Redis 数据结构

68 阅读3分钟

Redis 共有 5 种基本数据类型:String(字符串)、List(列表)、Set(集合)、Hash(散列)、Zset(有序集合)。

这 5 种数据类型是直接提供给用户使用的,是数据的保存形式,其底层实现主要依赖这 8 种数据结构:简单动态字符串(SDS)、LinkedList(双向链表)、Dict(哈希表/字典)、SkipList(跳跃表)、Intset(整数集合)、ZipList(压缩列表)、QuickList(快速列表)。

Redis 5 种基本数据类型对应的底层数据结构实现如下表所示:

StringListHashSetZset
SDSLinkedList/ZipList/QuickListDict、ZipListDict、IntsetZipList、SkipList

SDS:动态字符串

SkipList

链表在查找元素的时候,因为需要逐一查找,所以查询效率非常低,时间复杂度是O(N),于是就出现了跳表。跳表是在链表基础上改进过来的,实现了一种「多层」的有序链表,这样的好处是能快读定位数据。

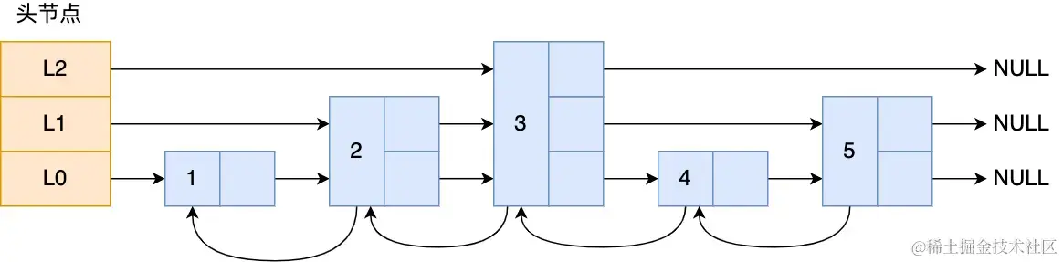
那跳表长什么样呢?我这里举个例子,下图展示了一个层级为 3 的跳表。

image.png

图中头节点有 L0~L2 三个头指针,分别指向了不同层级的节点,然后每个层级的节点都通过指针连接起来:

  • L0 层级共有 5 个节点,分别是节点1、2、3、4、5;
  • L1 层级共有 3 个节点,分别是节点 2、3、5;
  • L2 层级只有 1 个节点,也就是节点 3 。

ZipList结构设计

压缩列表是 Redis 为了节约内存而开发的,它是由连续内存块组成的顺序型数据结构,有点类似于数组。

image.png 压缩列表在表头有三个字段:

  • zlbytes,记录整个压缩列表占用对内存字节数;
  • zltail,记录压缩列表「尾部」节点距离起始地址由多少字节,也就是列表尾的偏移量;
  • zllen,记录压缩列表包含的节点数量;
  • zlend,标记压缩列表的结束点,固定值 0xFF(十进制255)。

在压缩列表中,如果我们要查找定位第一个元素和最后一个元素,可以通过表头三个字段(zllen)的长度直接定位,复杂度是 O(1)。而查找其他元素时,就没有这么高效了,只能逐个查找,此时的复杂度就是 O(N) 了,因此压缩列表不适合保存过多的元素。

另外,压缩列表节点(entry)的构成如下:

image.png 压缩列表节点包含三部分内容:

  • prevlen,记录了「前一个节点」的长度,目的是为了实现从后向前遍历;
  • encoding,记录了当前节点实际数据的「类型和长度」,类型主要有两种:字符串和整数。
  • data,记录了当前节点的实际数据,类型和长度都由 encoding 决定;

当我们往压缩列表中插入数据时,压缩列表就会根据数据类型是字符串还是整数,以及数据的大小,会使用不同空间大小的 prevlen 和 encoding 这两个元素里保存的信息,这种根据数据大小和类型进行不同的空间大小分配的设计思想,正是 Redis 为了节省内存而采用的。