2024.3.31每日一题

80 阅读1分钟

LeetCode

验证二叉树的前序序列化

题目链接:331. 验证二叉树的前序序列化 - 力扣(LeetCode)

题目描述

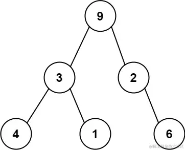
序列化二叉树的一种方法是使用 前序遍历 。当我们遇到一个非空节点时,我们可以记录下这个节点的值。如果它是一个空节点,我们可以使用一个标记值记录,例如 #

img

例如,上面的二叉树可以被序列化为字符串 "9,3,4,#,#,1,#,#,2,#,6,#,#",其中 # 代表一个空节点。

给定一串以逗号分隔的序列,验证它是否是正确的二叉树的前序序列化。编写一个在不重构树的条件下的可行算法。

保证 每个以逗号分隔的字符或为一个整数或为一个表示 null 指针的 '#'

你可以认为输入格式总是有效的

  • 例如它永远不会包含两个连续的逗号,比如 "1,,3"

注意: 不允许重建树。

示例 1:

输入: preorder = "9,3,4,#,#,1,#,#,2,#,6,#,#"
输出: true

示例 2:

输入: preorder = "1,#"
输出: false

示例 3:

输入: preorder = "9,#,#,1"
输出: false

提示:

  • 1 <= preorder.length <= 104
  • preorder 由以逗号 “,” 分隔的 [0,100] 范围内的整数和 “#” 组成

思路

代码

C++

class Solution {
public:
    bool isValidSerialization(string preorder) {
        vector<string> stack;
        istringstream iss(preorder);
        string node;
        while(getline(iss,node,',')){
            stack.push_back(node);
            while(stack.size() >= 3 && stack[stack.size() - 1] == "#"  && stack[stack.size() - 2] == "#" && stack[stack.size() - 3] != "#"){
                stack.pop_back();
                stack.pop_back();
                stack.pop_back();
                stack.push_back("#");
            }
        }
        return stack.size() == 1 && stack[0] == "#";
    }
};

Java

class Solution {
    public boolean isValidSerialization(String preorder) {
        List<String> stack = new ArrayList<>();
        String[] nodes = preorder.split(",");
        for(String node : nodes){
            stack.add(node);
            while(stack.size() >= 3 && stack.get(stack.size() - 1).equals("#") && stack.get(stack.size() - 2).equals("#")
            && !stack.get(stack.size() - 3).equals("#")){
                stack.remove(stack.size() - 1);
                stack.remove(stack.size() - 1);
                stack.remove(stack.size() - 1);
                stack.add("#");
            }
        }
        return stack.size() == 1 && stack.get(0).equals("#");
    }
}