2024.3.17每日一题

98 阅读2分钟

LeetCode

最小高度树

题目链接:310. 最小高度树 - 力扣(LeetCode)

题目描述

树是一个无向图,其中任何两个顶点只通过一条路径连接。 换句话说,一个任何没有简单环路的连通图都是一棵树。

给你一棵包含 n 个节点的树,标记为 0n - 1 。给定数字 n 和一个有 n - 1 条无向边的 edges 列表(每一个边都是一对标签),其中 edges[i] = [ai, bi] 表示树中节点 aibi 之间存在一条无向边。

可选择树中任何一个节点作为根。当选择节点 x 作为根节点时,设结果树的高度为 h 。在所有可能的树中,具有最小高度的树(即,min(h))被称为 最小高度树

请你找到所有的 最小高度树 并按 任意顺序 返回它们的根节点标签列表。

树的 高度 是指根节点和叶子节点之间最长向下路径上边的数量。

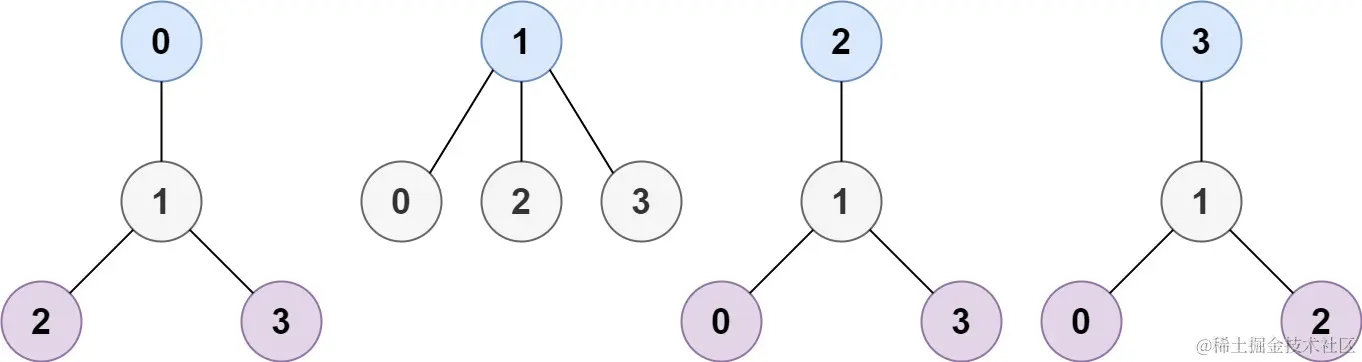
示例 1:

img

输入:n = 4, edges = [[1,0],[1,2],[1,3]]
输出:[1]
解释:如图所示,当根是标签为 1 的节点时,树的高度是 1 ,这是唯一的最小高度树。

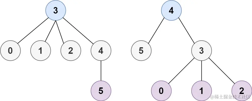
示例 2:

img

输入:n = 6, edges = [[3,0],[3,1],[3,2],[3,4],[5,4]]
输出:[3,4]

提示:

  • 1 <= n <= 2 * 104
  • edges.length == n - 1
  • 0 <= ai, bi < n
  • ai != bi
  • 所有 (ai, bi) 互不相同
  • 给定的输入 保证 是一棵树,并且 不会有重复的边

思路

代码

C++

class Solution {
public:
    int findLongestNode(int u, vector<int> & parent, vector<vector<int>>& adj) {
        int n = adj.size();
        queue<int> qu;
        vector<bool> visit(n);
        qu.emplace(u);
        visit[u] = true;
        int node = -1;
  
        while (!qu.empty()) {
            int curr = qu.front();
            qu.pop();
            node = curr;
            for (auto & v : adj[curr]) {
                if (!visit[v]) {
                    visit[v] = true;
                    parent[v] = curr;
                    qu.emplace(v);
                }
            }
        }
        return node;
    }
​
    vector<int> findMinHeightTrees(int n, vector<vector<int>>& edges) {
        if (n == 1) {
            return {0};
        }
        vector<vector<int>> adj(n);
        for (auto & edge : edges) {
            adj[edge[0]].emplace_back(edge[1]);
            adj[edge[1]].emplace_back(edge[0]);
        }
        
        vector<int> parent(n, -1);
        /* 找到与节点 0 最远的节点 x */
        int x = findLongestNode(0, parent, adj);
        /* 找到与节点 x 最远的节点 y */
        int y = findLongestNode(x, parent, adj);
        /* 求出节点 x 到节点 y 的路径 */
        vector<int> path;
        parent[x] = -1;
        while (y != -1) {
            path.emplace_back(y);
            y = parent[y];
        }
        int m = path.size();
        if (m % 2 == 0) {
            return {path[m / 2 - 1], path[m / 2]};
        } else {
            return {path[m / 2]};
        }
    }
};

Java

class Solution {
    public List<Integer> findMinHeightTrees(int n, int[][] edges) {
        List<Integer> ans = new ArrayList<Integer>();
        if (n == 1) {
            ans.add(0);
            return ans;
        }
        List<Integer>[] adj = new List[n];
        for (int i = 0; i < n; i++) {
            adj[i] = new ArrayList<Integer>();
        }
        for (int[] edge : edges) {
            adj[edge[0]].add(edge[1]);
            adj[edge[1]].add(edge[0]);
        }
​
        int[] parent = new int[n];
        Arrays.fill(parent, -1);
        /* 找到与节点 0 最远的节点 x */
        int x = findLongestNode(0, parent, adj);
        /* 找到与节点 x 最远的节点 y */
        int y = findLongestNode(x, parent, adj);
        /* 求出节点 x 到节点 y 的路径 */
        List<Integer> path = new ArrayList<Integer>();
        parent[x] = -1;
        while (y != -1) {
            path.add(y);
            y = parent[y];
        }
        int m = path.size();
        if (m % 2 == 0) {
            ans.add(path.get(m / 2 - 1));
        }
        ans.add(path.get(m / 2));
        return ans;
    }
​
    public int findLongestNode(int u, int[] parent, List<Integer>[] adj) {
        int n = adj.length;
        Queue<Integer> queue = new ArrayDeque<Integer>();
        boolean[] visit = new boolean[n];
        queue.offer(u);
        visit[u] = true;
        int node = -1;
  
        while (!queue.isEmpty()) {
            int curr = queue.poll();
            node = curr;
            for (int v : adj[curr]) {
                if (!visit[v]) {
                    visit[v] = true;
                    parent[v] = curr;
                    queue.offer(v);
                }
            }
        }
        return node;
    }
}