RabbitMQ的第一个程序

132 阅读9分钟

RabbitMQ的第一个程序

demo

gitee.com/w--kk/rabbi…

AMQP协议的回顾

image.png

  • 图中的虚拟主机可以想象成关系型数据库中库的概念,为每个应用建立一个虚拟主机。
  • 虚拟主机的权限设置需要和用户进行绑定。

RabbitMQ支持的消息模型

RabbitMQ Tutorials | RabbitMQ

image.png

image.png

image.png

引入依赖

<dependency>
    <groupId>com.rabbitmq</groupId>
    <artifactId>amqp-client</artifactId>
    <version>5.7.2</version>
</dependency>

新建虚拟主机,类似于数据库,用来给项目做一一映射,给不同的项目建立不同的虚拟主机。

image.png

给虚拟主机添加用户

image.png

给用户绑定虚拟主机

image.png

image.png

当前的ems用户就可以访问虚拟主机了 image.png

第一种模型(直连)

image.png

这种模型一次只允许一个消费者消费,适合登录或注册成功后发短信。

在上图的模型中,有以下概念:

  • P:生产者,也就是要发送消息的程序
  • C:消费者:消息的接受者,会一直等待消息到来。
  • queue:消息队列,图中红色部分。类似一个邮箱,可以缓存消息;生产者向其中投递消息,消费者从其中取出消息。

启动rabbitmq : systemctl start rabbitmq-server

1. 开发生产者

 //创建连接工厂
  ConnectionFactory connectionFactory = new ConnectionFactory();
  connectionFactory.setHost("10.15.0.9");
  connectionFactory.setPort(5672);
  connectionFactory.setUsername("ems");
  connectionFactory.setPassword("123");
  connectionFactory.setVirtualHost("/ems");
  Connection connection = connectionFactory.newConnection();
  //创建通道
  Channel channel = connection.createChannel();
  //参数1: 是否持久化  参数2:是否独占队列 参数3:是否自动删除  参数4:其他属性
  channel.queueDeclare("hello",true,false,false,null);
  channel.basicPublish("","hello", null,"hello rabbitmq".getBytes());
  channel.close();
  connection.close();

image.png

2. 开发消费者

//创建连接工厂
  ConnectionFactory connectionFactory = new ConnectionFactory();
  connectionFactory.setHost("10.15.0.9");
  connectionFactory.setPort(5672);
  connectionFactory.setUsername("ems");
  connectionFactory.setPassword("123");
  connectionFactory.setVirtualHost("/ems");
  Connection connection = connectionFactory.newConnection();
  Channel channel = connection.createChannel();
  channel.queueDeclare("hello", true, false, false, null);
  channel.basicConsume("hello",true,new DefaultConsumer(channel){
    @Override
    public void handleDelivery(String consumerTag, Envelope envelope, AMQP.BasicProperties properties, byte[] body) throws IOException {
      System.out.println(new String(body));
    }
  });

Junit测试不支持多线程模型,把消费者写到junit没办法让消费者去监听,所以要换成main函数去测试。消费者不像生产者是生产完消息就完事了,消费者要一直去监听消息

3. 参数的说明

 channel.queueDeclare("hello",true,false,false,null);
	'参数1':用来声明通道对应的队列
  '参数2':用来指定是否持久化队列
  '参数3':用来指定是否独占队列
  '参数4':用来指定是否自动删除队列
  '参数5':对队列的额外配置

Rabbitmq的api参数细节

队列持久化

image.png

如果不持久化队列,则重启rabbitmq后队列会消失。
durable仅仅是表示队列的持久化,并不表示队列里的消息也持久化,队列中的消息可能消失。

image.png

如何对队列中的消息持久化?

image.png

生产者生成的队列和消费者消费的队列特性必须严格一致。

第二种模型(work quene)

Work queues,也被称为(Task queues),任务模型。当消息处理比较耗时的时候,可能生产消息的速度会远远大于消息的消费速度。长此以往,消息就会堆积越来越多,无法及时处理。
此时就可以使用work 模型:让多个消费者绑定到一个队列,共同消费队列中的消息。队列中的消息一旦消费,就会消失,因此任务是不会被重复执行的。

image.png

角色:

  • P:生产者:任务的发布者
  • C1:消费者-1,领取任务并且完成任务,假设完成速度较慢
  • C2:消费者-2:领取任务并完成任务,假设完成速度快

启动rabbitmq : systemctl start rabbitmq-server

1. 开发生产者

channel.queueDeclare("hello", true, false, false, null);
for (int i = 0; i < 10; i++) {
  channel.basicPublish("", "hello", null, (i+"====>:我是消息").getBytes());
}

2. 开发消费者-1

channel.queueDeclare("hello",true,false,false,null);
channel.basicConsume("hello",true,new DefaultConsumer(channel){
  @Override
  public void handleDelivery(String consumerTag, Envelope envelope, AMQP.BasicProperties properties, byte[] body) throws IOException {
    System.out.println("消费者1: "+new String(body));
  }
});

