线性代数复习(四):行列式

197 阅读1分钟

行列式的定义:

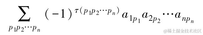
具体来说,对于一个 n×n 的方阵A(只有行等于列),它的行列式通常记作 ∣A∣ 或者det(A)。行列式可以通过矩阵的元素进行计算。公式如下:

image.png

其中,一个排列中逆序的总数就称为这个排列的逆序数.排列i1i2…in的逆序数记为τ(i1i2…in). 比如说321,的τ(321)=3,因为32、31、21都是逆序

二阶方阵计算:

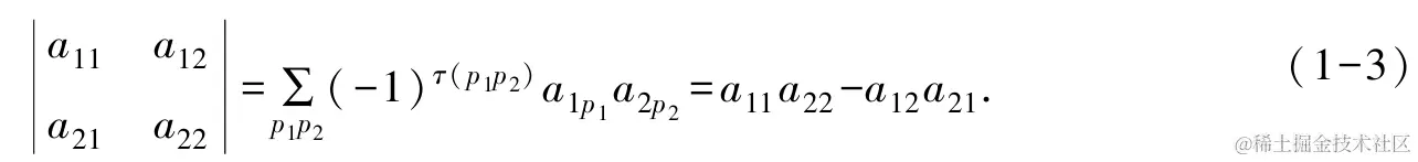
当n=2时,由方阵所确定的2阶行列式为:

image.png

image.png

这个的意思是比如说当p1 = 1,p2=2时,τ(12)= 0 ,所以a11a22的序数是(-1)的0次方,也就是为1

2阶行列式也可借助于对角线法则来记忆.元素a11和a22所在的位置称为行列式的主对角线(黑实线位置),元素a12和a21所在的位置称为行列式的副对角线(黑虚线位置),于是2阶行列式就是主对角线上元素之积减去副对角线上元素之积。

image.png

PS:n阶方阵A可逆的充分必要条件是|A|≠0