继电保护原理1.1-电流、方向保护

1,153 阅读48分钟

目录:

第1章 绪论

1.1 电力系统继电保护的作用

1.继电保护的含义

2.电力系统的故障和不正常运行状态:(三相交流系统)

1.2 继电保护的基本原理、构成与分类

1.2.1 基本原理

1.2.2 保护装置的构成

1.2.3 继电保护的分类

1.3 对电力系统继电保护的基本要求

1.3.1 选择性

1.3.2 速动性

1.3.3 灵敏性

1.3.4 可靠性

1.4 继电保护的发展

第2章 电网的电流保护和方向性电流保护

2.1 单侧电源网络相间短路的电流保护

2.1.1 反应单一电气量的继电器

一、电磁型电流继电器

2.1.2 电流速断保护

一、同个基本概念

二、电流速断保护原理及整定计算

2.1.3 限时电流速断保护

一、保护的原理及基本工作原理

二、整定计算的基本原则

2.1.4 定时限过电流保护

一、工作原理和整定计算的基本原则

二、小结

三、阶段式电流保护的整定计算原则

四、例题

2.1.7 电流保护的接线方式

1、含义

2、常用的两种接线方式

3、两种接线方式的性能比较

4、两种接线方式的应用

2.1.8 阶段式电流保护的应用与评价

一、评价

二、应用范围

2.2 电网相间短路的方向性电流保护

2.2.1 方向性电流保护的工作原理

一、问题的提出

二、几个概念

三、原因分析

四、解决方法

2.2.2 功率方向继电器的工作原理

一、功率方向继电器的工作原理

三、功率方向继电器的动作特性

2.2.4 相间短路功率方向继电器的接线方式

一、功率方向继电器的接线方式

二、相间短路情况下90°接线功率方向继电器动作行为分析

2.2.5 双侧电源网络中电流保护整定的特点

一、电流速断保护

二、限时电流速断保护

三、定时限过电流保护

2.2.6 对方向性电流保护的评价

2.3 中性点直接接地电网中接地短路的零序电流及方向保护

2.3.1 零序电压滤过器

2.3.2 零序电流滤过器

2.3.3 零序电流速断保护(零序一段)

2.3.4 零序电流限时速断保护(零序二段)

2.3.5 零序电流限时速断保护(零序三段)

2.3.6 方向性零序电流保护

一、方向性零序电流保护工作原理

二、零序功率方向继电器的接线方式

三、三段式方向性零序电流保护的原理接线

2.3.7 对零序电流保护的评价

2.4 中性点非直接接地电网中单相接地故障的零序电压、电流及方向保护

2.4.1 中性点不接地系统的单相接地的特点

1、单电源单线路系统的单相接地

2、单电源多线路系统的单相接地


下续:继电保护原理1.2-反时限过流保护


第1章 绪论

1.1 电力系统继电保护的作用

1.继电保护的含义

它包括继电保护技术和继电保护装置

继电保护技术是一个完整的体系,它主要包括电力系统故障分析、各种继电保护原理及实现方法、继电保护的设计、继电保护运行及维护等技术。

继电保护装置是完成保护功能的核心。它能反应电力系统中电气元件发生故障或不正常状态,并动作于断路器跳闸或发出信号的一种自动装置。


2.电力系统的故障和不正常运行状态:(三相交流系统)

*故障:各种短路(三相短路d(3)、两相短路d(2)、单相接地d(1)、两相接地d(1-1))和断线(单相、两相)

其中最常见且最危险的是各种类型的短路。

短路的危害

-1.电流I增加 与外界通过短路点的隔离,因此阻抗值明显减小,I^2Rt发热量按I^2级数增加。

-2.电压U降低或增加 电压下降会使电动机的转速下降,影响用户的正常工作

-3.破坏系统稳定性,由于有短路点,使有功功率和无功功率的输送受到限制,使事故进一步扩大(系统震荡,电压崩溃)

-4.发生不对称故障时,出现负序电压、I2负序电流,产生反转磁场切割电机转子绕组部分,在绕组上产生差频电流,使旋转电机产生附加发热;发生接地故障时会出现零序分量I0,除发热外,由于其大小相等,方向相同,在空间中产生的磁场不会相互抵消,对相邻通讯系统造成干扰。

*不正常运行状态:

电力系统中电气元件的正常工作遭到破坏,但没有发生故障的运行状态,如:过负荷、过电压、频率降低、系统振荡等。电能指标中电压在正常状态允许±5%,事故状态允许±10%。


3.断电保护的作用

故障时自动、迅速、有选择性的将故障元件从电力系统中切除,使故障元件免于继续遭到破坏,保证其它无故障设备迅速恢复正常运行;

不正常运行状态,根据运行维护的条件(例如有无经常值班人员)而动作于发出告警信号、减负荷或延时跳闸。

1.2 继电保护的基本原理、构成与分类

1.2.1 基本原理

原则上来说:只要找出正常运行与故障时系统中电气量或非电气量的变化特征(差别),即可找出一种原理,且差别越明显,保护性能越好。

为区分系统正常运行与故障或不正常运行状态—必须找出两种情况下的区别。

-I增加 故障点与电源间 -->过电流保护

-U降低 母线电压  -->低电压保护

-相位变化

正常:为负荷的功率因数(电压与电流的夹角)一般为0-30度左右

短路:为输电线路的阻抗角一般60-80度  -->方向保护

-测量阻抗(U/I)降低,模值减少  -->阻抗保护,对输电线路又叫距离保护

-双侧电源线路外部故障I入=I出:内部故障I入≠I出  -->电流差动保护

-反映负序、零序的序分量保护等  -->序分量保护

-非电气量:瓦斯保护、过热保护


1.2.2 保护装置的构成

-以过电流保护为例

编辑

一般则测量部分、逻辑部分和执行部分三个部分构成。

编辑

 -测量部分:测量从被保护对象输入的有关物理量(如电流、电压、阻抗、功率等)并与给定的整定值进行比较,根据比较结果给出“是”、“非”、“大于”、“不大于”等具有“0”或“1”性质的一组逻辑信号,从而判断保护是否该动作。

