2024年第九场蓝桥杯小白赛 盖印章 知识点:解一元二次方程

114 阅读1分钟

2.盖印章【算法赛】 - 蓝桥云课 (lanqiao.cn)

解法:解一元二次方程

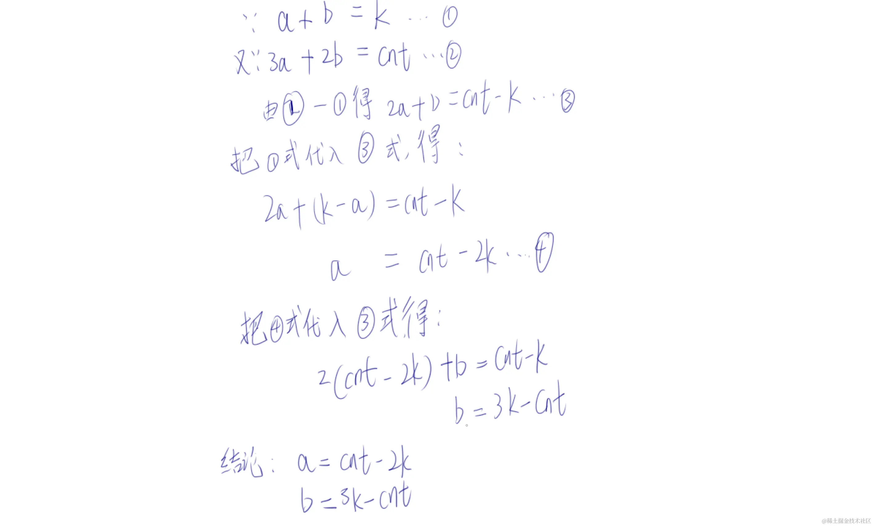
由题目可得: a+b=ka+b=k 方块个数

又因为 3a+2b=cnt (A用3个1表示,B用2个1表示,cnt代表AB的1的和)格子个数


由此可推导:

image.png

code

#include<bits/stdc++.h>
using namespace std;

int main()
{
	int n,m,k;cin>>n>>m>>k;
	
	int cnt=0;
	for(int i=0;i<n;i++)
    {
    	for(int j=0;j<m;j++)
    	{
    		char c;cin>>c;
    		if(c=='1')cnt++;
		}
	 } 
	
	cout<<cnt-2*k<<" "<<3*k-cnt<<endl;
	return 0;
}

image.png