LiftPool:双向池化操作,细节拉满,再也不怕丢特征了 | ICLR 2021

383 阅读7分钟

论文参考信号处理中提升方案提出双向池化操作LiftPool,不仅下采样时能保留尽可能多的细节,上采样时也能恢复更多的细节。从实验结果来看,LiftPool对图像分类能的准确率和鲁棒性都有不错的提升,而对语义分割的准确性更能有可观的提升。不过目前论文还在准备开源阶段,期待开源后的复现,特别是在速度和显存方面结果

来源:晓飞的算法工程笔记 公众号

论文: LiftPool: Bidirectional ConvNet Pooling

Introduction


 空间池化是卷积网络中很重要的操作,关键在于缩小分辨率的同时保留最重要的特征值,方便后续的模型辨别。简单的池化操作,如最大池化和平均池化,不仅池化时忽略了局部特性,还不支持逆向恢复丢失的信息。为此,论文提出了双向池化层LiftPool,包含保留细节特征的下采样操作LiftDownPool以及产生精细特征图的上采样操作LiftUpPool。

 LiftPool的灵感来自于信号处理中的提升方案(Lifting Scheme),下采样时将输入分解成多个次频带(sub-band),上采样时能够完美地逆向恢复。如图1所示,LiftDownPool产生四个次频带,其中LL次频带是去掉细节的输入近似,LH、HL和HH则分别包含水平、垂直和对角方向的细节信息。用户可以选择一个或多个次频带作为输出,保留其它次频带用于恢复。LiftUpPool根据次频带恢复上采样输入,对比MaxUpPool的效果,LiftUpPool则能产生更精细的输出。

Methods


 下采样特征图时,池化操作核心在于减少下采样造成的信息损失,而信号处理中的提升方案(Lift Scheme)恰好能满足这一需求。提升方案利用信号的相关结构,在空间域构造其下采样的近似信号以及多个包含细节信息的次频带(sub-band),在逆转换时能完美重构输入信号。借用提升方案,论文提出了双向池化层LiftPool。

LiftDownPool

  • LiftDownPool-1D

 以一维信号x=[x1,x2,x3,,xn],xnRx=[x_1, x_2, x_3, \cdots, x_n], x_n\in\mathbb{R}为例,LiftDownPool将其分解成下采样近似信号ss和差分信号dd

 其中F()=fupdatefpredictfsplit()F(\cdot)=f_{update}\circ f_{predict}\circ f_{split}(\cdot)包含3个函数,\circ表示函数组合。

 LiftDownPool-1D的整体过程如图2所示,包含以下步骤:

  • Split操作fsplit:x(xe,xo)f_{split}:x\to (x^e, x^o):将信号xx分成偶数下标组xe=[x2,x4,,x2k]x^e=[x_2, x_4, \cdots, x_{2k}]和奇数下标组xo=[x1,x3,,x2k+1]x^o=[x_1, x_3, \cdots, x_{2k+1}],这两组信号是密接相关的。
  • Predict操作fpredict:(xe,xo)df_{predict}:(x^e, x^o)\to d:给定信号集xex^exox^o,设想的是xex^e可通过预测器P()\mathcal{P}(\cdot)转换得到xox^o。这里不要求预测器是完全准确的,定义两者间的差分信号dd为: 公式2只保留了少量的细节差异信息,功能等价于对xx进行了高通滤波。
  • Update操作fupdate:(xe,d)sf_{update}:(x^e, d)\to s:因为xex^e是从xx简单下采样而来的,直接将xex^e作为xx的近似会有严重的混叠现象(采样导致信号减弱,具体可见原文附录),而且xex^e的均值与xx的均值也不一样。为此,可通过对xex^e加上U(d)\mathcal{U}(d)得到平滑版本ss 公式3保留了尽可能多的输入信息,功能等价于对xx进行低通滤波,因此可将低通过滤后的ss作为原信号的近似。

 实际上,经典的提升方案就是由低通滤波和高通滤波来完成的,通过预设的滤波器将图片分解成四个次频带。但一般来说,以预设滤波器的形式定义P()\mathcal{P}(\cdot)U()\mathcal{U}(\cdot)是很难的。为此,Zheng等人提出通过网络的反向传播来学习滤波器。借用此思路,论文通过1D卷积+非线性激活来实现LiftDownPool中的P()\mathcal{P}(\cdot)U()\mathcal{U}(\cdot)功能:

 为了能够更好地进行端到端地训练,需要对最终的损失函数添加两个约束。首先,ss是从xex^e变化得到的,基本上要跟xex^e相似,添加正则项cuc_u最小化ssxox^o的L2-norm距离:

 另外,P()\mathcal{P}(\cdot)的设想是将xex^e转换为xox^o,所以添加正则项cpc_p最小化细节差异dd

 完整的损失函数为:

Ltask\mathcal{L}_{task}为特定任务的损失函数,如分类或语义分割损失。设置λu=0.01\lambda_u=0.01λp=0.1\lambda_p=0.1,能够给模型带来不错的正则化效果。

  • LiftDownPool-2D

 LiftDownPool-2D可分解成几个LiftDownPool-1D操作。根据标准提升方案,先在水平方向执行LiftDownPool-1D获得ss(水平方向的低频)以及dd(水平方向的高频)。随后对这两部分分别执行垂直方向的LiftDownPool-1D,ss被进一步分解成LL(垂直和水平方向的低频)和LH(垂直方向的低频和水平方向的高频),而dd则被进一步分解成HL(垂直方向的高频和水平方向的低频)和HH(垂直和水平方向的高频)。
用户可灵活选择其中一个或多个次频带作为结果,保留其它次频带用于恢复。一般来说,LiftDownPool-1D可以进一步泛化到n维信号。

 图3为VGG13的首个LiftDownPool层的几个特征输出,LL特征更平滑,细节较少,LH、HL和HH则分别捕捉了水平方向、垂直方向和对角方向的细节。

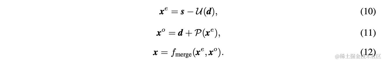
LiftUpPool

 LiftUpPool继承了提升方案的可逆性。继续以1D信号为例,LiftUpPool可从s,ds,d中恢复上采样信号xx

G()=fmergefpredictfupdate()\mathcal{G}(\cdot)=f_{merge}\circ f_{predict}\circ f_{update}(\cdot)包含update、predict、merge函数,即s,dxe,dxe,xoxs,d\to x^e,d\to x^e,x^o\to x

 通过上述公式获得xex^exox^o,进而合成xx,得到包含丰富信息的上采样特征图。
上采样在image-to-image转换中经常使用,比如语义分割,超分辨率和图片上色等任务。但目前大多数池化操作是不可逆的,比如MaxPool上采样的输出较为稀疏且损失大部分的结构信息。而LiftUpPool能对LiftDownPool的输出进行逆转换,借助次频带产出更好的输出。

Compare with MaxPool

 以kernel size=2、stride=2的池化为例,LiftPool和MaxPool的逻辑如图6所示。

  • LiftDownPool vs. MaxPool

 Maxpool选择局部最大值作为输出,会丢失75%的信息,这其中很可能包含了跟图像识别相关的重要信息。
LiftDownPool将特征图分解成次频带LL、LH、HL和HH,其中LL为输入的近似,其它为不同方向的细节信息。LiftDownPool将所有次频带相加作为输出,包含了近似信息和细节信息,能够更高效地用于图像分类。

  • LiftUpPool vs. MaxUpPool

 MaxPool是不可逆的,通过记录的的最大值下标进行MaxUpPool。MaxUpPool将输出的特征图的特征值对应回下标位置,其余均为零,所以恢复的特征图十分稀疏。
LiftDownPool是可逆的,根据提升方案的属性对LiftDownPool进行反向恢复,而且LiftUpPool能生成包含记录的细节的高质量结果。

Experiment


 在CIFAR-100上对比次频带和正则项效果。

 在ImageNet上,搭配不同主干网络上进行对比。

 进行抗干扰数据集测试对比。

 不同数据集上的语义分割性能对比。

 语义分割上采样结果对比。

Conclusion


 论文参考信号处理中提升方案提出双向池化操作LiftPool,不仅下采样时能保留尽可能多的细节,上采样时也能恢复更多的细节。从实验结果来看,LiftPool对图像分类能的准确率和鲁棒性都有不错的提升,而对语义分割的准确性更能有可观的提升。不过目前论文还在准备开源阶段,期待开源后的复现,特别是在速度和显存方面结果。



如果本文对你有帮助,麻烦点个赞或在看呗~
更多内容请关注 微信公众号【晓飞的算法工程笔记】

work-life balance.