线性代数复习(二):矩阵运算

256 阅读1分钟

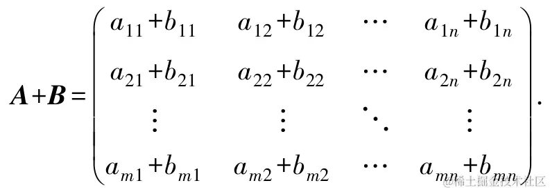
一、加法

设A=(aij)m×n和B=(bij)m×n是两个同型矩阵(行列相同),则矩阵A与B的和记为A+B

image.png

二、数乘

用一个数k乘矩阵A=(aij)m×n的所有元素得到的矩阵(kaij)m×n称为矩阵的数乘,记为kA或者Ak,即kA=Ak=(kaij)m×n

三、矩阵的乘法

设矩阵A=(aij)是一个m×p矩阵,矩阵B=(bij)是一个p×n矩阵,定义矩阵A与B的乘积是一个m×n矩阵C=(cij),其中矩阵C=(cij)的第i行第j列元素cij是矩阵A的第i行元素ai1,ai2,…,aip与矩阵B的第j列相应元素b1j,b2j,…,bpj的乘积之和,简单的来说就是你的列乘以我的行,只有第一个的列数的列等于第二个数的行才可以相乘,公式:

image.png

四、矩阵的转置

设m×n矩阵,把矩阵A的行换成同序数的列,得到的n×m矩阵称为矩阵A的转置矩阵,记为AT

image.png

五、对称矩阵

n阶方阵A如果满足AT=A,则称A为对称矩阵,如果满足AT=-A,则称A为反对称矩阵