-逻辑部分:根据测量部分输出量的大小、性质、输出的逻辑状态、出现的顺序或它们的组合,使保护装置按一定的布尔逻辑及时序逻辑工作,最后确定是否应跳闸或发信号,并将有关命令传给执行元件 。

逻辑回路有:与、或、非、延时动作、延时返回、记忆等。

-执行元件:根据逻辑元件传送给的信号,最后完成保护装置所担负的任务。

故障时->跳闸;不正常运行时->发告警信号;正常运行时->不动作


1.2.3 继电保护的分类

按照保护原理分类

过电流保护,低电压保护,高(过)电压保护 大容量、超高压设备,绝缘余度较低,功率方向保护,阻抗(距离)保护,差动保护,暂态分量保护,非电气量保护。


按照故障类型分类

相间故障保护,接地故障保护:单相接地故障、两相接地故障,匝间短路保护(对于有绕组的设备),非全相运行保护等,断线保护。


按照保护所起的作用分类

主保护

-满足系统稳定和设备安全要求,能以最快速度有选择地切除被保护设备和线路故障的保护

后备保护[近后备、远后备(离发电机越近,相对于主保护越远)]

-主保护或断路器拒动时用来切除故障的保护

辅助保护

-为补充主保护和后备保护的性能或当主保护和后备保护退出运行而增设的简单保护


按照被保护设备分类(厂家按此生产相应产品)

线路保护,发电机变压组保护,变压器保护,母线保护,断路器失灵保护,电动机保护等


按照保护装置的硬件结构分类

电磁型保护,晶体管保护,集成电路型保护,微机型保护

1.3 对电力系统继电保护的基本要求

对于反映电力系统故障而作用于断路器的跳闸的继电保护,电力系统对其的基本要求为具有选择性、速动性、灵敏性和可靠性(四性)。

1.3.1 选择性

指继电保护动作时,仅将故障元件或线路从电力系统中切除,使系统无故障部分继续运行。

选择性就是故障点区内就动作,区外不动作。

当主保护未动作时,由近后备或远后备切除故障,使停电面积最小。


1.3.2 速动性

指继电保护以允许而又可能(保证选择性要求,同时又实现自身逻辑判断)的最快速度动作于断路器的跳闸。

快速切除故障的好处:1提供系统稳定性;2减少用户在低电压的动作时间(电动机的电磁转距和其电压的平方呈正比例关系,电压下降,转速下降甚至停转);3减少故障元件的损坏程序,避免故障进一步扩大,I^2RT,T越小,产生的热量越小。

-一般的快速保护动作时间为0.06-0.12S,最快可达0.01-0.04S

-一般的断路器动作时间为0.06-0.15S,最快可达0.02-0.06S

-切除故障的最快时间为:0.03-0.1S


1.3.3 灵敏性

继电保护对设计规定的保护范围内发生故障及异常运行状态的反应能力。

-灵敏性一般指在最不利(最接近正常的情况)的条件下,保护装置对故障的反应能力

-对反应于数值上升而动作的过量保护(如电流保护) K1m=Idmin/Idt>1

-对反应于数值下降而动作的欠量保护(如低电压保护) K1m=Udt/Udmax>1


1.3.4 可靠性

不拒动、不误动

影响可靠性有内在和外在的因素:

-内在:装置本身的质量,包括元件好坏、结构设计的合理性、制造工艺水平、内外接线简明,触点多少等;

-外在:运行维护水平、安装调试是否正确


以选择性为出发点,满足选择性的前提下,尽量缩短时间,以灵敏性检验保护的优劣,而可靠性是基本也是最重要的要求了。

1.4 继电保护的发展

编辑

 

编辑

对于微机型,其硬件是物质平台,固件是技术。继电保护及自动装置技术未来趋势是向计算机化,网络化,一体化发展。

第2章 电网的电流保护和方向电流保护

2.1 单侧电源网络相间短路的电流保护

输电线路发生相间短路时,电流会突然增大,故障相间的电压会降低。利用电流会这一特征,就可以构成电流保护。

电流保护主要包括:

-无时限电流速断保护 电流段

-限时电流速断保护 电流段

-定时限过电流保护 电流段

2.1.1 反应单一电气量的继电器

一、电磁型电流继电器

实现电流保护的基本元件,反应于一个电气量而动作的简单继电器的典型。参数有:动作电流、返回电流、返回系数、继电特性。

电磁型继电器动作分析

编辑

返回系数:

编辑

返回电流Ire与启动电流Iop的比值。

动作电流:使继电器动作的最小电流值;

返回电流:使继电器返回原位的最大值;

辅助继电器:时间继电器KT、中间继电器KM、电磁型信号继电器KS。

2.1.2 电流速断保护

仅反应电流增大而能瞬时动作切除故障的保护,称为电流速断保护,也称为无时限速断保护(也称电流段)

