的深度 | O(1),原地修改链表 |
| (如果递归栈的深度达到n/k,则创建了O(n/k)个递归调用栈帧) | (不需要额外的空间,仅使用常数级别的指针变量和变量存储空间) | |
| 优点 | 实现简单,逻辑清晰 | 不需要额外的递归调用栈,适用于大规模链表 |
| 代码可读性好 | 原地修改链表,不需要额外空间 | |
| 缺点 | 递归调用栈可能溢出 | 实现相对复杂,需要处理指针的连接 |
| 额外的空间复杂度 | 需要对子链表进行循环遍历和反转 | |
| 特点 | 可以处理较小规模的链表 | 适用于大规模链表处理和优化空间复杂度 |
| 可读性好,思考和实现过程接近问题描述 | 可读性相对较差,实现相对复杂 |
相似题目
| 相似题目 | 力扣链接 |
|---|---|
| 反转链表 II | 力扣92 |
| 反转链表 | 力扣206 |
| K个一组翻转链表 | 力扣25 |
本文由mdnice多平台发布