高精度原边控制电路D3820,内置前沿消隐(LEB),全电压范围CC/CV精度保持在±5%以内

52 阅读2分钟

概 况

D3820是一款高精度原边控制离线式PWM功率开关。本文主要介绍D3820的特征和详细的工作原理,对反激式隔离AC-DC开关电源提供较为详细的测试过程。

特 点

1、全电压范围CC/CV精度保持在±5%以内

2、用原边控制,无需TL431和光耦

3、欠压锁定(UVLO)及自动重启

4、驱动BJT

5、内置前沿消隐(LEB)

6、逐周期限流模式

7、输出线压降补偿

8、内置原边绕组电感补偿

9、VDD 过压保护功能

10、内置短路保护

11、SOT23-6无铅封装

应用领域推荐

1、手机充电器

2、PDA、数码相机充电器

3、LED驱动电源

4、PC、TV等辅助电源

5、线性电源/RCC替代方案

6、兼容OB2520

D3820基本参数

应用图及测试结果

1、电源调整线性度测试结果如下(输出电流 400MA):

2、输出电压负载线性度:(VINAC=200V)

3、电流检测和前沿消隐:

D3820内部有逐周期限流功能,开关电流通过CS脚上的RS电阻进行采样,CS内部设计了最大峰值电压。因此,三极管上的最大电流为:

D3820内置的前沿消隐时间用来防止在BJT开关导通时刻被误触发而关断。因此,不需要CS端在增加额外的RC滤波电路。

保护点情况:

4、线损补偿测试:

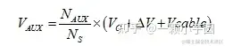
随着负载电流的增加,导线上的电压降也会增加,导致输出电压的减小。D3820内置的线损补偿电路能够补偿导线的损耗压降,从而稳定输出电压。当引入了导线损耗压降以后,辅助绕组反射输出电压的计算公式:

其中:Vcable为导线上的损耗压降。

D3820内部设计了Icable,为了补偿导线上的损耗压降。具体计算公式如下:

因此,输出线损失的电压可以得到补偿。当负载从满载减小到空载,FB的失调电压增加,所以通过调整 R1 和 R2 阻值,可实现各种输出线压降补偿。

输出端为标准的1.2M输出线:

结 论

我司D3820可作为10W以下小功率、低待机功耗的电源替代。