一、同个基本概念

1.短路电流与故障点位置的关系

三相短路电流计算如下图,在同一点发生故障时短路电流最大(1投入所有设备、三相短路)与最小(2投放部分设备、两相短路)对应的曲线,其它情况在这两条曲线之间;故障点离电源越远,流过互感器的电流越小,否则越大。

编辑

-1)系统最大运行方式

-在被保护末端发生短路(同一种故障类型)时,系统等值阻抗最小(并联设备越多),通过保护装置的短路电流为最大的运行方式。

-2)系统最小运行方式

-在同样短路条件下,系统等值阻抗最大(投入的设备较少,并联设备较少),通过保护装置的电流为最小的运行方式。

-3)最大短路电流:在最大运行方式下三丰短路时通过保护装置的电流为最大,称之为最大短路电流

-4)最小短路电流:在最小运行方式下两相短路时,通过保护装置的短路电流最小,称之为最小短路电流


2.保护装置的整定

-1)保护装置的起动值

-对因电流升高而动作的电流保护来讲,使起动保护装置的最小电流值称为起动电流

-保护装置的起动值是用电力系统的一次侧参数表示的,当一次侧的短路电流达到这个数值时,安装在该处的这套保护装置就能起动

-2)保护装置的整定

-所谓整定就是根据对继电保护的基本要求,确定保护装置的起动值(一般是指电力系统一次侧的参数)、灵敏性、动作时限等过程


二、电流速断保护原理及整定计算

-1.基本原理

编辑

-以保护2为例,

当本线路末端d1点短路时,希望速断保护2能瞬时动作切除故障

相邻线路(不是母线)的始端(习惯上又称为出口处) d2点短路时,按照选择性的要求。速断保护2就不应该动作,因为该处的故障应由速断保护1动作切除。但d1和d2两处可认为是同一点。

-优先保证动作的选择性

从保护装置起动参数的整定上保证下一条线路出口处短路时不起动,在继电保护技术中,这又称为按躲过下一条线路出口处短路的条件整定。一般情况下速断保护只保护被保护线路的一部分。


-2.整定计算

-1)动作电流

整定原则:保护装置的起动电流应按躲过下一条线路出口处通过保护的最大短路电流(最大运行方式下的三相短路电流)来整定。

编辑


-3.保护的灵敏性

-用保护范围的大小来衡量,通常用线路全长的百分数来表示

-由上图可见,当系统为最大运行方式时,电流速断保护范围为最大

-当出现系统最小运行方式下的两相短路时,电流速断保护的保护范围最小

-一般情况下,应按最小运行方式、两相短路电流来校验其保护范围

最大保护范围Lmax≥50%

最小保护范围Lmin≤15%L无意义


-4.特点

优点:动作迅速,简单可靠

缺点:不能保护线路全长,单独使用不能作为主保护,保护范围直接受系统运行方式变化的影响

当系统运行方式变化很大,或被保护线路的长度很短时,速断保护就可能没有保护范围,因而不能采用。

2.1.3 限时电流速断保护

限时电流速断保护(也称为电流段):能以较小的时限快速切除全线路范围以内的故障的保护。

一、保护的原理及基本工作原理

1、要求

-1)在任何情况下都能保护本线路的全长,并具有足够的灵敏性,

-2)在满足上述要求 的前提下,具有最小的动作时限

2、特点

-能保护线路全长,快速切除故障,兼作电流速断保护的后备

3、工作原理

-保护范围必须要延伸到下一条线路中去,当下一条线路出口处发生短路时,保护起动

-为了保证动作的选择性,就必须使保护的动作带有一定的时限

-为了尽量缩短时限,其保护范围不超出下一条线路速断保护的范围

编辑

如上图处发生故障,保护1和保护2都有反应,保护1的段动作于跳闸,线路上没有电流,保护2的段不再动作,打了个时间差。


二、整定计算的基本原则

-1.动作电流

整定原则:保护装置的起动电流应按躲过下一条线路电流速断保护范围末端发生短路时最大短路电流(或躲过下一条线路电流段的整定值)

编辑

可靠系数

编辑

,这里的系数比速断保护要小,因为有个时限,故直流分量、短路电流中的二次谐波分量已衰竭。

-2.动作时限的选择


限时速断的动作时限应选择得比下一条线路电流速断保护的动作时间高出一个时间阶段

编辑

Δt的大小与断路器跳闸时间、时间继电器动作时间的误差、延时返回的惯性时间等有关,一般取0.5S。

编辑


-3.限时电流速断保护动作的配合

当线路上装设了电流速断和限时速断保护以后,它们的联合工作就可保证线路范围内的故障都能在0.5S的时间以内予以切除。


-4.保护装置灵敏性校验

-为了能保护本线路全长,限时电流速断保护必须在系统最小运行方式下,线路末端发生两相短路时,具有足够的反应能力。

-通常用灵敏来衡量Kim=Idmin/Idz

-1)灵敏系数的计算

-一般采用最小运行方式下发生两相短路时的短路电流来计算

编辑

(B点发生故障时最小电流)

-保证灵敏系数的大于1的原因

(1)可能为非金属性短路,使短路电流减小

(2)实际的短路电流小于计算值

(3)电流互感器引起的负误差

(4)保护装置中的继电器可能具有的正误差

(5)考虑一定的裕量

-2)灵敏度不满足要求时的调整

动作电流

编辑

,延长保护范围,电流降低

动作时限

编辑

2.1.4 定时限过电流保护

定时限过电流保护(也称电流段):指其起动电流按照躲开最大负荷电流来整定的一种保护装置。

-保护作用

作为本线路主保护的近后备以及相邻线下一线路保护的远后备。即保护本线路和下一条线路。

一、工作原理和整定计算的基本原则

1、工作原理

-正常不应该动作,短路时起动并以时间来保证动作的选择性。

2、整定计算的基本原则

-1、动作电流

整定原则:按躲过本线路最大负荷电流来整定。同时保证在外部故障切除后,保护装置能返回。

编辑

编辑

线路2发生故障时,线路上的电压下降,电动机转速下降甚至停转;断路器2动作于跳闸,线路1上的电压上升,电动机开始运转,其电流大于额定电流数倍;返回电流>最大自启动电流,故还要乘以自启动系数。

保护装置的起动电流 

编辑

(Kk*Kzq/Kh>1)

可靠系数

编辑


-2、动作时限的选择
保护装置的选择性只有依靠使各保护装置带有不同的时限来满足。

阶梯原则整定,即t上=t下+Δt

动作时限与流过电流大小无关。

编辑

 f1点故障,断路器1的时间最短,动作于跳闸。

-一般说来,任一过电流保护的动作时限,应选择得比相邻各元件保护的动作时限均高出至少一个Δt,只有这样才能充分保证动作的选择性。即t上=max{ti下}+Δt

编辑

f1点发生故障,主保护拒动,断路器4的动作时间比断路器3的动作时间大一个t;

电动机回路发生故障,断路器1动作于跳闸;

变压器回路发生故障,断路器2动作于跳闸;

取断路器1、2、3最长的时间+Δt。


4、保护装置灵敏性校验——灵敏系数的计算

-1)本线路近后备:

-采用最小运行方式下本线路末端两相短路时的短路电流来校验,即

编辑

-2)下一条线路远后备

-采用最小运行方式下相邻线路末端两相短路时的电流进行校验,即

编辑


二、小结

-段动作电流值按照躲过本线路最大短路电流整定,段动作电流值按照躲过下一条线路段保护的整定值,段保护按照躲过负荷电流来整定,所以第段的动作电流比第、段的动作电流小得多,其灵敏度比第、段更高;

-在后保护之间,只有灵敏系数和动作时限都互相配合时,才能保证选择性;

-保护范围是本线路和相邻下一线路全长;

-电网末端第段的动作时间可以是保护中所有元件的固有动作时间之和(可瞬时动作),故可不设电流速断保护;末端线路保护亦可简化(+或+),越接近电源,动作时间越长,应设三段保护。


三、阶段式电流保护的整定计算原则

1、电流速断保护

以保护范围衡量,最大保护范围≥50%L,最小保护范围>15%L。

2、限时电流速断保护

不是以保护范围衡量,是以本线路末端能不能反应,用灵敏系数计算来衡量。

3、定时限过电流保护

以负荷电流衡量


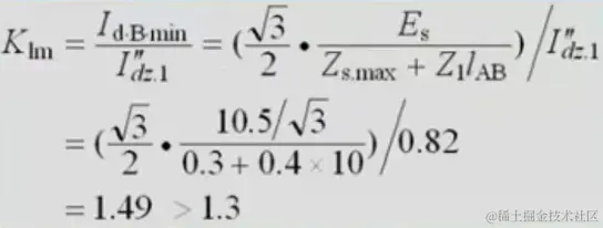
四、例题

1、如图所示网络和已知条件,试对保护1进行三段式电流保护整定计算。

设Z1=0.5R/km,K'k=1.25,K"k=1.1,Kk=1.2,Kzq=1.5,Kh=0.85,t3.max=0.5S

编辑

1、保护1电流段整定计算

(1)动作电流

编辑

平均额定电压=10KV*1.05=10.5KV,10.5是线电压,由于保护是按相工作,同是阻抗也是对应每一相阻抗值。

(2)动作时限 0S

(3)灵敏校验

-在最大运行方式下发生三相短路时的保护范围为

编辑

-最小运行方式下发生两相短时的保护范围为

编辑


2、保护1电流段整定计算

(1)动作电流

编辑

(2)动作时限 应比相邻线路保护2的段动作时限高一个时限差Δt

编辑

(3)灵敏系数校验 利用最小运行方式下本线路末端(即B母线处)发生两相金属性短路保护的电流(两相短路电流=根号3/2*三相短路电流)来校验,即

编辑


3、保护1电流段整定计算

(1)动作电流

编辑

(2)动作时限

编辑


4、灵敏系数校验

1)作近后备时

编辑

2)作远后备时

编辑

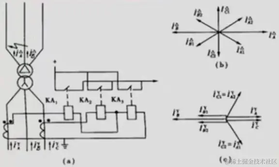
2.1.7 电流保护的接线方式

1、含义

-指保护中电流继电器与电流互感器二次线圈之间的连接方式

-接线系数指流入电流继电器的电流与电流互感器二次侧电流的比值

2、常用的两种接线方式

-分类:对相间短路的电流保护,目前广泛使用的是

三相星形接线(也称为完全星形接线)

编辑

两相星形接线(也称为不完全星形接线)

编辑

-1)三相星形接线的特点

(1)每相上均有CT(TA)和LJ(KA),均为Y形接线

(2)LJ触点并联(或)

(3)接线系数为1

(4)可以反应各种相间短路和中性点直接接地电网中的单相接地短路

-2)两相星形接线的特点

(1)仅在两相上装设CT和LJ,构成不完全Y形接线

(2)LJ的触点并联(或),通常接A、C

(3)接线系数为1

(4)可以反应各种相间短路


3、两种接线方式的性能比较

1)对中性点直接接地电网和非直接接地电网中的各种短路

对各种相间短路,两种接线方式均能正确反映

2)对于中性点直接接地电网的单相接地短路

完全星形接线可以反应各种单相接地短路

不完全星形接线不能反应全部的单相接地短路(如B相接地)所以不适用于中性点直接接地电网。

3)对中性点非直接地电网中不同线路不同相的两点接地短路

-在小接地电流系统中,发生异地两点接地时,一般只要求切除一个接地点,而允许带一个接地点继续运行一段时间。

(1)异地两点接地发生在相互串联的两条线路上:

-三相星形接线:保护1和保护2之间有配合关系:100%切除后一线路

-两相星形接线:2/3机会切除后一条线(1/3机会无选择性动作)

编辑

(2)异地两点接地发生在相互并联的两条线路上

-三相星形接线:当线路和线路的过流保护动作时间相同时,保护1和保护2同时动作,切除线路、,实际我们需要切除一条线路,另一条线路带故障运行一段时间,100%失去选择性

-两相星行接线:2/3机会只切一条线路,1/3失去选择性

-注意:两个电流互感器LH必须装置同名的两相上,否则可能出现两套保护均不工作的情况

编辑

如果线路是重要负荷线路,线路是非重要负荷线路,为了保证选择性可以将设置保护1的时限比保护2长,非重要负荷切除,若线路仍有接地故障,短时带故障运行。

4)Y/Δ接线变压器后d(2)

-以Y/Δ-11接线降压变为例d(A、B)

编辑

结论:

-当在Y/Δ变压器的后侧发生两相短路时,滞后相电流是其它两相电流的两倍并与它们反相位

-当在Y/Δ变压器的Y侧发生两相短路时:超前相电流是其它两相电流的两倍,并与它们反相位

-三相星形接线灵敏度是两相星形接线的两倍

当过电流保护接于降压变压器的高压加以作为低压侧线路故障的后备保护时,如果保护是采用三相星形接线,则接于B相上的继电器则于流有较其它两相大一倍的电流,因此灵敏系数增大一倍

-为提高电流保护对Y/Δ变压器后两相短路的灵敏度,采取的措施:在两相星形接线的中线上再接入一个LJ(电流继电器),此种接线方式称为两相三继电器接线方式,以提高灵敏性。

编辑

当IA与IB发生两相短路时,B相电流最大,但采集不到,但KA3上流过(IA+IC,IA与IC大小相等,相位一致,也就是2IA值)电流。


4、两种接线方式的应用

-三相星形接线:适用于发电机、变压器的后备保护,采用电流保护作为大电流接地系统的保护(要求较高的可靠性和灵敏性)

-两相星形接线:适用于中性点不接地电网或经高阻接地电网输电线路中使用

2.1.8 阶段式电流保护的应用与评价

一、评价

-选择性:在单侧电源辐射网中,保护具有较好的选择性(靠动作电流、动作时限),但在多电源或单电源环网中可能无法保证选择性。

-灵敏性:受运行方式的影响大,往往满足不了要求。——电流保护的缺点

-速断性:第、段满足;第段按照离电源最远处按Δt阶梯增加, 越靠近电源电流越大,动作时限越长,对设备冲击越大——缺点

-可靠性:线路越简单,可靠性越高——优点


二、应用范围

-35KV及以下的单电源辐射状网络中,主要是中性点不接地的单电源

-中性点接地的系统中较少使用阶段式电流保护,但第段110KV以上输电线路中作为辅助保护

2.2 电网相间短路的方向性电流保护

2.2.1 方向性电流保护的工作原理

一、问题的提出

为提供供电的可靠性,出现了单电源环形供电网络、双电源或多电源网络。但在这样的网络中简单的电流保护不能满足要求。分析如下:

编辑

对电流速断保护:d1处短路,要求

编辑

,否则保护3误动,d2处短路,要求

编辑

,否则保护2误动。

对过电流保护:d1处短路,要求

编辑

;d2处短路,要求

编辑

显然,这两种要求是矛盾的。


二、几个概念

1)短路功率:指系统短路时某点电压与电流相乘所得到的感性功率。在不考虑串联电容和分布电容在线路上短路时,短路功率从电源流向短路点。

2)故障方向:指故障发生在保护安装处的哪一侧,通常有正向故障和反向故障之分,它实际上是根据短路功率的流向进行区分的。

-正方向故障:从保护安装处看出去,在“母线指向线路”方向上发生的故障

-反方向故障:从保护安装处看出去,在“线路指向母线”方向上发生的故障

编辑


三、原因分析:反方向故障时对侧电源的提供的短路电流引起保护误动。


四、解决方法:

利用方向元件与电流元件结合就构成了方向电流保护

由于元件动作具有一定的方向性,可在反向故障时把保护闭锁

正方向故障时方向电流保护才可能动作, 按正方向分组

编辑

 这样双侧电源系统保护系统变成针对两个单侧电源的的子系统

编辑

-由上可见,

保护1、3、5只反映由左侧电源提供的短路电流,它们之间应相互配合

保护2、4、6仅反映由右侧电源提供的短路电流,它们之间应相互配合


五、方向过电流保护的原理接线图

编辑

如上图短路电流从母线流向线路,电压U的方向为正,电流I的方向从同名端顺时针流过,方向为正,P=UI>0,方向元件动作;否则P<0,方向元件不动作。

假如故障点离保护安装点比较远,但P>0正方向故障,仍然有电流流过方向元件使其动作,此电流不足以动作电流互感器,无法形成回路。

2.2.2 功率方向继电器的工作原理

含义:

-功率方向继电器:用于判别短路功率方向或测得电压电流间的夹角的继电器,简称方向元件。由于正、反向故障时短路功率方向不同, 它将使保护的动作具有一定的方向性。

一、功率方向继电器的工作原理

-母线电压参考方向为“母线指向大地”,电流参考方向为“母线指向线路”。

1.故障方向的判断

利用判断短路功率方向或电流、电压之间的相位关系,就可以判别发生故障的方向。

编辑

阻抗公式:Z= R+j ( XL–XC)
理论上可以通过功率正负判断正反向故障,但是事实上,对于输电线路,由于电阻相对于电抗值小得多,往往忽略电阻值,阻抗角度近似90度(阻抗=****电阻+j 电抗,即阻抗=0+j 电抗,j=90)。取极端情况,阻抗角度取90度,正向故障Una与Id1a的夹角为90,COS90=0,P=0;反向故障Una与Id1a的夹角为270,COS270=0,P=0。这样根本判断不出正反向故障。

-2.对继电保护中方向继电器的基本要求:

(1)应只有明确的方向性,即在正方向发生各种故障(包括故障点有过渡电阻的情况)时,能可靠动作,而在反方向故障时,可靠不动作;

(2)故障时继电器的动作足够灵敏度。


3.功率方向继电器的实现——动作特性

1)最大灵敏角:在Uj(输入给继电器电压值)、Ij(输入给继电器电流值)幅值不变时,其输出(转矩或电压)值随两者之间的相位差的大小而改变。当输出为最大时的相位差称最大灵敏角。取极端情况Φ角为0度,功率为正;Φ角为180度,功率为负。

2)

编辑


三、功率方向继电器的动作特性

-1、角度特性:当Ij(输入给继电器电流)为常数时,动作电压Uj与Φj之间的关系曲线

-2、伏安特性:表示当Φ=Φlm固定不变时,继电器起动电压Uj=f(Ij)的关系曲线

-3、潜动:指在只加入电流或只加入电电的情况下,继电器就能动作的现象

四、幅值比较原量和相位比较原理及其互换关系

-对于比较两个电气量的继电器,可按幅值比较或相位比较原理来实现。

幅值比较原理:

编辑

相位比较原理:

编辑

-幅值比较原理与相位比较原理之间具有互换性。

注:

-1 

编辑

必须是同一频率的正弦交流量

-2 相位比较原理的动作边界为±90°

-用四边形法则来分析它们之间的关系:

编辑

三相短路或三相均对地短路时,电压U接近于0,P=UjIjCOS(Φ-Φlm)=0,保护将失去方向性。

2.2.4 相间短路功率方向继电器的接线方式

一、功率方向继电器的接线方式

-1. 含义:功率方向继电器的接线方式:继电器与电流互感器和电压互感器之间的连接方式。

-2. 要求:

(1)必须保证功率方向继电器具有良好的方向性。即正向发生任何类型的故障都能动作,而反向故障时则不动作

(2)尽量使功率方向继电器在正向故障时具有较高的灵敏度,Φk接近Φlm

-3. 90°接线方式

指系统三相对称且COSΦ=1时,

编辑

。注意:此处是假定纯电阻无电抗,实际不可能,只是对90°接线方式叫起来方便,往往是接近于0,线路阻抗角度接近于90°。

编辑

A->B->C->A->B->C

采用该接线方式构成的三相式方向过电流保护的原理接线图:

编辑


二、相间短路情况下90°接线功率方向继电器动作行为分析

1.正方向三相短路

(1)动作分析

由于三相对称,三只继电器动作情况相同,故以A相为例分析:

编辑

从图中可见,

编辑

[电流超前于电压,角度为负,即Φd+(-Φja)=90°]

编辑

为使功率方向继电器动作最灵敏

编辑

取功率方向继电器内角

编辑

(2)内角的选择

为使Pja>0,即UjIjCOS(Φd-90°+α)>0,一般0°<Φd<90°

当Φd=0°,0°<α<180°;当Φd=90°线路更靠近此值,-90°<α<90°

所以,在三相短路时,选择0°<α<90°,可保证功率方向继电器GJ动作。


2、正方向两相短路,以BC两相短路为例,且空载运行,忽略负荷电流影响

-有两种极限情况:出口和远处

-(1)近处BC相短路动作分析

编辑

故障相Ib=-Ic,Ub=Uc;非故障相Ua=2Ub,方向与故障点相反

GJA:

编辑

不考虑负荷电流),不动作;

GJB:

编辑

,同三相短路

GJC:

编辑

,同三相短路

应选择0°<α<90°,使得0°<Φd<90°时Gj能动作

注:出口BC两相短路,

编辑

、幅值很大,B、C相功率方向继电器动作。

该接线方式可消除各种两相短路的死区。

编辑

(2)远处BC相短路动作分析Zd>>Zs

编辑


3、功率方向继电器内角的确定

为保证0°<Φd<90°时,GJ在正方向任何相间短路时均能动作,30°<α<60°

用于保护相间短路的LG-11型功率方向继电器,内角具有两个值α=45°和α=30°


4、对90°接线方式的评价

优点:(1)对各种两相短路都没有死区;(2)适当选择内角后,对线路上各种相间故障保证动作的方向性;

缺点:不能清除d(3)死区

2.2.5 双侧电源网络中电流保护整定的特点

方向电流保护的整定有两个方面的内容:

-一是电流部分的整定,即动作电流、动作时间与灵敏度的校验

-二是方向元件是否需要装设(投入)

一、电流速断保护

编辑

甚至于两侧都不能瞬时切除故障,如左图虚线

 

编辑


二、限时电流速断保护

-其基本的整定原则仍应与下一级保护的电流速相配合

-需考虑保护安装地点与短路之间电源或线路的影响

1.助增、外汲

助增分支电路上有电源时,使故障线路电流增大的现象

编辑

保护范围减小

外汲分支电路为一并联线路,使故障线路短路电流减小现象

编辑

保护范围增大,失去选择性

2、分支系数

编辑

仅有助增时:Kfz>1;仅有外汲时:Kfz<1

当变电所母线上既有电源又有并联的线路时,其分支系数可能大于1也可能小于1,此时应根据实际可能的运行方式确定。

单侧电源供电的线路,即为Kfz=1的一种特殊情况。


3、动作电流的整定计算

编辑

分支系数的选取应根据实际可能的运行方式,选取最小值进行整定计算。


三、定时限过电流保护

1、动作电流:其动作电流的整定按躲过最负荷电流及灵敏度相配合等原则来整定。

2、动作时限:加入方向性元件后,将动作方向一致的保护,各自独立按阶梯性原则进行。

编辑

2.2.6 对方向性电流保护的评价

1、优点:在单电源环形网络和多电源辐射型电网中,都能保证动作的选择性。

编辑


2、缺点:

-理论上当保护安装地点附近正方向发生三相短路时,由于母线电压降低至零,保护装置拒动,出现“死区”。运行经验指出,三相短路的几率很小。

-保护中采用了方向元件使可靠性降低。


3、方向元件的加装原则

-在保证选择性和灵敏性的情况下,在继电保护中应力求不用方向元件

-1.对电流速断(、段)保护来讲,若反方向线路出口处短路时由电源供给的最大短路电流小于本保护装置的动作电流时,可以不用方向元件。

-2.对过电流保护来讲,若反方向保护的延时小于本保护的动作延时时,可以不用方向元件(但反方向的保护必须采用方向元件)。


4、例题

编辑

编辑

假如保护12的时间是2S,5需要加装

2.3 中性点直接接地电网中接地短路的零序电流及方向保护

接地短路进的零序等效网络:

编辑

当中性点直接接地的电网中发生接地短路时,将出现很大的零序电流,可利用零序电流来构成接地短路的保护。

接地故障时零序电流,零序电压及零序功率的特点

正方向的规定:

零序电流的方向:由母线流向故障点为正;   零序电压的方向:线路高于大地的电压为正

零序分量的特点:

(1)零序电压(相当于在故障点上叠加一个零序电源)

故障点Uk0最高,离故障点越远,Uk0越低,变压器中性点接地处Uk0=0

(2)零序电流

其数值和分布与变压器中性点接地的多少和位置有关,而与电源的数目和位置无关,其中单相接地故障中零序电流是短路电流的1/3

(3)零序电压和零序电流的相位

在正方向短路下,保护安装处母线零序电压与零序电流的相位关系,取决于母线背后元件的零序阻抗(一般零序电流超前于零序电压95°-110°),而与被保护线路的零序阻抗和故障点的位置无关。

(4)零序功率

在线路正方向故障时,零序功率由故障线路流向母线,为负值;在线路反方向故障时,零序功率由母线流向故障线路,为正值。

打个比方:相功率相当于手部受伤流血,从心脏(电源处)向伤口(故障点处)流动;零序功率相当于感染,有伤口不一定有感染,三相短路时和两相不接地短路时没有零序功率;但是如果有感染( 单相接地和两相短路) 总从伤口周围扩散,零序功率总是从故障点处往外流。


2.3.1 零序电压滤过器

1、原理:

编辑

2、构成方式

编辑


2.3.2 零序电流滤过器

1、原理:

编辑

2、构成方式

编辑

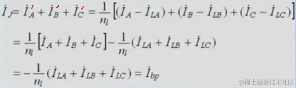
(1)零序电流滤过器:采用三个电流互感器连接方式,此时流过继电器的电流为

编辑

在正常运行和相间短路时,零序电流滤过器存在不平衡电流

由于三个互感器铁心的饱和程度不同,以及制造过程的某些差别而引起的

编辑

(2)零序电流互感器:采用电缆引出的送电线路

没有平衡电流,同时接线也更简单。


2.3.3 零序电流速断保护(零序一段)

无时限零序电流速断保护工作原理,与无时限电流速娄保护相似,靠整定零序电流的大小来获得选择性。

1、整定计算原则

1)躲开下一条线路出口处单相接地或两相接地短路时可能出现的最大零序电流,即

编辑

编辑

-(1)故障点:本线路末端

-(2)故障类型:(假设X1∑=X2∑)

-(3)整定时应按照最大运行方式考虑,即系统的零序等值阻抗最小

编辑

2)躲过继电器三相触头不同期合闸时出现的零序电流3,即

编辑

编辑

:(1)两相先合——一相断线  并

编辑

(2)一相先合——两相断线  串

编辑

两者取最大者
根据以上两个原则的计算结果进行比较,先取其中的较大值作为保护装置的整定值。

原则2)所得定值一般较大,保护范围缩小,灵敏度降低,此时可考虑使段带一小的延时(0.1S)躲开不同时合闸时间。


2、灵敏性校验

要求与段电流保护相同≥(15%-20%)


2.3.4 零序电流限时速断保护(零序二段)

1、整定计算原则

动作电流:与相邻线路零序电流段配合

编辑

编辑

动作时限:比下一条线路零序电流段的动作时限大一个时限差Δt

编辑

灵敏性校验:

当灵敏系数不能满足要求时,可采取以下措施:

-(1)与相邻线路零序段配合整定,其动作时限应较相邻线路零序段时限长一个时间级差Δt

-(2)保留0.5S,同时再增加一个按第1)原则整定的保护

-改用接地距离保护


2.3.5 零序电流限时速断保护(零序三段)

作用:

-用于本线路接地故障的近后备保护和相邻元件(线路、母线、变压器)接地故障的后备保护

-在本线路零序电流保护、段拒动和相邻元件的保护或开关拒动时靠它来最终切除故障

-在中性点接地电网中的终端线路上也可作为主保护

整定计算:

(1)躲开在下一条线路出口处相间短路时所出现的最大不平衡电流(Ibp max)

编辑

(2)与下一条线路零序段相配合就是本保护零序段的保护范围,不能超出相邻线路上零序段的保护范围

编辑

取(1)、(2)中最大值。

灵敏性:近后备和远后备时均校验

动作时限:从零序网的最末级(受电端变压器)开始按阶梯原则向电流方向推算。

编辑


2.3.6 方向性零序电流保护

在多电源的大接地电流系统中,为保证选择性,需要装设零序功率方向继电器,构成方向性零序电流保护

构成方向性零序电流保护时应该注意的问题

1)在多电源大接地电流系统中,每个变电站至少有一台变压器中性点直接接地, 以防止单相接地短路时,非故障相产生危险的过电压。

2)在零序电流保护正方向有中性点接地的变压器的情况下,不管被保护线路的对侧有无电源,为了防止保护的灵敏度过低和动作时间过长,就须采用方向性零序电流保护。

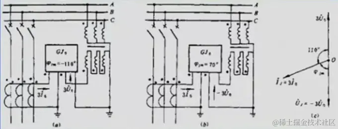
一、方向性零序电流保护工作原理

编辑

保护1、2正方向

f1点发生接地故障,相当于在故障点处叠加了一个零序电压,零序电流如上图红线向外流。零序电压与红线零序电流之间的相位夹角是阻抗角度。

保护安装处零序电流与零序电压的相位关系:

正方向接地时,零序电流超前于零序电压90°-110°,零序功率为负;

反方向接地时,零序电流滞后于零序电压70°-85°,零序功率为正。


二、零序功率方向继电器的接线方式

编辑

由于越靠近故障点的零序电压越高,所以出口短路时GJ0无死区。


三、三段式方向性零序电流保护的原理接线

编辑


2.3.7 对零序电流保护的评价

优点:

(1)零序电流保护更灵敏

、受运行方式影响较小,段保护范围长且稳定,段灵敏性易于满足;段躲不平衡电流,定值低更灵敏且时间较短

(2)GJ0出口无死区,接线简单、经济、可靠

(3)系统振荡、短时过负荷等情况下(三相对称)I0不受影响

缺点:不能反映不接地的相间短路故障

2.4 中性点非直接接地电网中单相接地故障的零序电压、电流及方向保护

在性点非直接接地电网中发生单相接地时,

-由于故障点的电流很小,一般只要求继电保护有选择地发出信号,而不必跳闸。

-非故障相电压升高根号3倍

-线电压仍对称

对保护的要求

-一般只要求继电保护能有选择性地发出信号,而不必跳闸

-当单相接地对人身和设备的安全有危险时,则应动作于跳闸

2.4.1 中性点不接地系统的单相接地的特点

1、单电源单线路系统的单相接地

编辑

(1)在正常运行情况下,三相对地有相同的电容,在相电压作用下,每相都有一个电容电流流入地中,而三相电流之和等于零

每相对地电容电流:

编辑

编辑

由于零序电流相量和为0,所以只能通过零序电压来判断故障点。


2、单电源多线路系统的单相接地

编辑

如图A相单相接地,全网A相电压为0(忽略负荷电流),全网的电容电流都流过故障点。

单相接地故障时的零序等效网络及向量图:

编辑

 故障点处的零序电流:

编辑

对于非故障线路:

编辑

零序电流为线路本身的电容电流,电容性无功功率的方向为由母线流向线路(电感性无功功率与此反)。

对于非故障的发电机

编辑

零序电流为发电机本身的电容电流,其电容性无功功率的方向是由母线流向电机

对于故障线路

编辑

零序电流等于全系统非故障元件对一电容电流之总和(但不包括故障线路本身),其电容性无功功率的方向为由线路流向母线。
结论:

1)单相接地时,全系统都将出现零序电压,而短路点的零序电压在数值上为相电压;

2)在非故障元件上有零序电流, 其数值等于本相原对地电容电流,电容性无功功率的实际方向为由母线流向线路; 零序电流超前零序电压;

3)在故障元件上, 零序电流为全系统非故障元件对地电容电流之相量和,电容性无功功率的实际方向为由线路流向母线。


狐独本是常态,逢人不必言深。觉得不错,动动发财的小手点个赞哦!