面试题 02.07. 链表相交

87 阅读3分钟

题目

🔗题目链接:面试题 02.07. 链表相交 - 力扣(LeetCode)

给你两个单链表的头节点 headA 和 headB ,请你找出并返回两个单链表相交的起始节点。如果两个链表没有交点,返回 null 。

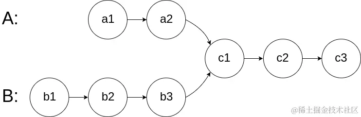
图示两个链表在节点 c1 开始相交

题目数据 保证 整个链式结构中不存在环。

注意,函数返回结果后,链表必须 保持其原始结构 。

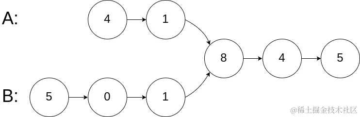
示例 1:

输入: intersectVal = 8, listA = [4,1,8,4,5], listB = [5,0,1,8,4,5], skipA = 2, skipB = 3
输出: Intersected at '8'
解释: 相交节点的值为 8 (注意,如果两个链表相交则不能为 0)。
从各自的表头开始算起,链表 A[4,1,8,4,5],链表 B[5,0,1,8,4,5]。
在 A 中,相交节点前有 2 个节点;在 B 中,相交节点前有 3 个节点。

示例 2:

输入: intersectVal = 2, listA = [0,9,1,2,4], listB = [3,2,4], skipA = 3, skipB = 1
输出: Intersected at '2'
解释: 相交节点的值为 2 (注意,如果两个链表相交则不能为 0)。
从各自的表头开始算起,链表 A[0,9,1,2,4],链表 B[3,2,4]。
在 A 中,相交节点前有 3 个节点;在 B 中,相交节点前有 1 个节点。

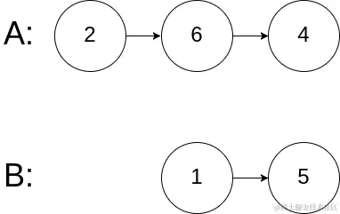
示例 3:

输入: intersectVal = 0, listA = [2,6,4], listB = [1,5], skipA = 3, skipB = 2
输出: null
解释: 从各自的表头开始算起,链表 A[2,6,4],链表 B[1,5]。
由于这两个链表不相交,所以 intersectVal 必须为 0,而 skipA 和 skipB 可以是任意值。
这两个链表不相交,因此返回 null 。

提示:

  • listA 中节点数目为 m
  • listB 中节点数目为 n
  • 0 <= m, n <= 3 * 104
  • 1 <= Node.val <= 105
  • 0 <= skipA <= m
  • 0 <= skipB <= n
  • 如果 listA 和 listB 没有交点,intersectVal 为 0
  • 如果 listA 和 listB 有交点,intersectVal == listA[skipA + 1] == listB[skipB + 1]

进阶: 你能否设计一个时间复杂度 O(n) 、仅用 O(1) 内存的解决方案?

思路

创建两个指针 longPointer、shortPointer,分别统计两个链表的长度。

总是让 longPointer 指向长的链表,让 shortPointer 指向短的链表。

计算长度的差值 n,先让 longPointer 沿着长的链表往后移动 n 个距离(就是让 longPointer 指向的长的链表的子链表长度和短的链表的长度相等)

image.png

此时,在让两个指针一起往后走,然后走的同时比较指针指向的节点是否相等。

如果相等则返回对应的节点,如果遍历到链表末尾仍不相等则返回 null。

代码

/**
 * Definition for singly-linked list.
 * function ListNode(val) {
 *     this.val = val;
 *     this.next = null;
 * }
 */

function getLinkListlength(head) {
    let pointer = head;
    let size = 1;

    while (pointer) {
        pointer = pointer.next;
        size++;
    }

    return size;
}

/**
 * @param {ListNode} headA
 * @param {ListNode} headB
 * @return {ListNode}
 */
var getIntersectionNode = function (headA, headB) {
    if (!headA || !headB) return null;
    
    // 获取两个链表的长度
    const headALens = getLinkListlength(headA);
    const headBLens = getLinkListlength(headB);

    // 创建两个指针和两个变量
    let longPointer = headA;
    let longListLens = headALens;
    let shortPointer = headB;
    let shortListLens = headBLens;

    // 保证 longPointer 总是指向长的链表
    // 保证 longListLens 总是长的链表的长度
    if (shortListLens > longListLens) {
        const tempLens = shortListLens;
        shortListLens = longListLens;
        longListLens = tempLens;

        const tempPointer = shortPointer;
        shortPointer = longPointer;
        longPointer = tempPointer;
    }

    // 计算链表长度的差值
    let gap = longListLens - shortListLens;

    // 让指向 longPointer 先移动 gap 的距离
    // 让 longPointer、shortPointer 分别到链表末尾的长度相同
    while (gap > 0) {
        longPointer = longPointer.next;
        gap--;
    }

    // 
    while (longPointer) {
        // 先进行比较
        // 万一刚开时一同往后走的时候就相等了呢
        // 相等,就返回对应的节点
        if (longPointer === shortPointer) return longPointer;

        // 两个指针一起往后走
        longPointer = longPointer.next;
        shortPointer = shortPointer.next;
    }

    return null;
};