Python贷款违约预测:Logistic、Xgboost、Lightgbm、贝叶斯调参/GridSearchCV调参

265 阅读3分钟

原文链接:tecdat.cn/?p=35392

原文出处:拓端数据部落公众号

分析师:Linseng Bo

银行贷款业务是银行的主要盈利方式,对于具体的贷款申请人,是否可以同意贷款申请是一件十分重要的步骤,如果贷款人在贷款后出现违约行为,这将对银行的资金流稳定性造成不利的影响。因此针对贷款人的“数据信息”进行处理和违约预测具有举足轻重的作用。对于金融行业来说,贷款业务及人员信息十分复杂,对于数据特征的处理十分重要,在数据处理完成后,通过机器学习模型进行预测以判断贷款人是否会违约。

解决方案

任务/目标

根据金融业务要求,运用数据源分析预测贷款人是否违约。

数据源准备

特征转换

  • 对于贷款金额、年收入等数值型数据,使用数据分箱的方法分为四类用数字0-3表示,阈值根据样本总数均分位处的值确定;对于贷款目的、贷款等级等类别型数据,使用独热编码的方法处理;对于放贷日期等时间类型数据,转换成标准时间格式;对于匿名n系列数据,使用seaborn进行特征性筛查,剔除相关性高的特征。

构造特征

结合金融业务特点,由贷款金额、利率、年限构建新特征贷款利息,由信贷开立时间和放贷时间构建新特征经历时间等。

 

划分训练集和测试集

将训练集划分为:训练集训练模型、验证集评估模型、测试集最后一次测试模型,比例为:6:2:2 ,最后使用训练集预测结果,最后不加载测试集去训练,会造成测试集数据泄露。本项目中80万训练集,20万验证集,20万测试集。

建模

Logistic:

逻辑回归是一种分类算法,多用于 两个类别之间的判断, 逻辑回归的损失称为对数似然损失, 使用梯度下降的方法优化损失函数的值。  

Xgboost:

GBDT是基于boosting方法将所有弱分类器的结果相加等于预测值,然后下一个弱分类器去拟合误差函数对预测值的残差,每棵树就是一个弱分类器。Xgboost本质上也是一种GBDT,在损失函数中添加了正则化项L1和L2来控制模型的复杂度,提高泛化能力。

Lightgbm

LightGBM(Light Gradient Boosting Machine)是一个实现GBDT算法的框架,具有 支持高效率的并行训练,并且具有更快的训练速度、更低的内存消耗、更好的准确率。GBDT在每一次迭代过程中,都需要遍历整个训练集多次,因此与内存产生冲突,对于海量数据是很不利的。Xgboost采用预排序方法的决策树算法,虽然对于分割点的寻找较为准确,但同时保存了特征值和特征排序的结果,空间消耗很大,并且在遍历分割点时计算分裂增益,时间消耗也大。Lightgbm采用直方图算法将连续特征放入直方图箱子中,从而减少内存使用和时空复杂度。

模型优化

1.特征工程,贝叶斯调参/GridSearchCV调参

在此案例中,Xgboost和Lightgbm算法模型预值的AUC值较好,其预测结果如下:

调参前两种模型的AUC值:

image.png

调参后:

Xgboost的AUC值获得一定的提升,关于模型还有较大的优化空间。

QQ截图20191227152251.png

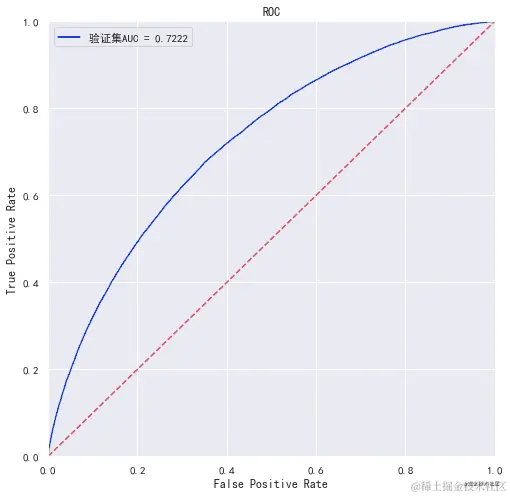
Lightgbm:

通过贝叶斯调参后,找到了一组最优解,AUC值提升至0.7234。

image.png

最后输出为测试集样本发生贷款违约的概率值。

image.png

匿名头像.png

在此对Linseng Bo对本文所作的贡献表示诚挚感谢,他专注机器学习、材料科学、数据挖掘。擅长编程语言:python、mysql,技术栈:pandas、sklearn。

post-226-vf.webp