3. 开发消费者-2

channel.queueDeclare("hello",true,false,false,null);
channel.basicConsume("hello",true,new DefaultConsumer(channel){
  @Override
  public void handleDelivery(String consumerTag, Envelope envelope, AMQP.BasicProperties properties, byte[] body) throws IOException {
    try {
      Thread.sleep(1000);   //处理消息比较慢 一秒处理一个消息
    } catch (InterruptedException e) {
      e.printStackTrace();
    }
    System.out.println("消费者2: "+new String(body));  
  }
});

4. 测试结果

image.png

image.png

总结: 默认情况下,RabbitMQ将按顺序将每个消息发送给下一个使用者。平均而言,每个消费者都会收到相同数量的消息。这种分发消息的方式称为循环

5. 消息自动确认机制

Doing a task can take a few seconds. You may wonder what happens if one of the consumers starts a long task and dies with it only partly done. With our current code, once RabbitMQ delivers a message to the consumer it immediately marks it for deletion. In this case, if you kill a worker we will lose the message it was just processing. We'll also lose all the messages that were dispatched to this particular worker but were not yet handled.
But we don't want to lose any tasks. If a worker dies, we'd like the task to be delivered to another worker.

channel.basicQos(1);//一次只接受一条未确认的消息
//参数2:关闭自动确认消息
channel.basicConsume("hello",false,new DefaultConsumer(channel){
  @Override
  public void handleDelivery(String consumerTag, Envelope envelope, AMQP.BasicProperties properties, byte[] body) throws IOException {
    System.out.println("消费者1: "+new String(body));
    channel.basicAck(envelope.getDeliveryTag(),false);//手动确认消息
  }
});
  • 设置通道一次只能消费一个消息
  • 关闭消息的自动确认, 开启手动确认消息

Rabbitmq中消息确认机制和能者多劳的实现

一般在实际使用中不推荐自动消息确认
因为如果消息自动确认机制为true, 有5个完整消息,消费到3个消息,自己宕机,自己死了,2个消息丢失

image.png

每次只消费一个消息
image.png

image.png

第三种模型(fanout)

fanout 扇出 也称为广播

image.png

在广播模式下,消息发送流程是这样的:

  • 可以有多个消费者
  • 每个消费者有自己的queue(队列)
  • 每个队列都要绑定到Exchange(交换机)
  • 生产者发送的消息,只能发送到交换机,交换机来决定要发给哪个队列,生产者无法决定。
  • 交换机把消息发送给绑定过的所有队列
  • 队列的消费者都能拿到消息。实现一条消息被多个消费者消费

1. 开发生产者

//声明交换机
channel.exchangeDeclare("logs","fanout");//广播 一条消息多个消费者同时消费
//发布消息
channel.basicPublish("logs","",null,"hello".getBytes());

2. 开发消费者-1

//绑定交换机
channel.exchangeDeclare("logs","fanout");
//创建临时队列
String queue = channel.queueDeclare().getQueue();
//将临时队列绑定exchange
channel.queueBind(queue,"logs","");
//处理消息
channel.basicConsume(queue,true,new DefaultConsumer(channel){
  @Override
  public void handleDelivery(String consumerTag, Envelope envelope, AMQP.BasicProperties properties, byte[] body) throws IOException {
    System.out.println("消费者1: "+new String(body));
  }
});

3. 开发消费者-2

//绑定交换机
channel.exchangeDeclare("logs","fanout");
//创建临时队列
String queue = channel.queueDeclare().getQueue();
//将临时队列绑定exchange
channel.queueBind(queue,"logs","");
//处理消息
channel.basicConsume(queue,true,new DefaultConsumer(channel){
  @Override
  public void handleDelivery(String consumerTag, Envelope envelope, AMQP.BasicProperties properties, byte[] body) throws IOException {
    System.out.println("消费者2: "+new String(body));
  }
});

4. 开发消费者-3

//绑定交换机
channel.exchangeDeclare("logs","fanout");
//创建临时队列
String queue = channel.queueDeclare().getQueue();
//将临时队列绑定exchange
channel.queueBind(queue,"logs","");
//处理消息
channel.basicConsume(queue,true,new DefaultConsumer(channel){
  @Override
  public void handleDelivery(String consumerTag, Envelope envelope, AMQP.BasicProperties properties, byte[] body) throws IOException {
    System.out.println("消费者3: "+new String(body));
  }
});

5. 测试结果

image.png

image.png

image.png

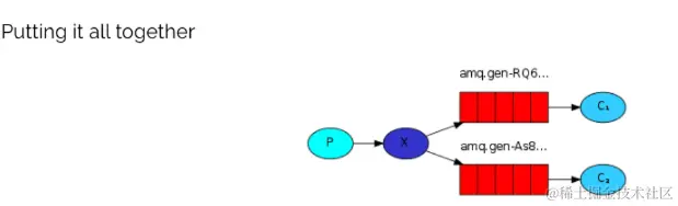
第四种模型(Routing)

