leetcode-1448. 统计二叉树中好节点的数目

93 阅读1分钟

题目要求:

给你一棵根为 root 的二叉树,请你返回二叉树中好节点的数目。

「好节点」X 定义为:从根到该节点 X 所经过的节点中,没有任何节点的值大于 X 的值。

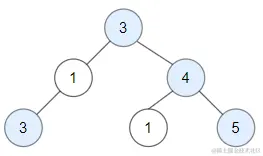
示例 1:
image.png
输入: root = [3,1,4,3,null,1,5]
输出: 4
解释: 图中蓝色节点为好节点。
根节点 (3) 永远是个好节点。
节点 4 -> (3,4) 是路径中的最大值。
节点 5 -> (3,4,5) 是路径中的最大值。
节点 3 -> (3,1,3) 是路径中的最大值。

示例 2:
image.png
输入: root = [3,3,null,4,2]
输出: 3
解释: 节点 2 -> (3, 3, 2) 不是好节点,因为 "3" 比它大。

示例 3:
输入: root = [1]
输出: 1
解释: 根节点是好节点。

提示
二叉树中节点数目范围是 [1, 10^5] 
每个节点权值的范围是 [-10^4, 10^4]

链接leetcode.cn/problems/co…

解题思路

深度优先遍历,分别遍历左子树和右子树,计算好节点个数,最后加起来返回即可

代码

/**
 * Definition for a binary tree node.
 * type TreeNode struct {
 *     Val int
 *     Left *TreeNode
 *     Right *TreeNode
 * }
 */
func goodNodes(root *TreeNode) int {
	// 使用dfs
	return dfs(root, root.Val)
}

func dfs(root *TreeNode, val int) int {
	if root == nil {
		return 0
	}
	count := 0
	if root.Val >= val {
		val = root.Val
        count++
	}
	count += dfs(root.Left, val) + dfs(root.Right, val)
	return count
}