Linux内部外部命令和系统目录结构

83 阅读2分钟

linux内部命令和外部命令

内部命令

1 内部命令和 bash 软件是一体的,bash中集成了很多命令

2 没有独立文件

3 不用独立安装

4 运行在内存里,无需加载

外部命令

1 不在bush中,有独立执行文件

2 需要额外安装

3 系统需要知道 命令文件的位置才可以运行

系统规定几个文件夹 如果命令在这几个文件夹中那么,是不需要写路径的

外部命令一般位于/usr/local/sbin:usr/local/bin:/usr/bin: /root/bin

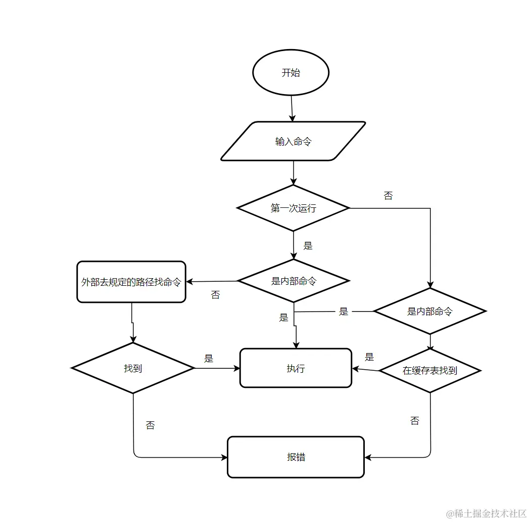
系统识别命令的过程

是否第一次运行

如果是第一次,先判断是内部还是外部,如果是内部直接执行,外部去规定路径找,找到执行,找不到报错

不是第一次运行

先判断内部还是外部,如果是内部直接执行,如果是外部查缓存表,按照缓存表找,如果没有 报错

image.png

linux目录结构

一切皆文件,所有文件都在根目录下 image.png /bin: 普通用户存放二进制文件 命令

/sbin: s 就是 Super User 的意思,是 Superuser Binaries (超级用户的二进制文件) 的缩写,这里存放的是系统管理员使用的系统管理程序。

/boot: 存放启动linux时使用的核心文件,包括一些连接文件和镜像文件

/etc: etc 是 Etcetera(等等) 的缩写,这个目录用来存放所有的系统管理所需要的配置文件和子目录。

/mnt:系统提供该目录是为了让用户临时挂载别的系统文件的,可以将光驱挂载在 /mnt 上可以查看光驱里的内容

/opt
opt 是 optional(可选) 的缩写,这是给主机额外安装软件所摆放的目录。比如你安装一个ORACLE数据库则就可以放到这个目录下。默认是空的。

/proc: /proc 是一种虚拟文件系统,存储的是当前内核运行状态的特殊文件

/root
该目录为系统管理员,也称作超级权限者的用户主目录。

/dev :
dev 是 Device(设备) 的缩写, 该目录下存放的是 Linux 的外部设备,在 Linux 中访问设备的方式和访问文件的方式是相同的。

相对路径与绝对路径

**路径的作用 描述文件在系统中的位置

绝对路径 从根开始描述文件的位置 一定不会找错

相对路径 从当前文件夹开始描述文件位置 有可能出错

绝对路径找文件 image.png

相对路径找文件

image.png