【数据结构与算法】力扣 206. 反转链表

76 阅读1分钟

题目描述

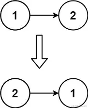
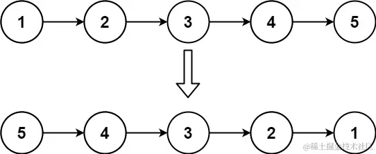
给你单链表的头节点 head ,请你反转链表,并返回反转后的链表。

示例 1:

输入: head = [1,2,3,4,5]
输出: [5,4,3,2,1]

示例 2:

输入: head = [1,2]
输出: [2,1]

示例 3:

输入: head = []
输出: []

提示:

  • 链表中节点的数目范围是 [0, 5000]
  • -5000 <= Node.val <= 5000

分析解答

先说整体思路:既然要翻转,也就是指针的指向改变。那么就可以让后一个指向自身,自身再指向null。

而且每一个节点都是相同的操作,直接使用递归即可解决。

结束条件是head == null || head.next == null。代码如下:

/**
 * Definition for singly-linked list.
 * function ListNode(val, next) {
 *     this.val = (val===undefined ? 0 : val)
 *     this.next = (next===undefined ? null : next)
 * }
 */
function ListNode(val, next) {
    this.val = (val===undefined ? 0 : val)
    this.next = (next===undefined ? null : next)
}
/**
 * @param {ListNode} head
 * @return {ListNode}
 */
var reverseList = function(head) {
    if (head == null || head.next == null) return head
    let result = reverseList(head.next)
    head.next.next = head
    head.next = null
    return result
};

思路拓展

上面使用了递归的操作。下面我们讲讲使用双指针的写法。

image.png

双指针 pre 和 cur,不断移动 pre 和 cur,使得 cur 指向 pre。temp 的作用是防止 cur.next 丢失。

注意要移动 pre,否则 cur 的值会发生改变。

/**
 * Definition for singly-linked list.
 * function ListNode(val, next) {
 *     this.val = (val===undefined ? 0 : val)
 *     this.next = (next===undefined ? null : next)
 * }
 */
function ListNode(val, next) {
    this.val = (val===undefined ? 0 : val)
    this.next = (next===undefined ? null : next)
}
/**
 * @param {ListNode} head
 * @return {ListNode}
 */
var reverseList = function(head) {
    let pre = null
    let cur = head
    while (cur) {
        let temp = cur.next
        cur.next = pre
        pre = cur
        cur = temp
    }
    return pre
};