MPS | Buck电路的功耗那些事儿

156 阅读9分钟

导言

在DCDC转换电路的设计过程中,我们常常会需要知道转换电路在某个特定工作状态时功率的损耗。

比如通过待机状态的损耗来确定电路对待机时长的影响,通过稳态情况的损耗来确定设备温升情况,以及大电流情况下的损耗来确定电路的极限工作能力。

而弄清楚转换电路中损耗的来源以及如何去计算,便成了我们在优化功耗设计时不可或缺的内容。

图片本期内容

今天我们将通过对Buck电路中损耗的分析和计算,带大家初步了解DCDC电路中的损耗是如何产生的 ,以及如何针对不同工作状态去减小电路的损耗。

0 1

同步整流Buck电路

Buck电路通常由输入电容、开关管、续流管、电感、输出电容以及反馈控制电路组成,而续流管又分为被动的续流二极管和主动的同步整流开关管,(买元器件现货上唯样商城)这两种情况对于损耗的影响是不同的。

在如图所示的同步整流Buck电路工作过程中,N MOSFET Q1持续地开通和关断,电源和电容提供的输入电流断续流过Q1,在Q1关断期间,由于电感电流不能突变,所以需要打开N MOSFET Q2为其主动续流维持电感输出电流。

图片

图1:同步整流Buck电路

因为MOSFET 存在导通电阻,在导通阶段流过电流会产生损耗,称之为导通损耗,计算时由于上下管交替导通以及各自导通电阻的差异,需要分别计算其导通损耗。

类似的,电流流经电感L 时也会由于电感的直流导通电阻而产生导通损耗,在电感电流纹波很小可以忽略的情况下,电感电流等于Buck电路输出电流,电感还会存在磁芯损耗,在磁芯为铁氧体材质时,磁芯损耗可忽略不计,具体计算可参考电感厂家提供的应用手册。

在具有电流反馈的Buck电路中,还会存在采样电阻 Rsense,其值通常为数毫欧,也会有不可忽略的导通损耗。

在同步整流Buck电路中,由于开关管交错导通且存在开关时间,在某个开关管打开之前,若未完全关断另一个开关管,两管就会直通,这时轻则损耗变大,重则烧毁电路。

图片

图2 开关管交错导通

为了完全错开两管的开关过程,便在驱动逻辑上增加了死区时间。在死区时间内,两个MOSFET均关闭,电感电流不能突变,便只得从续流MOSFET Q2的体二极管中流过,但由于体二极管正向导通压降的存在,也形成了一定的导通损耗。

图片

图3 PWM死区

0 2

非同步整流Buck电路

在非同步整流的Buck电路中,MOSFET Q2 被二极管 D1所替代,所以在电感续流期间,续流开关管的导通损耗便变成了二极管正向导通压降所带来的损耗。

图片

图4 非同步整流Buck电路

在MOSFET Q1 开通过程中,续流二极管D1逐渐反向恢复,而反向恢复先要释放掉续流期间正向导通时储存的电荷,这里也会形成一定的损耗,反向截止电压较低时该损耗通常较小可忽略。

0 3

导通损耗和反向电容损耗

导通损耗和反向电容损耗计算公式如下:

图片

0 4

MOSFET的开关损耗

回到我们的同步整流Buck电路中,有同学可能会提出疑问了,MOSFET 是电压型器件为什么也需要电流才能导通呢?这是因为MOSFET 由于结构的原因不可避免的存在寄生电容,为了使 MOSFET 达到导通条件,也就是栅极电压Vgs超过某一阈值,必须通过栅极向这些寄生电容充电,这也就形成了驱动电流,同时为驱动电路提供瞬态电流的VCC电容和自举电容的容量有限,过大的驱动电流会引起不可接受的电容电压跌落,造成驱动电压下降或者控制芯片工作异常,需要通过电阻来限制这个充电电流,所以实际上MOS的导通是需要一定时间的。

图片

图5 Mosfet导通栅极电压曲线

导通期间,MOSFET 漏极电压 Vds与漏极电流 Id重合,产生开通损耗。

图片

图6 MOSFET导通开关损耗

类似的,MOSFET 关断期间产生关断损耗。需要注意的是,由于死区时间的存在,续流MOSFET Q2 在开通和关断之前,Vds电压均已接近0V其开关损耗可忽略不计,即零电压开关。同时,给MOSFET 寄生电容充的电在关断期间通过栅极驱动电路流向地,所以这部分电量也损耗掉了,称其为驱动损耗。

图片

图7  MOSFET关断释放电荷

0 5

开关损耗和驱动损耗

开关损耗和驱动损耗计算公式如下:

图片

06

VCC转换器损耗

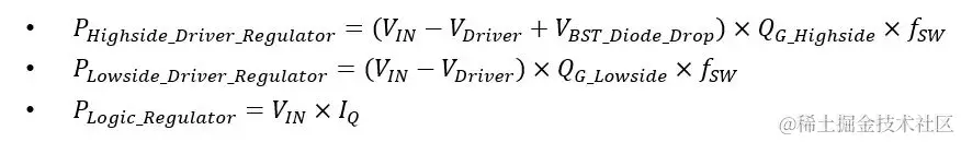
开关管N MOSFET Q1的驱动电路由控制芯片中的VCC转换器供电,VCC转换器通常为线性稳压器,存在较大效率损失,同时由于上管源极电压浮动,需要自举电路提供浮动驱动电压,此处存在一定效率损失。开关管N MOSFET Q2,类似,但无自举电路损耗。逻辑电路和放大器等的损耗可以由芯片静态电流Iq计算。VCC转换器损耗计算公式如下:

图片

07

案例计算

下面以MP9928同步整流控制芯片为例,计算其Demo板 12V转5V 521kHz FCCM模式时的工作效率。我们可以在手册中找到芯片的原理框图,结合功能描述,发现其内部VCC转换器存在两种供电方式,这里按从芯片电源输入端IN 供电的方式计算芯片的损耗。

图片

图8 MP9928 VCC电源路径

计算损耗所需要的公式如下,由于上下管 MOSFET 参数一致,可以对计算公式进行化简:

图片

从手册中找到计算所需的栅极驱动电源电压、芯片静态电流、死区时间。

图片

图9 MP9928 芯片参数

通过浏览EV9928的手册查得其所用 MOSFET 、电感、采样电阻的型号,再浏览其对应的手册,获得对应栅极驱动电压和漏极电源电压情况下MOSFET的导通电阻Rds(on)和栅极驱动电荷Qg以及电感的直流导通电阻Rdc。

图片

图10  MOSFET栅极电荷和导通电阻

图片

图11 电感直流导通电阻

MOSFET实际的开关时间需要在电路中测试,此处选用MOSFET手册中数据作为参考。

图片

图12  MOSFET开关时间

08

效率计算结果分析

MP9928 评估板的效率计算结果与真实条件下的测试结果对比如下:

图片

图13 EV9928效率曲线

可以发现计算的出来的效率略高于测试结果,可能是因为损耗导致的发热进一步影响了器件的参数,但总体来说结果具有较高可信度。若需进一步分析非线性参数对损耗的影响,可以参考MPS电源小课堂往期视频《合适的比例,让效率曲线更加完美》。分析计算结果中各损耗来源所占百分比:

图片

图14 EV9928损耗来源

可以发现轻载时的损耗主要来源于芯片内部转换电路损耗以及MOSFET驱动损耗,而重载时主要来自于MOSFET、电感、采样电阻等的导通损耗、以及MOSFET的开关损耗和死区时间内下管体二极管续流时的损耗。

09

工作状态对效率的影响

进一步对MP9928 评估板进行效率测试:

图片

图15 EV9928不同工作模式下的效率曲线

可以发现开关导致的驱动损耗,主要影响轻载效率,开关频率对轻载效率影响较大,和计算结果推算一致。

10

关于提升Buck电路效率的建议

对于大多数 MPS Buck 稳压器,高侧MOSFET、高侧MOSFET驱动器、低侧MOSFET、低侧MOSFET驱动器(仅用于同步 Buck 变换器)、 VCC Regulator、逻辑和控制电路集成在一个芯片中。因此,选择开合适的开关频率、低侧二极管(仅用于非同步Buck变换器)以及电感是降低功率损耗的关键。通常给出以下建议:

  • 开关频率越高,开关损耗越大。选择合适的频率可以优化开关损耗和大小。
  • 低侧 MOSFET (仅适用于同步转换器):对于高输出电流应用,推荐使用低 Rds(on) 的 MOSFET来降低低端 MOSFET的导通损耗。对于高输入电压应用,推荐使用低 Qg 的 MOSFET来降低 Vcc Regulator损耗。
  • 选择较小Ciss、Crss、Qg等寄生参数的高侧MOSFET来减少开关损耗,其Rds(on)可以比低侧MOSFET大。
  • 续流二极管(只适用于非同步转换器):为了减少续流二极管的导通损耗,建议采用低正向导通电压二极管;选择反向恢复速度快的二极管,减小反向恢复损耗。
  • 建议采用低直流电阻的电感器,以减少电感器的导通损耗

图片

经过上面的学习,相信工程师朋友们已经对Buck电路的功耗来源和计算有了大致的了解。

优化功耗设计,在这个能源问题日益突出的环境里,也变得愈加重要。通过选择合适的架构、器件和参数,可以让我们每个工程师都能参与其中,为能源节约贡献出一份力,你做好准备了吗?