Routing 之订阅模型-Direct(直连)

在Fanout模式中,一条消息,会被所有订阅的队列都消费。 但是,在某些场景下,我们希望不同的消息被不同的队列消费。这时就要用到Direct类型的Exchange。

在Direct模型下:

  • 队列与交换机的绑定,不能是任意绑定了,而是要指定一个RoutingKey(路由key)
  • 消息的发送方在 向 Exchange发送消息时,也必须指定消息的 RoutingKey
  • Exchange不再把消息交给每一个绑定的队列,而是根据消息的Routing Key进行判断,只有队列的Routingkey与消息的 Routing key完全一致,才会接收到消息

流程:

image.png

图解:

  • P:生产者,向Exchange发送消息,发送消息时,会指定一个routing key。
  • X:Exchange(交换机),接收生产者的消息,然后把消息递交给 与routing key完全匹配的队列
  • C1:消费者,其所在队列指定了需要routing key 为 error 的消息
  • C2:消费者,其所在队列指定了需要routing key 为 info、error、warning 的消息

1. 开发生产者

//声明交换机  参数1:交换机名称 参数2:交换机类型 基于指令的Routing key转发
channel.exchangeDeclare("logs_direct","direct");
String key = "";
//发布消息
channel.basicPublish("logs_direct",key,null,("指定的route key"+key+"的消息").getBytes());

2. 开发消费者-1

//声明交换机
channel.exchangeDeclare("logs_direct","direct");
//创建临时队列
String queue = channel.queueDeclare().getQueue();
//绑定队列和交换机
channel.queueBind(queue,"logs_direct","error");
channel.queueBind(queue,"logs_direct","info");
channel.queueBind(queue,"logs_direct","warn");

//消费消息
channel.basicConsume(queue,true,new DefaultConsumer(channel){
  @Override
  public void handleDelivery(String consumerTag, Envelope envelope, AMQP.BasicProperties properties, byte[] body) throws IOException {
    System.out.println("消费者1: "+new String(body));
  }
});

3. 开发消费者-2

//声明交换机
channel.exchangeDeclare("logs_direct","direct");
//创建临时队列
String queue = channel.queueDeclare().getQueue();
//绑定队列和交换机
channel.queueBind(queue,"logs_direct","error");
//消费消息
channel.basicConsume(queue,true,new DefaultConsumer(channel){
  @Override
  public void handleDelivery(String consumerTag, Envelope envelope, AMQP.BasicProperties properties, byte[] body) throws IOException {
    System.out.println("消费者2: "+new String(body));
  }
});

4. 测试生产者发送Route key为error的消息时

image.png

customer1
image.png

customer2
image.png

5. 测试生产者发送Route key为info的消息时

发送info消息
image.png

customer1的消息为error
image.png

customer2的消息包含了info
image.png

测试结果
customer1
image.png

customer2
image.png

Routing 之订阅模型-Topic

Topic类型的ExchangeDirect相比,都是可以根据RoutingKey把消息路由到不同的队列。只不过Topic类型Exchange可以让队列在绑定Routing key 的时候使用通配符!这种模型Routingkey 一般都是由一个或多个单词组成,多个单词之间以”.”分割,例如: item.insert

image.png

统配符
* (star) can substitute for exactly one word.   匹配不多不少恰好1个词
# (hash) can substitute for zero or more words.   匹配一个或多个词

1. 开发生产者

//生命交换机和交换机类型 topic 使用动态路由(通配符方式)
channel.exchangeDeclare("topics","topic");
String routekey = "user.save";//动态路由key
//发布消息
channel.basicPublish("topics",routekey,null,("这是路由中的动态订阅模型,route key: ["+routekey+"]").get`Bytes());

2. 开发消费者-1

Routing Key中使用*通配符方式

 //声明交换机
channel.exchangeDeclare("topics","topic");
//创建临时队列
String queue = channel.queueDeclare().getQueue();
//绑定队列与交换机并设置获取交换机中动态路由
channel.queueBind(queue,"topics","user.*");

//消费消息
channel.basicConsume(queue,true,new DefaultConsumer(channel){
  @Override
  public void handleDelivery(String consumerTag, Envelope envelope, AMQP.BasicProperties properties, byte[] body) throws IOException {
    System.out.println("消费者1: "+new String(body));
  }
});

3. 开发消费者-2

Routing Key中使用#通配符方式

//声明交换机
channel.exchangeDeclare("topics","topic");
//创建临时队列
String queue = channel.queueDeclare().getQueue();
//绑定队列与交换机并设置获取交换机中动态路由
channel.queueBind(queue,"topics","user.#");

//消费消息
channel.basicConsume(queue,true,new DefaultConsumer(channel){
  @Override
  public void handleDelivery(String consumerTag, Envelope envelope, AMQP.BasicProperties properties, byte[] body) throws IOException {
    System.out.println("消费者2: "+new String(body));
  }
});

4. 测试结果

image.png

image.png