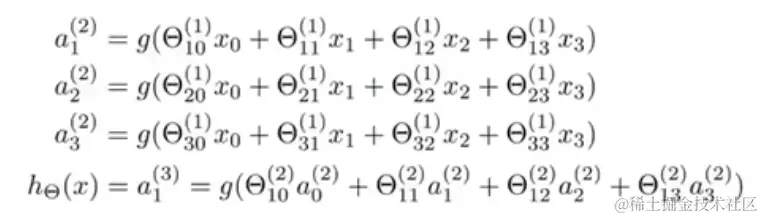
神经网络 Sn小曦 2024-03-31 135 阅读1分钟 非线性假设 hθ(x)=g(θ0+θ1x1+θ2x2+θ3x1x2+θ4x12x2+θ5x13x2+θ6x1x22h_\theta(x)=g(\theta_0+\theta_1x_1+\theta_2x_2+\theta_3x_1x_2+\theta_4x_1^{2}x_2+\theta_5x_1^{3}x_2+\theta_6x_1x_2^{2} hθ(x)=g(θ0+θ1x1+θ2x2+θ3x1x2+θ4x12x2+θ5x13x2+θ6x1x22 ......) ......)......) 前向传播 hθ(x)=11+e−θTxh_\theta(x)={1\over 1+e^{-\theta^{T}x}}hθ(x)=1+e−θTx1 激活函数:非线性函数g(z)=11+e−zg(z)={1\over1+e^{-z}}g(z)=1+e−z1 θ\thetaθ:参数/权重 列向量x -> θ\thetaθ矩阵 -> z -> sigmoid函数 g(z) -> a 其中 z(2)=θ(1)xz^{(2)}=\theta^{(1)}xz(2)=θ(1)x ,a(2)=g(z(2))a^{(2)}= g(z^{(2)})a(2)=g(z(2)) 循环:z(3)=θ(2)a(2)z^{(3)}=\theta^{(2)}a^{(2)}z(3)=θ(2)a(2) , hθ(x)=a(3)=g(z(3))h_\theta(x)=a^{(3)}=g(z^{(3)})hθ(x)=a(3)=g(z(3)) 例: