电路分析-清华王歆杰

306 阅读28分钟

目录:

一、KCL与KVL

1、定义

1)基尔霍夫电流定律        2)基尔霍夫电压定律

2、例题

二、电压源、电流源、受控源性质

1、独立电源

1)任意电路元件(包含理想电流源元件)与理想电压源Us并联   3)电压源、电流源模型互换等效

2)任意电路元件(包含理想电压源)与理想电流源Is串联   4)T型到π型转换电路分析

2、受控电源

3、计算要点★

4、支路电流法

5、节点电压法

6、网孔电流法

7、例题

三、电压电流源的应用

1、电流源等效

2、电桥电路

3、双电源供电

四、阻抗和导纳、相量法

1、复数

2、电阻、电感与电容的阻抗

3、相量图(Phasor Diagram)

4、复阻抗与复导纳

5、例题

五、正弦交流电路的功率

1、瞬时功率

2、平均功率

3、最大功率传输

4、无功功率和视在功率

5、视在功率

6、功率因素

7、复功率

六、对称三相电路计算

1、三相电源与三相电路

七、线性电路的过渡分析

1、线性电路的过渡过程

1)稳态和暂态   2)换路   3)动态电路的初始条件

2、一阶电路的零输入响应

1)RC串联电路的零输入响应   2)RL串联电路的零输入响应

3、一阶电路的零状态响应

1)RC 电路的零状态响应   2)RL电路的零状态响应

附录

1、电子运动方向


一、KCL与KVL

编辑

1、定义

1)基尔霍夫电流定律:电路中任一个节点上,在任一时刻,流入节点的电流之和等于流出节点的电流之和。

通常规定,对参考方向背离(流出)节点的电流取正号,而对参考方向指向(流入)节点的电流取负号。

编辑

对闭曲面S,有i1+i2-i3=0A。若两部分电路只有一根线相连 (1或5或6其中一个) ,由KCL可知,该支路中无电流。如图(b)所示电路,作闭曲面S,因只有一条支路穿出S面。根据KCL, 由于i1、i2、i3只能有一个且i1+i2-i3=0A,故i=0。


2)基尔霍夫电压定律:沿着闭合回路所有元件两端的电势差(电压)的代数和等于零。

电流方向与巡回方向一致取正,电流方向与巡回方向相反取负;遇到电压降低的电源取正;遇到电阻上的电压降低(实际上习惯的电流是与巡回方向一致的),当然也取正。

编辑

从a开始定义为正,U1与U5的下方为正(如图),此时U4要一并处理,U4下方为正。那么:

U1+U2+U3-U4-U5=0V,-U3-Ux+U5+U4=0V。

2、例题

题1、已知R1=2Ω, R2=4Ω,Us1=12V, Us2=10 V, Us3=6V, 求a点电位Va。

编辑

本题d点为参考点,由KCL可知i1=0, 所以回路A各元件上流经的是同一个电流i, 由KVL列写方程R1i+Us3+R2i-Us1=0V,代入己知的各电阻及理想电压源的数据,得i=1A;

求电位Va, 就是求a点到参考点的电压,它是自a点沿任一条可以到“地”的路径“走”至“地”,沿途各段电路电压的代数和, 所以有Va=Uab+Ubc+Ucd=2i+6+(-10)=2*1+6-10=-2V。


题2、已知I=0.3 A,求电阻R。

编辑

解:

如图所示,c点电压=0.3*20=6V,Uac=12V-6V=6V,I1=6V/15=0.4A

根据KCL得:I1=I2+0.3A,I2+I3=IR,解得I2=0.1A

根据KVL从a点开始沿图上虚线得:12V-UR-2V-6V=0,UR=4V,注: 电流方向与巡回方向相反取负

那么,I3=(12V-4V)/20=0.4A,则IR=0.4A+0.1A=0.5A

故R=4V/0.5A=8Ω

二、电压源、电流源、受控源性质

编辑

1、独立电源

独立电源分为电压源与电流源,电源的参数有电压、电流、方向。电压源的性质是两端电压不变(内阻为零,比如电池,最好无内阻), 电压方向(极性)不变,电流及其方向由电压源与外电路共同决定。电流源的性质是输出电流不变(内阻无穷大), 电流方向不变,两端电压及其方向(极性)由电流源与外电路共同决定。

电压源的电压属性、电流源的电流属性是定值,不受外电路影响。

电流源 (内阻无穷大,电流变化量Δi=0相当于开路) 与电压源或电阻串联,输出电流不变,如果所求参数与电压源、电阻无关,则电压源、电阻可以短路处理;

电压源 **(内阻为零,电压变化量Δu=**0相当于短路) 与电流源或电阻并联,输出电压不变,如果所求参数与电流源、电阻无关,则电流源、电阻可以开路处理;

因为与电源的定义矛盾,电压源不能短路,电流源不能开路;不同电压的电压源不能并联,不同电流的电流源不能串联;参数相同则合并成一个电源。

此外,电流源与电压源可以等效转换(例见题1),一个电流源与电阻并联可以等效成一个电压源与电阻串联。电源互换等效在推广应用中要特别注意等效端子。


1)任意电路元件(包含理想电流源元件)与理想电压源Us并联

编辑


2)任意电路元件(包含理想电压源)与理想电流源Is串联

编辑


3)电压源、电流源模型互换等效

编辑


4)T型到π型转换电路分析

编辑

对于图 (a)、(b)电路,根据KCL得:i3=i1+i2;

根据KVL从(b)图1点开始得:U12+U23-U13=0V,U12=U13-U23;

由(a)图,根据KVL,有:U13=R1i1+R3i3,U23=R2i2+R3i3;

将式代入式,得:U13=(R1+R3)i1+R3i2,U23=R3i1+(R2+R3)i2。

2、受控电源

编辑

受控电源具有相应电源的属性,只是其参数受激励源控制, 受控电源是非独立电源。这里的参数就包含方向,所以受控源标注的方向只是参考方向,实际方向由激励源控制。受控电压源与受控电流源进行等效变换时要保留激励源不变。

例1:求 ab端开路电压Uoc。

编辑

解:

设电流 I1 参考方向如图中所标,由KCL,得 I1=8I+I=9I 

对回路 A 应用 KVL 列方程得 2I+2I1-20V=0V  

将代入式,解得  I1=9A

由欧姆定律得开路电压 Uoc=2I1=2*9=18V


例2:求 ab 端的输出电阻 Ro。

编辑

解:

外施电压源u, 求电流 i; 外施电流源 i, 求电压u(注意:所设u、i 的参考方向对二端电路来说是关联的),则其等效电阻  Rab=u/i

在ab端外施电流源 i, 设电压 u 使 u、i 对二端电路来说参考方向关联, 并设电流 i1、i2 参考方向如(b)图上所标

u1=15*i1,i2=u1/10      

∴i2=(15/10)i1=1.5i1    又i1+i2=i

∴i1=(1/2.5)*i

由KVL列回路 A 的 KVL 方程:5i+15i1-u=0

即5i+15(1/2.5)*i=u

所以输出电阻:Ro=u/i=11Ω

3、计算要点★

电源置零时电压源短路处理,电流源开路处理,受控源不能直接置零。

例:简化电路并求Uab。

编辑

4A电流源开路处理,10Ω不起作用。4V、12V、24V电压源短路处理,3Ω不起作用。

编辑

Vx = 4A(6Ω//3Ω) = 8V,Uab = 8V+4V = 12V。*

Multisim仿真如下图,使用方法移步:Multisim14.2仿真使用汇总

编辑

电流参考方向确定后,电路中元件的电压降方向(+ → -)与电流参考方向一致的,称为关联方向;相反,则是非关联方向。 “元件”包含电源,而电动势的方向是负极指向正极,与电压方向相反,这里容易出错,要把电源看成元件!

在讨论元件功率问题时,关联方向的元件,功率为正是吸收功率;功率为负是发出功率。正值是得到,负值是付出,符合常理,思考很顺畅。而非关联方向正相反,别扭。解题时先求出实际的电压、电流,功率的符号按关联方向赋值。

4、支路电流法

已知R1=15Ω,R2=1.5Ω,R3=1Ω, us1=15V,us2=4.5V, us3=9V。 求电压Uab及各电源产生的功率。 

编辑

解:

设支路电流i1, i2, i3 参考方向如图中所标。依 KCL列写节点 a 的电流方程为i1+i3=i2

选网孔作为独立回路,并设绕行方向于图上,由KVL列写网孔的电压方程分别为

网孔  15i1-i3=15V-9V

网孔 i3+1.5i2=9V-4.5V,解得i1=0.5A,i2=2A,i3=1.5A

电压Uab=-i3*1+Us3=7.5V

设电源us1, us2, us3 产生的功率分别为Ps1, Ps2, Ps3, 由求得的支路电流,可算得

Ps1=us1i1=150.5=7.5W

Ps2=-us2i2=-4.52=-9W

Ps3=us3i3=91.5=13.5W

可以通过Multisim验证,关于Multisim移步:Multisim14仿真使用汇总

​编辑

5、节点电压法

节点电压法是以流入节点的电流代数和为零列方程的,基本规则如下:

自电导之和乘以节点电压,减去互电导乘以相邻节点电压,等于流入节点的电源电流代数和。

自电导:只要电阻的一端在节点上,电阻的倒数就是电导。互电导:电阻连接在两个节点之间。电流源内阻无穷大,电导为零。

受控源只是参数受激励源控制,其电源属性不变。必要时无伴电压源转换成两端电压是定值的电流源。

编辑

编辑

可以通过Proteus验证,关于Proteus移步:Proteus8.6SP2仿真使用汇总

编辑


支路电流法和节点电压法典型例子:

编辑

编辑

编辑

编辑

编辑

编辑

编辑

编辑

编辑

编辑

引自:支路电流法和节点电压法 典例

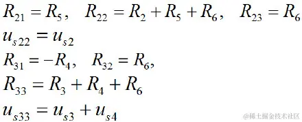
6、网孔电流法

网孔电流法是假设电流沿着网孔流动,电流的方向可以任意设定,可以预估一下真实的方向,尽量避免答案是负值,麻烦。

列方程时沿着网孔电流方向,网孔电流乘以网孔总电阻是正值,通过公共电阻的相邻网孔电流,方向相同取正值,反之取负值,电压源也是如此。电压源的代数和放在方程右边。

编辑

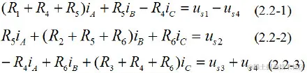
按网孔列写KVL方程如下:

网孔A:R1iA+R5iA+R5iB+R4iA-R4*iC+us4-us1=0;

网孔B:R2iB+R5iA+R5iB+R6iB+R6*iC-us2=0;

网孔C:R3iC-R4iA+R4iC+R6iC+R6*iB-us4-us3=0;

按未知量顺序排列并加以整理,同时将已知激励源也移至等式右端。这样整理改写上述 3 式得:

编辑

观察(2.2-1)式,可以看出:iA前的系数(R1+R4+R5)恰好是网孔A 内所有电阻之和,称它为网孔A的自电阻,以符号R11 表示;iB 前的系数(+R5)是网孔 A 和网孔 B 公共支路上的电阻,称它为网孔 A 与网孔 B 的互电阻,以符号R12表示, 由于流过 R5 的网孔电流 iA、iB 方向相同,故R5 前为“+”号; iC 前系数(-R4)是网孔 A 和网孔C 公共支路上的电阻,称它为网孔A 与网孔 C 的互电阻,以符号 R13表示,由于流经 R4 的网孔电流iA、iC 方向相反,故 R4 前取“-”号;等式右端 us1-us4表示网孔 A 中电压源的代数和,以符号us11表示, 计算 us11时遇到各电压源的取号法则是,在巡行中先遇到电压源正极性端取负号,反之取正号。

用同样的方法可求出(2.2-2)、(2.2-3)式的自电阻、互电阻及网孔等效电压源,即 

编辑

7、例题

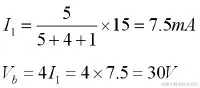
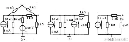
题1、求 b 点电位 Vb。

编辑

应用电阻并联等效、电压源互换为电流源等效, 将(a)图等效为(b)图。再应用电阻并联等效与电流源并联等效,将(b)图等效为(c)图。 由(c)图应用分流公式求得:

编辑


题2、求电流I。

编辑

应用任意元件(也可是任意二端电路)与理想电压源并联可等效为该电压源及电源互换等效, 将(a)图等效为(b)图,再应用理想电压源串联等效,将(b)图等效为(c)图。由(c)图算得:

编辑


题3、求各参数。

编辑

解:

受控电流源的电流方向、两端的电压方向(极性)是由激励源控制的。图中标示的是参考电流方向。

如图,设 2A 电流源电压为 U2 ,受控电流源电压为 U3 : 

u1 = 2 * 5 = 10 V

I1 = 0.05  * u1 = 0.5 A

U2 = u1 - 3 = 7 V

U3 = 3 + 20 * I1 = 13 V

各元件的功率:

电压源 P1 = - 1.5 * 3 = -  4.5 W

电流源 P2 = - 2 * 7 = - 14 W

受控源 P3 = - 0.5 * 13 = - 6.5 W

三个电源共发出功率 25 瓦。

电阻吸收功率 P = 2 * 10 + 0.5 * 0.5 * 20 = 25 W


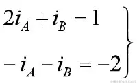
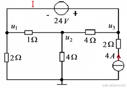
题4、求如图所示电路节点电压U1、U2、U3。

编辑

解: 

由欧姆定律得:U1=2A*2Ω=4V

对于回路A做KVL: 4V-U2+U2-U3+i*1=4V  解得U3=i

对于回路B做KVL: 2*I+U1-U2+U2-U3=4V  解得U3=2I

                           ∴i=2I

对回路再做 KCL: 1+I=i        式连立式解得:I=1A,i=2A

                          ∴U3=2V

对于回路C做KVL:2i+(4-U2)/2=1

                          ∴U2=10V

最后得U1=4V,U2=10V,U3=2V.


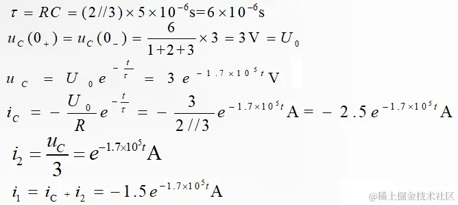
题5、用节点分析法求图示电路中电压U1、U2和U3。

编辑

解:   列写节点方程

电路如图所示,假设流过电压源支路的电流为I,则其节点方程如下:

编辑

补充方程:u3-u1=24V

联立求解可得:u1=8V,u2=0V,u3=32V。


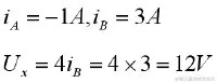
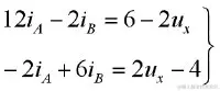
题6:使用网孔电流法求下方电路中的电压 uab。

编辑

设网孔电流 iA, iB 如图中所标,观察电路,应用方程通式列基本方程为:

编辑

由图可以看出控制量 ux 仅与回路电流 iB 有关,故有辅助方程

编辑

将上面2式化简整理,得

编辑

解得

编辑

所以

编辑


题7:求a、b电压

编辑

 解:

编辑

三、电压电流源的应用

1、电流源等效

编辑

2、电桥电路

AB支路为电源支路,CD支路为桥路,试用支路电流法求电流ig, 并讨论电桥平衡条件。

编辑

对于节点 A          i1+i2-i=0

对于节点 C        -i1+ig+i3=0

对于节点 D        -i2-ig+i4=0

对于回路        -R1i1+R2i2-Rgig=0

对于回路        -R3i3+R4i4+Rgig=0

对于回路       R1i1+R3i3+Ri=us

解上述方程组,得

编辑

当ig=0, 即桥路上电流为零(或桥路两端电压:uCD=0)时称该电桥达到平衡。由 ig 的表示式可知分母是有限值,因而仅当R3=R1*R4/R2,即R1/R2=R3/R4时 ig=0, 这就是电桥平衡的条件。

3、双电源供电

编辑

开关电源V1由V1与D1组成,开关电源V2由V2与D2组成,当S1闭合后,V1已经不再给负载R1、R2供电,由V2供给。仿真电路:双电源供电multisim仿真

四、阻抗和导纳、相量法

1、复数

在二维平面上的一个相量,乘以j逆时针旋转90°,除以j或乘以-j顺时针旋转90°;乘以-1正时针或逆时针旋转180°。

编辑

带角频率ω就是相量(U点、I点),带时间t就是瞬时值(u、i),什么都没有就是幅值。

编辑

编辑

2、电阻、电感与电容的阻抗

有关阻抗与导纳的内容请移步:电阻/电抗/阻抗/电导/电纳/导纳

编辑

编辑

 

编辑

3、相量图(Phasor Diagram)

编辑

相量画法原则:

1)同频率正弦量的相量,才能表示在同一张相量图中

2)逆时针旋转,正角度增加的方向

3)选定一个参考相量(设其初相位为零,水平线方向)

编辑

编辑

相量IL=相量IC+IR    Ldi/dt=1/C∫idt+IR,即jωL=1/jωC+IR(jω用相量替换掉瞬时值)

4、复阻抗与复导纳

编辑

编辑

阻抗角=电压初相位与电流的初相位之差。

编辑

编辑

编辑

编辑

5、例题

例题1:

编辑

注:如果ωL=80R,那么UC=2A*80R=160V,此时元件上的电压大于电源的电压(交流电路)。

五、正弦交流电路的功率

1、瞬时功率

编辑

编辑

编辑

编辑

2、平均功率

编辑

编辑

编辑

编辑

编辑

3、最大功率传输

编辑

 

编辑

 

编辑

 

编辑

4、无功功率和视在功率

搜索百度网盘“相量图的画法”或移步:相量图的画法改进

编辑

 

编辑

 

编辑

 

编辑

 

编辑

5、视在功率

编辑

编辑

6、功率因素

编辑

 

编辑

 

编辑

 

编辑

编辑

7、复功率

编辑

编辑

 

编辑

六、对称三相电路计算

1、三相电源与三相电路

编辑

编辑

编辑

编辑

编辑

 

编辑

七、线性电路的过渡分析

1、线性电路的过渡过程

1)稳态和暂态

在一定激励的情况下,任何系统的响应的状态都有相对稳定和不稳定两种状态。在电路中,达到稳定状态是指在给定条件下电路中电压、电流已达到稳定值。不稳定状态是指电压、电流随时间在发生动态变化。例如:电容、电感 的充电过程。

稳定状态(稳态):电路中所有的响应或是恒定不变,或是按周期规律变化的工作状态。

过渡过程(动态、暂态):在某个激励下,电路由一个稳态转变到另一个稳态的过程。这种转变一般说来不是即时完成的,需要一个过程,这个过程称为电路的过渡过程。

产生暂态的原因:

内因:电路为动态电路,即电路中含储能元件L、C ,能量只能连续变化而不能跃变;

外因:存在外部激励,如电路换路,即开关通断、电源变化、元件参数变化等。

分析过渡过程的方法:电路方程是以电流、电压为变量的微分方程。因此,暂态的分析有两种方法:

时域分析法:以时间作为变量,直接求解微分方程的方法。

复频域分析法:采用积分变换求解微分方程的方法。例如通过拉普拉斯变换,将自变量转换为复频率变量。


2)换路

换路:电路受到新的激励,具体地讲如电路中支路的接通、切断、短路或电路参数的突然改变及电路连接方式改变的统称。在进行理论分析时,我们假设换路是即时完成的。定义以下三个时刻:

t=0 表示换路时刻 (计时起点);

t=0-表示换路前的一瞬间(换路尚未发生);

t=0+表示换路后的一瞬间(换路已经发生)。

储能元件中能量的改变是需要时间的。即动态电路在换路后一般不能由原来的稳定状态立刻到达新的稳定状态 。

编辑

电容储能

编辑

电感储能

在换路瞬间,当电容元件的电流为有限值时,电容电压一般不能跃变;当电感元件的电压为有限值时,电感电流一般不能跃变。

编辑

这就是动态电路的初始条件。


3)动态电路的初始条件

确定方法:

编辑

编辑

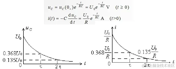
2、一阶电路的零输入响应

一阶电路:可用一阶微分方程来进行描述的电路。

零输入响应:没有外界电源激励,仅由储能元件初始储能所引起的响应。


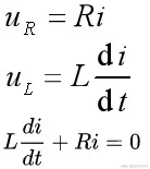
1)RC串联电路的零输入响应

编辑

在图示电流、电压的参考方向下,由KVL得换路后的电路方程:

编辑

求得满足初始条件的微分方程的解,即电容的零输入响应电压、电流分别为

编辑

当t->∞时,Uc->0、i->0。

时间常数:一个很重要的概念。观察零输入响应表达式,在这里定义:

编辑

称τ为电路的时间常数。它的大小反映了电路过渡过程的进展速度,它是反映过渡过程特征的一个重要的物理量。

时间常数的意义:当t=τ时

编辑

时间常数就是按照指数规律衰减的量衰减到它的初始值的36.8% 时所需时间。

理论上:放电要经历无限大时间才能结束,工程上认为:经过3τ~5τ时间过渡过程即告结束。

编辑

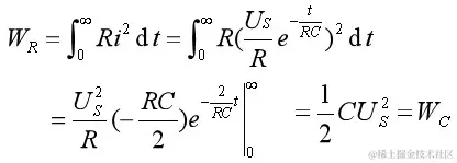
时间常数越大,衰减越慢,过渡过程持续的时间越长。RC电路中,电阻R在电容C放电过程中消耗的全部能量为

编辑

就是说:电容在放电过程中释放的电场能量全部转换为电阻消耗的能量(热能)。

编辑

编辑


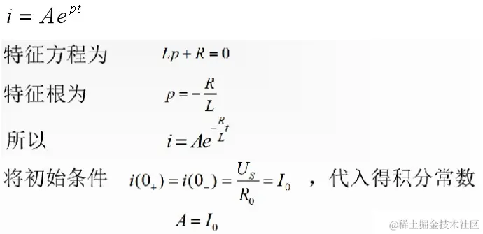
2)RL串联电路的零输入响应

编辑

图示电路,原已处于稳态,t=0时开关K闭合。电流、电压的参考方向如图所示,由KVL得换路后的电路方程 :

编辑

显然,这是一阶常系数线性齐次常微分方程,它的通解为

编辑

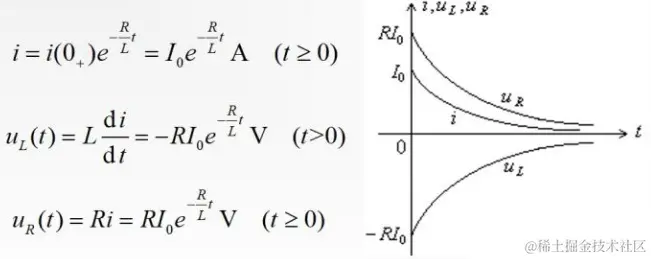
从而,求得满足初始条件的微分方程的解,即电感的零输入响应电压、电流分别为

编辑

换路后,电感电压和电流均按指数规律衰减到0。其曲线如图所示。RL电路的时间常数为:

编辑

称τ为RL电路的时间常数。同样它的大小反映了电路过渡过程的进展速度。时间常数越大,过渡过程持续的时间越长。

在电路过渡过程中,电感元件不断放出能量为电阻所消耗,最后,原来储存在电感中的磁场能量全部被电阻吸收而转换成热能。

编辑

3、一阶电路的零状态响应

零状态:电路中所有储能元件的初始状态都为零的情况:

编辑

零状态响应:零状态电路,由外施激励所引起的响应。


1)RC 电路的零状态响应

编辑

直流电压源 Us通过电阻R对电容C充电,电路如图所示。在图示电流、电压的参考方向下,由KVL得换路后的电路方程:

编辑

显然,这是一个一阶常系数线性非齐次常微分方程,方程的解有两部分组成

编辑

第一部分为微分方程的特解:称为强制分量或稳态分量

编辑

第二部分为对应齐次方程的通解:称为自由分量或暂态分量

编辑

这个电路方程的通解是

编辑

将以下初始条件代入上式得积分常数

编辑

最后得到零状态响应的完全解为:

编辑

响应过程:电容电压 Uc由零初始值开始以指数形式趋近于它的最终值,即直流电压源电压 Us,而电流在换路后瞬间,跃变到最大值,然后以此初始值开始按指数规律衰减到零。电路接通直流电压源的过程也就是电源通过电阻对电容充电的过程。在充电过程中,电源输出的能量一部分转换成电场能量储存在电容中,一部分被电阻转换为热能消耗。

编辑

充电效率问题:

编辑

在充电过程中,电源提供的能量只有一半转换成电场能量储存于电容中,另一半则为电阻所消耗,也就是说,充电效率为有50%。

编辑


2)RL电路的零状态响应

编辑

编辑

和RC电路类似,这仍是一个一阶常系数线性非齐次常微分方程,解仍由两部分组成

编辑

代入初始条件

编辑

电路响应过程:电感电流由零初始值开始以指数形式趋近于它的稳态值,而电压在换路后,电压达到最大值,并以此初始值开始按指数规律衰减到零。到达该值后,电压和电流不再变化,电感相当于短路,其电压为零,达到新的稳态。

编辑

此时,电感的磁场储能为

编辑

注意:直流激励下的RC及RL 电路的零状态响应,若外加激励增加K倍,则其零状态响应也增加K倍,即零状态响应与外加激励成线性关系。

编辑

编辑

引自“第七讲 线性电路的过渡过程分析一”。

附录

1、电子运动方向

物质是由原子构成,原子又是由原子核和核外电子组成:因原子核(带正电)质量较大,不易运动;核外电子(带负电)质量很小(忽略不计),所以在电场力作用下,电子易移动。

电流有正负之分,正电流是电子的空穴在移动,而负电流则是电子在移动。区别就像抽水和压水造成水管的水流动一样。

但现在电流方向因前期的误解形成的俗成是指电子的“空穴”移动方向。所以电子运动方向就是所谓电流方向的反向。

电子的定向移动形成电流,电子移动的方向就是电流的方向。但是为了研究的方便,人们人为设置:正电荷的移动方向是电流的方向。所以电子的移动方向和电流的方向相反。

编辑

如上图,我们规定电流从电源正极流向电源负极,但实际上,由于自由电子带负电,在电场的作用下,自由电子其实是由电源负极向电源正极运动的。在交流电路中,随着电压高低的不同变化,电压方向的不停变化,自由电子在电路中按照一定的频率向两个方向移动。

可能有人会问,直流电有负极,交流电为什么没有负极?其实,零线就相当于交流电的“负极”。

在交流电路中,随着电压方向的不断变化,自由电子不停流入大地或流出大地,而大地拥有无穷正电荷,也拥有无穷负电荷。所以理论上来说,大地可接收无穷多的电荷,而大地的电位,永远是“零电位”。就像不管你向大海洒一杯水,还是一盆水,或者X吨水,大海的咸度不会因此而变化。


于高山之巅,方见大河奔涌;于群峰之上,更觉长风浩荡。觉得不错,动动发财的小手点个赞哦!