EJNMM | 儿童PET模板癫痫研究

505 阅读3分钟

image.png

PET图像被广泛的用在识别神经疾病,但是因为儿童人群缺少特定的儿童PET模板。这个研究针对发展儿童年龄特定的PET模板,并且进行一个pilot study。

  • pilot study是初步研究,小规模研究;
  • epileptogenic focus癫痫源,大脑中引发癫痫的特定区域。
  • PAPT:pediatric age-specific PET template

作者使用了130个癫痫儿童患者和102个年龄相匹配的对照组。High-resolution PAPT分成了两个年龄段:6-10岁(17例),11-18岁(50例)。

正电子发射断层扫描(PET)成像提供了一种对活体大脑的生理和病理过程进行深入评估的方法,并已广泛用于神经系统疾病的调查研究。目前,PET成像的研究和诊断通常依赖于将图像进行空间标准化,以匹配标准成人大脑模板,以进行组织分割、体素级统计、诊断和疾病分类。然而,由于成人和儿童大脑在形态和代谢上存在较大差异,标准成人模板不适用于儿童PET图像的调查,这可能导致解剖定位错误,从而降低诊断效率。此外,最常用的PET模板是通过对12名健康对照者的15O-H2O PET图像进行平均和平滑处理而得到的,由于15O-H2O和18F-FDG PET图像的强度分布差异很大,SPM模板可能会导致不可避免的定位不准确和18F-FDG PET诊断的灵敏度降低。

众所周知,许多磁共振成像(MRI)研究开发了特定于儿童年龄段的MRI模板,这可以显著改善空间标准化、形态学分析和临床诊断。然而,据我们所知,几乎没有发布用于儿童神经系统疾病诊断的儿童PET脑模板。仅有一项之前的研究报道了基于PET图像与儿童MRI模板之间的线性配准创建的一种自制的儿童18F-FDG PET模板,但线性配准以相同方式转换整个图像,因此可能会在皮层区域模糊解剖细节。此外,之前的研究中MRI模板和PET数据之间的年龄范围没有很好地匹配,这可能由于儿童期间大脑发育迅速,导致空间标准化中引入系统偏差。

因此,在本研究中,我们基于一种非线性优化方法创建了特定于儿童年龄段的18F-FDG PET模板(PAPT),以克服上述问题。我们的模板效率通过在儿童癫痫患者中的癫痫源定位评估,并且与临床诊断比较,并通过对接受癫痫手术的患者的随访进行了验证。

18F-FDG PET/CT图像是通过PET/CT扫描仪(Biograph mCT;西门子医疗解决方案)获得的,而18F-FDG PET/MR图像是通过PET/MR扫描仪(Signa PET/MR;GE Healthcare)获得的。所有受试者至少禁食6小时,以确保扫描前血浆葡萄糖水平小于120 mg/dL。受试者被注射标准剂量的18F-FDG(3.7 MBq/kg),在一个黑暗且安静的环境中休息40分钟,以便于葡萄糖吸收,然后进行了一次持续5分钟的三维脑部扫描。PET图像被重建成一个400×400×400的矩阵,体素大小为1.0毫米×1.0毫米×0.75毫米,并通过供应商进行了衰减校正。

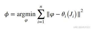
  1. PET影像先计算SUV;
  2. 通过下面公式进行优化PAPTϕ\phi

image.png

其中JiJ_i是不同的PET数据,θi\theta_i是不同的放射变换。

为了更好的表示结构,PAPT增加了形态学约束:最小化形变。

image.png

这个迭代优化的过程需要同时满足两个约束条件,重复配准和重复平均。第t次迭代的template是ϕt\phi^t.

image.png

未完待续